| 查看: 930 | 回复: 4 | |
[求助]
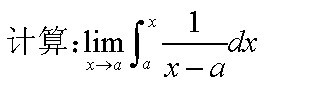
求助一道积分题目。
|
|
|
|
|
![]() |
|
|
2楼2011-04-27 05:24:14
|
|
![]() |
|
|
3楼2011-04-27 06:09:34
|
|
![]() |
|
|
4楼2011-04-27 11:23:48
|
|
|
5楼2011-04-28 09:49:43
|
|














回复此楼

5