小木虫
登陆
|
注册
首页
导读
期刊
发现
社区
招聘老师
当前位置:
小木虫首页
>> 有机
爬板石油醚和乙酸乙酯体系分不开点
化学久
爬板石油醚和乙酸乙酯试一比一,一比二,两个点太近了分不开,但这两个比例已经在0.2-0.4之间了。用石油醚和二氯甲烷一比三点不爬,环己烷和乙酸乙酯也不爬,二氯甲烷甲醇10...
有机
250
5
急招有机合成本科生
lfcv2074
浙江亚塔利雅科技有限公司现急招5个人,工作地点浙江台州三门,本科学历,专业和化学相关就行,需要懂化学的,公司做OLED中间体,有2年全合成经验最好,可以开到月薪1万以上,工作经验和能力越强,工资越高,双休,一天8小时,包吃包住,加班给加班费,福利待遇比一般药企...
有机
750
15
如何寻找综述和专著?
wangyanweishe
如果我做一类结构,比如嘧啶或者吡啶的杂环的合成研究,想寻找或者搜索这一类的综述或者专著,可以通过什么途径获得购买?
有机
200
4
求该有机反应的反应机理
雪中飘落的我
这个反应操作是:先将DMF和三氯氧磷加在反应瓶搅拌半小时,再加入原料,80℃保温几个小时,但是收率不到50%,气相中控时发现有一个中间态物质这个反应看似一步,实则可能是经...
有机
350
7
N,N-二甲基甲酰胺的无水处理
anndy1971
现在有一瓶N,N-二甲基甲酰胺(DMF)试剂,其中含有0.1%左右的水,想脱除其中大部分水,有人说加入一种无机镁盐,但具体忘了是什么物质了?有知道的朋友吗?给说一下。谢谢!
有机
650
13
MestReNova加结构式
ming159
我把chamdraw画的分子式粘贴word,再粘贴到MestReNova上的结构式看不见了,只能显示出一个图片的框框,以前还是好好的就最近新建的MestReNova都是这样,求解。
有机
450
9
TBP萃取后用稀盐酸反萃乳化严重怎么解决?
天际飞鸿zsw
用TBP做萃取钪的实验,萃取后反萃,发现无论用水还是稀盐酸反萃,都会出现严重的乳化现象,很难分相,加热升温也没用,不知道是哪里出了问题。看了很多文献记载都是用水和稀盐酸反...
有机
250
5
各位,CCS Chemistry这个期刊有了解的吗?
小蕊精益求精
各位,CCSChemistry这个期刊有了解的吗?这个期刊多长时间送审,审稿周期多久?好不好投?有了解关于这个期刊信息的麻烦介绍一下。可以畅所欲言
有机
150
3
高薪急招有机合成
wazr4064
浙江亚塔利雅科技有限公司现急招5个人,工作地点浙江台州三门,本科学历或者研究生,专业和化学相关就行,需要懂化学的,工作内容:合成一些OLED中间体,有2年全合成经验最好,大部分是克级规模,在药明康德和康龙化成类似的公司待过最好,可以开到月薪1万以上,工作经验和...
有机
650
13
哪位大神指导一下酰胺反应怎么降低副产物呀
yrhluck
本人是一个刚做合成实验的小白,酰氯盐酸盐和杂环仲胺反应,由于仲胺性质不稳定,把酰氯滴加到胺里会导致胺的氧化,所以我先把酰氯(2当量),DMAP(1当量)和缚酸剂三乙胺(4...
有机
1100
22
酸性产物被柱子吸附了?
AFMMJACS
如题,本人在酸性条件下,做硫代脂氧化反应,先生成磺酸盐,再经酸性离子交换生成磺酸。但是在过酸性柱子进行离子交换时。所得产物没有苯环的特征峰。经多次尝试初步判定产物被吸附在...
有机
200
4
1,3-二溴丙烷与丙二酸二乙酯合成四元环
虫4608
1,3-二溴丙烷与丙二酸二乙酯合成四元环,课本上的反应,做出来的收率偏低,求高人指点迷津。1,3-二溴丙烷.png
有机
200
4
请教:如下这两种双键结构是否相同?
christina016
如图所示,左右两个结构片段,均有两个双键,且各自的顺反构型一样,请教一下,它们是同样的东西吗?仅仅是画法的区别?核磁上会不会有区别?谢谢untitled.jpg
有机
150
3
丁苯酞合成机理
linlibuzhang
请教大家第一步反应机理是怎么样进行的?谢谢AKCX(G2IHSZX$0HPXTW}}VD.png
有机
200
4
二乙烯三胺和苯甲醛相互作用
ysx177257
有两个问题:1.二乙烯三胺和苯甲醛在常温下直接混合能生成席夫碱或亚胺阳离子吗?2.二乙烯三胺和苯甲醛在氘代氯仿中1:1混合直接做核磁,化学位移在10左右的醛基H没有峰,具...
有机
150
3
油浴锅怎么换油
白糖~
各位大佬,我的油浴锅不小心弄水进去了,请问怎么换油啊?谢谢大家
有机
150
3
用cu粉催化,cu粉需要进行处理吗
阿真cz
求各位大佬帮帮忙?
有机
150
3
有做过卡非佐米项目的前辈么?
ak20314256
最近在调研这个品种,想咨询一下做过的前辈,实验安全和物料储存方面的风险,是否需要特殊的防护设备,这个化合物有细胞毒性。
有机
1000
20
酰化的氧化石墨烯
小胡的2020
用二氯亚砜酰化石墨烯成品是这样的觉得不太对常压蒸馏
有机
800
16
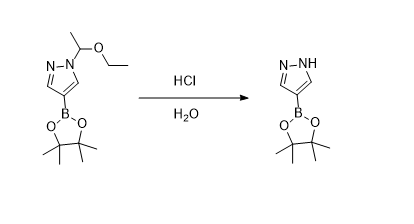
请教这个化合物脱保护的反应机理
tian4152
反应如下图所示,这个化合物在酸性水溶液中保护基容易掉,看起来是一个水解反应,但是反应机理是什么,想请教一下各位?反应.PNG
有机
750
15
2-甲基-4-硝基苯胺(2-methyl-4-nitroaniline,MNA)
2954xy2516
求如何合成2-甲基-4-硝基苯胺(2-methyl-4-nitroaniline)薄膜?以及2-甲基-4-硝基苯胺粉末的粒径大小和蒸汽压是多少?
有机
200
4
95%乙醇如何除水得无水乙醇?
lindaliu8288
95%乙醇如何除水得无水乙醇?95%乙醇如何除水得无水乙醇?
有机
400
8
2,4-二氨基-6氯嘧啶的工艺
287394739
寻求2,4-二氨基-6氯嘧啶的工艺,生产,有偿合作
有机
300
6
DQ是什么氧化剂
986300083
DQ是什么氧化剂,有没有具体名字,CAS号?
有机
1100
22
文献求助:硫醇氧化成二硫化物
风之涯
各位大佬,能否给小弟几篇硫醇变二硫键的比较靠谱点的文献,万分感谢!
有机
150
3
氮化铝红外光谱
1747672017
黑线为溴化钾压片的氮化银,为什么吸收峰这么宽?另外为啥出现一大段下凹?图片1.png
有机
300
6
关于heck反应,求助
安安妙妙
小妹做的heck反应,生成了一个新点。但是生物碱显色却不显色,问题是我的原料有一半是含吲哚的,如果heck偶联成功那应该是含氮的,在生物碱显色剂下应该显色的呀,却不显色,...
有机
200
4
环氧大豆油沸点
Jeavid
环氧大豆油沸点150摄氏度(0.53kpa),那真空下的沸点是多少,有计算公式吗
有机
300
6
硅氧烷能与羧酸反应吗?
yidashi
问一下大佬们,硅氧烷与羧酸(如乙酸,丙烯酸)反应吗?
有机
150
3
请问DMSO作溶剂效果怎么样,毒性很大吗?想用它替代甲醇来配溶液
橘生淮南为橘
如果毒性大的话,配成多少体积分数的水溶液合适?
有机
250
5
30902
1 ...
‹‹
39
40
41
42
43
44
››
... 1031
板块导航
网络生活
育儿交流
健康生活
有奖问答
资源共享
课件资源
试题资源
化学化工
有机
高分子
无机物化
分析
催化
工艺技术
化工设备
化工
精细化工
电化学
环境
专业学科
机械
物理
数学
农林
食品
地学
能源
信息科学
理工农林
科研生活
博后之家
专业外语
外语学习
导师招生
找工作
招聘信息
考研
考博
公务员
生物医药
新药研发
药学
药品生产
分子生物
微生物
动植物
生物科学
医学
材料
材料
材料工程
微米纳米
晶体
金属
非金属
生物材料
功能材料
复合材料
计算模拟
第一原理
量子化学
计算模拟
分子模拟
仿真模拟
程序语言
学术交流
论文投稿
基金申请
学术会议
出国留学
留学生活
公派出国
访问学者
海外博后
留学DIY
签证指南
出国考试
海外院所
注册执考
化工工程师
执业药师
执业医师
环境工程师
会计师
注册考试
24小时热帖
换一批
08工学调剂
17
340求调剂
4
311求调剂
3
0805 316求调剂
5
食品专硕 一志愿双一流 328
4
应助之星
czyzsu
+关注
yutx2425
+关注
88817753
+关注
下载小木虫APP
与700万科研达人随时交流
二维码
IOS
安卓
欢迎监督和反馈
:小木虫仅提供交流平台,不对该内容负责。
欢迎协助我们监督管理,共同维护互联网健康,违规贴举报删除请联系邮箱:xiaomuchong@tal.com
(点此查看侵权举报方式)
我们保证在7个工作日内给予处理和答复,谢谢您的监督。
©2001-2026 muchong.com,小木虫
京ICP备16008351号
京公网安备 11010802022153号
Copyright © 2001-2026 muchong.com, All Rights Reserved. 小木虫 版权所有