小木虫
登陆
|
注册
首页
导读
期刊
发现
社区
招聘老师
当前位置:
小木虫首页
>> 有机
对碳粉用氯化亚砜使其酰氯化如何操作
小托马斯
碳黑上面有羟基,想用氯化亚砜酰氯化,实验方法是将它和氯化亚砜以及DMF70℃搅24h,想问一下实验安全有什么要注意的吗,在通风橱带防毒面具就行了吧,还有反应结束后氯化亚砜废液怎么处理直接倒酸废液桶吗?希望有大神指点一下
有机
350
7
产物怕活泼氢,想除去产物中的铵盐,有什么办法呀?
mayv3154
有机合成产物怕活泼氢,甲醇水都不行,杂质有铵盐,是溶剂HMDS产生的有什么办法除去呀
有机
150
3
求问对甲苯磺酰氯具体怎么重结晶
一条鲤鱼
有机小白,刚开始读研大半年,要做一个反应,要求严格无水,但是对甲苯磺酰氯吸水结块了,求问各位大神具体要怎么除水呢?重结晶的话具体要怎么操作呢?
有机
450
9
三苯甲烷有没有芳香性?
alpha_8023
如题,三苯甲烷有没有芳香性?A说:不是有三个苯环吗?肯定有芳香性啊!B说:它是甲烷的三苯取代物,主体是甲烷,甲烷没有芳香性啊!A对还是B对呢?
有机
250
5
聚氨酯合成过程中-NCO理论值问题。
Stober_857
请教:预聚阶段-NCO理论值是怎么确定的?希望能详细介绍下。
有机
950
19
阻转异构的结构解析
10Maggie
最近得到了一个化合物,含有两个轴手性中心(两个轴手性中心,理论上是4个化合物的混合物),核磁解出来单个氢有明显的裂分,拿这个化合物长了单晶,但是只解析出来了一种结构状态,请问这种结果正确嘛?理论上消旋体是否也应该解析出来四种状态?求各位大神指导,谢谢!
有机
750
15
MOF的晶体密度
thycal
mof的晶体密度是实验测出来的数据还是查文献可以得到?
有机
150
3
薄层色谱点板问题,急急急,请大家帮帮我!感谢!
congifer
大家好,我在做有机合成反应时,反应液点板,一个点,之后处理,但是处理完后就又多出来个点,变成了两个点?怎么回事啊???
有机
300
6
苯基三乙氧基硅烷的合成
H U ?
苯基三乙氧基硅烷如何分离提纯,能用硅胶柱吗?
有机
150
3
羟基和酰氯反应
Ziqi0104
目前在做一个醇羟基和酰氯的反应,目标产物是都形成酯键,反应中加了稍过量的三乙胺,催化量的DMAP,想问一下后处理怎么进行呢?因为产物含有酯键,能用稀盐酸洗涤吗?反应完成后怎么除去三乙胺和DMAP呢?
有机
250
5
氯化亚砜酯化反应
是泽北阿
最近在做氯化亚砜与酸和乙醇生产酯的反应,氯化亚砜5个单量,条件是90度回流。反应三小时液相监测时发现原料比两个半小时的要多,是我的产物在酸性条件下水解了吗?还有就是,我是在冰浴下加的氯化亚砜,加完直接转到油浴还是先在室温下反应一会再转到油浴?有没有做过的前辈们...
有机
250
5
核磁谱图出现1,4-二氧六环杂峰,无法除去
DasZJU
各位前辈,小弟最近做的化合物核磁谱中总是出现特定杂峰,无法除去,故发此求助贴。问题描述如下:1.反应类型为Suzuki偶联,碘化物与硼酸试剂在DMF、碳酸钾、Pd(PPh3)4体系中反应;2.产物经过硅胶住层析纯化,洗脱剂为石油醚/乙酸乙酯,溶剂均已重蒸;3....
有机
400
8
二氧化硅包裹银纳米颗粒
星蕊
我制的银纳米颗粒,用的是乙二醇还原硝酸银,120度左右,最后制出来的银纳米颗粒大概在25nm左右,最后分散在10ml异丙醇里面,制出来的浓度大概在3g/l包二氧化硅0.7...
有机
150
3
香豆素3腈的氰基还原成醛基
komorebiJY
我按原文献操作,但是产率极极极低,我真不知道错哪儿了,哪位大神能帮忙分析一下呀,或者说有没有其他合适的方案可以拿到香豆素-3甲醛(不影响双键和酯基的情况下),救救孩子吧!...
有机
350
7
文献中 1 H NMR (500 MHz, D2O, pH=3.39) ,这种重水是什么意思
水天一色元
文献中Compound1a.1HNMR(500MHz,D2O,pH=7.35),这种重水可以理解,有的文献Compound1a.1HNMR(500MHz,D2O,pH=3.39),这种重水是什么意思?
有机
550
11
一个氨基变成肼基(用到的试剂是SnCl2.HCl,NaNO2)
袁明羽
关于这个化合物的合成方法,求各位大佬帮帮忙。屏幕截图2021-05-18092832.png
有机
200
4
聚乙二醇磷脂DSPE、TK/PLGA/PLA这些试剂的使用领域是什么?
玉米林儿
比如以下这些试剂:聚乙二醇磷脂DSPEDSPE-PEG-COOHDSPE-PEG-MALDSPE-PEG-NHSDSPE-PEG-SHDSPE-PEG-BiotinDSPE-PEG-FADSPE-MPEGDSPE-PEG-OHDSPE-PEG-FITCDSPE...
有机
200
4
用乙醚在40ml的乙醇反应液中,沉淀出金属聚合物
绿茶QJM
请教各位合成的同学及专业人士及大牛,初做合成试验,对于文献中比较粗略的表达,就不太知道如何做了。比如:这个实验需要把水系的产物用乙醚沉淀出来,但是量只有104mg,乙醚用量应该多少为宜,我已经试了近100ml乙醚,有些红色沉淀。利用产物在两体系的溶解差异,是否...
有机
350
7
碰到不负责任导师怎么办!!!
十年晚晴
本科跟了一个不太负责的老师,马上毕业了,实验没做,老师也什么都不管,毕业设计的数据都是根据相关文献修改的,据说之后领导下来查论文,不过的还会追回毕业证,好慌,已经不开心了好久了。想问一下大家,手里已经抓了一副烂牌,现在应该怎么打,求助。
有机
1400
28
核磁滴定测络合常数
小小弄
核磁滴定可以测结合常数吗,有哪位做过吗?我的是吡啶氮和锌离子络合,谢谢
有机
150
3
DCC在DMF和DMSO中的溶解性
紫流苏樱雪
配制的DCC在DMF中溶解后,过几天又结晶了,具体是什么情况呢?还有磺胺对甲氧嘧啶能溶于什么有机溶剂
有机
500
10
这个化合物该怎么提纯啊
ghuyk
难溶于二氯、甲醇,用DMF重结晶后还是有杂点,过柱子有样品在柱子上一直不溶解,还能怎么办啊
有机
150
3
求大神看一个含氟化合物的碳谱
Nanamiwww
三氟甲基的碳,α,β,γ碳应该都是四重峰吧?我只找到了个耦合常数在4hz的四重峰,感觉苯环和香豆素某些碳位移差不多很不好看啊
有机
250
5
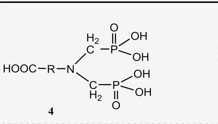
有关磷酸脂的铵盐合成
顾大海
用水解的蛋白质通过曼尼希反应接入了磷酸脂基团,类似下面的结构。下一步想要将磷酸脂铵化成磷酸铵,看了文献的方法,140度下尿素和磷酸脂基团产生中和反应。自己做的时候发现,尿...
有机
150
3
请问这个羟基和酰氯可以发生反应来让多巴胺上引入溴吧
倍儿坚强1
在膜上面引入BrBr的含量大概百分之多少就算够了呀通过把GO和膜材料共混,然后用多巴胺把膜上的GO还原,然后引入Br,然后做表面接枝,请问我用三乙胺BIBB引入Br,用e...
有机
150
3
有关wittig反应的一些问题
601的大王
最近在做一个wittig反应,之前没做过,想问问各位前辈们,这个反应需要注意什么什么问题。反应温度,溶剂选择还有反应后处理。
有机
200
4
能帮我做个题吗
jing ting
能帮我做个题吗celan
有机
200
4
席夫碱合成反应
来了来了123
急求,是这样的,老师让我合成两个新的化合物,我是在乙醇回流反应,但是反应一直反应不完全,得出来的产物溶解性特别差,我还加了几滴乙酸,但是反应效果也不太好,这是咋回事啊!
有机
1200
24
有人知道,哪里能买到四氧化锇吗
请叫我Mr.
有人知道,哪里能买到四氧化锇吗???
有机
5300
106
Nuts处理核磁氢谱多重谱图问题
卢不通先生
用Nuts处理多重谱图,有人知道怎么去除最底下的那重谱图吗?
有机
1650
33
30902
1 ...
‹‹
14
15
16
17
18
19
››
... 1031
板块导航
网络生活
育儿交流
健康生活
有奖问答
资源共享
课件资源
试题资源
化学化工
有机
高分子
无机物化
分析
催化
工艺技术
化工设备
化工
精细化工
电化学
环境
专业学科
机械
物理
数学
农林
食品
地学
能源
信息科学
理工农林
科研生活
博后之家
专业外语
外语学习
导师招生
找工作
招聘信息
考研
考博
公务员
生物医药
新药研发
药学
药品生产
分子生物
微生物
动植物
生物科学
医学
材料
材料
材料工程
微米纳米
晶体
金属
非金属
生物材料
功能材料
复合材料
计算模拟
第一原理
量子化学
计算模拟
分子模拟
仿真模拟
程序语言
学术交流
论文投稿
基金申请
学术会议
出国留学
留学生活
公派出国
访问学者
海外博后
留学DIY
签证指南
出国考试
海外院所
注册执考
化工工程师
执业药师
执业医师
环境工程师
会计师
注册考试
24小时热帖
换一批
求调剂一志愿武汉理工大学材料工程(085601)
5
上海电力大学材料防护与新材料重点实验室招收调剂研究生(材料、化学、电化学,环境)
3
急发核心期刊论文
5
291 求调剂
5
298-一志愿中国农业大学-求调剂
11
应助之星
luolinfeng
+关注
nBu锂
+关注
下载小木虫APP
与700万科研达人随时交流
二维码
IOS
安卓
欢迎监督和反馈
:小木虫仅提供交流平台,不对该内容负责。
欢迎协助我们监督管理,共同维护互联网健康,违规贴举报删除请联系邮箱:xiaomuchong@tal.com
(点此查看侵权举报方式)
我们保证在7个工作日内给予处理和答复,谢谢您的监督。
©2001-2026 muchong.com,小木虫
京ICP备16008351号
京公网安备 11010802022153号
Copyright © 2001-2026 muchong.com, All Rights Reserved. 小木虫 版权所有