版块导航
正在加载中...
客户端APP下载
论文辅导
调剂小程序
登录
注册
帖子
帖子
用户
本版
应《网络安全法》要求,自2017年10月1日起,未进行实名认证将不得使用互联网跟帖服务。为保障您的帐号能够正常使用,请尽快对帐号进行手机号验证,感谢您的理解与支持!
24小时热门版块排行榜
>
论坛更新日志
(3512)
>
虫友互识
(429)
>
文献求助
(323)
>
导师招生
(159)
>
考博
(138)
>
硕博家园
(112)
>
博后之家
(77)
>
休闲灌水
(60)
>
绿色求助(高悬赏)
(59)
>
基金申请
(54)
>
考研
(50)
>
教师之家
(44)
>
招聘信息布告栏
(37)
>
论文投稿
(37)
>
公派出国
(35)
>
找工作
(32)
小木虫论坛-学术科研互动平台
»
专业学科区
»
数学
»
基础数学
»
主要说有关极限的基础题,希望各位帮忙解答,谢谢了。
5
1/1
返回列表
查看: 900 | 回复: 4
只看楼主
@他人
存档
新回复提醒
(忽略)
收藏
在APP中查看
Mmqj
新虫
(小有名气)
应助: 0
(幼儿园)
金币: 102.3
散金: 35
帖子: 79
在线: 18.2小时
虫号: 2720351
注册: 2013-10-13
性别:
MM
专业: 力学中的基本问题和方法
[
求助
]
主要说有关极限的基础题,希望各位帮忙解答,谢谢了。
已有2人参与
回复此楼
» 猜你喜欢
有时候真觉得大城市人没有县城人甚至个体户幸福
已经有11人回复
表哥与省会女结婚,父母去帮带孩子被省会女气回家生重病了
已经有7人回复
同年申请2项不同项目,第1个项目里不写第2个项目的信息,可以吗
已经有8人回复
依托企业入选了国家启明计划青年人才。有无高校可以引进的。
已经有7人回复
依托企业入选了国家启明计划青年人才。有无高校可以引进的。
已经有10人回复
天津大学招2026.09的博士生,欢迎大家推荐交流(博导是本人)
已经有9人回复
有院领导为了换新车,用横向课题经费买了俩车
已经有10人回复
AI 太可怕了,写基金时,提出想法,直接生成的文字比自己想得深远,还有科学性
已经有6人回复
» 本主题相关价值贴推荐,对您同样有帮助:
急急!各位路过的大神,帮帮忙,我被一个问题卡住了,希望各位指点迷津,小弟不胜感激
已经有19人回复
样品重金属检测制样问题
已经有5人回复
各位学泛函的大神们请进!有六道小题希望可以帮忙!
已经有12人回复
帮忙解决设计的问题。(尽管简单但我是纯新手)
已经有4人回复
求助有关旋转压片机粘冲的问题
已经有10人回复
求教一个统计类的问题,请各位达人帮忙解答!
已经有6人回复
详细见下哈。考研遇到的一些题,希望知道的同学帮忙解答下。many thanks
已经有6人回复
大家帮忙求极限,给出详细的解题过程
已经有6人回复
有关压缩机的一点问题 希望各位大神帮忙解决下
已经有4人回复
关于紫陶一些问题,希望大家帮忙。
已经有14人回复
几道代数解答过程,请各位大侠帮看一下是否准确了,还有两道题不会做,
已经有13人回复
求助关于土壤细菌分离鉴定的知识,希望朋友帮忙解答
已经有8人回复
【求助】请教cDNA-AFLP 实验的相关问题,请大家帮忙看看,谢谢
已经有15人回复
新手求助pubcif添加图片问题以及checkcif时的C类和G类问题
已经有8人回复
我用显微镜做革兰氏染色观察,关于油镜的问题。希望大家给我指正帮忙一下谢谢了
已经有21人回复
化工原理(谭天恩)版习题全解和查看阅读器,打包分享了!!!
已经有128人回复
因太大意把实验原始数据弄丢不想再重做,希望各位帮忙
已经有12人回复
【求助】关于用GSAS做Rietveld精修的问题
已经有17人回复
【求助】高斯中过渡金属的基组和方法选择
已经有24人回复
试着改变
1楼
2013-12-29 21:10:22
已阅
回复此楼
关注TA
给TA发消息
送TA红花
TA的回帖
lzz654321
木虫
(著名写手)
凑活
应助: 15
(小学生)
金币: 4792.9
散金: 174
红花: 28
帖子: 2003
在线: 546.9小时
虫号: 2405403
注册: 2013-04-07
性别: GG
专业: 金融学
【答案】应助回帖
★ ★ ★ ★
感谢参与,应助指数 +1
feixiaolin: 金币+4
2013-12-31 21:19:24
第一题:分子分母同除以x;
第二题:最后结果是ai中最大的一个;
第三题:都属于最基础的题目,建议楼主看看教材。
赞
一下
(1人)
回复此楼
2楼
2013-12-29 23:17:39
已阅
回复此楼
关注TA
给TA发消息
送TA红花
TA的回帖
feixiaolin
荣誉版主
(文坛精英)
专家经验: +518
应助: 942
(博后)
贵宾: 1.275
金币: 3430
散金: 58785
红花: 532
沙发: 11
帖子: 24215
在线: 2601.8小时
虫号: 2139575
注册: 2012-11-21
专业: 光学信息获取与处理
管辖:
数学
第三题:主要是因式分解
例如2)题,分子分母同乘(1-x)
赞
一下
回复此楼
3楼
2013-12-29 23:40:57
已阅
回复此楼
关注TA
给TA发消息
送TA红花
TA的回帖
莲动波光浩月
木虫
(小有名气)
应助: 25
(小学生)
金币: 2889.8
红花: 4
帖子: 146
在线: 422.4小时
虫号: 2183548
注册: 2012-12-13
专业: 传热传质学
【答案】应助回帖
★ ★ ★ ★ ★ ★ ★ ★ ★ ★ ★ ★ ★ ★ ★ ★ ★ ★ ★ ★ ★ ★ ★ ★ ★
感谢参与,应助指数 +1
Mmqj(feixiaolin代发): 金币+18
2013-12-31 21:19:54
Mmqj: 金币+7,
★★★★★
最佳答案, 谢谢了,希望你新的一年开心幸福
2014-01-01 17:49:24
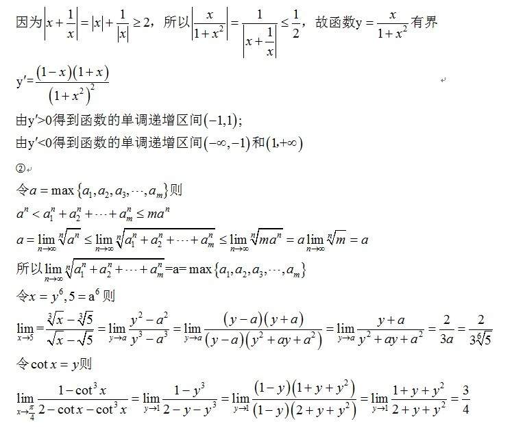
解法如图所示
图1.jpg
赞
一下
(2人)
回复此楼
4楼
2013-12-31 11:50:04
已阅
回复此楼
关注TA
给TA发消息
送TA红花
TA的回帖
Mmqj
新虫
(小有名气)
应助: 0
(幼儿园)
金币: 102.3
散金: 35
帖子: 79
在线: 18.2小时
虫号: 2720351
注册: 2013-10-13
性别:
MM
专业: 力学中的基本问题和方法
引用回帖:
2楼
:
Originally posted by
lzz654321
at 2013-12-29 23:17:39
第一题:分子分母同除以x;
第二题:最后结果是ai中最大的一个;
第三题:都属于最基础的题目,建议楼主看看教材。
嗯嗯,谢谢了,新年快乐
赞
一下
回复此楼
试着改变
5楼
2014-01-01 17:54:16
已阅
回复此楼
关注TA
给TA发消息
送TA红花
TA的回帖
相关版块跳转
数理科学综合
机械
物理
数学
农林
食品
地学
能源
信息科学
土木建筑
航空航天
转基因
我要订阅楼主
Mmqj
的主题更新
5
1/1
返回列表
如果回帖内容含有宣传信息,请如实选中。否则帐号将被全论坛禁言
普通表情
龙
兔
虎
猫
百度网盘
|
360云盘
|
千易网盘
|
华为网盘
在新窗口页面中打开自己喜欢的网盘网站,将文件上传后,然后将下载链接复制到帖子内容中就可以了。
信息提示
关闭
请填处理意见
关闭
确定