| ²é¿´: 4429 | »Ø¸´: 14 | ||
[½»Á÷]
¡¾ÇóÖú¡¿¼¯ÁеÄÉÏϼ«ÏÞµÄÈý¸öÎÊÌ⣿Çë´óϺ½â´ð
|
||
» ±¾Ö÷ÌâÏà¹Ø¼ÛÖµÌùÍÆ¼ö£¬¶ÔÄúͬÑùÓаïÖú:
Êýѧ¹ØÓÚ¼«ÏÞÌâ¡£¡£¡£¡£
ÒѾÓÐ5È˻ظ´
ʵ±äº¯ÊýÂÛ ÄÇÌÀËÉ
ÒѾÓÐ91È˻ظ´
´ó¼Ò°ïæÇó¼«ÏÞ£¬¸ø³öÏêϸµÄ½âÌâ¹ý³Ì
ÒѾÓÐ6È˻ظ´
ÇóÖú£¬Ò»¸ö¼«ÏÞµÄÇó·¨
ÒѾÓÐ4È˻ظ´
º¯ÊýÁм«ÏÞÎÊÌâ
ÒѾÓÐ9È˻ظ´
ÇóÖúÒ»¼«ÏÞÌâÄ¿£¡£¡£¡
ÒѾÓÐ20È˻ظ´
¹ØÓÚÊýѧ·ûºÅµÄÎÊÌ⣿Çë½Ì´óϺ
ÒѾÓÐ16È˻ظ´
ÎÊÒ»¸ö¸ßÊýÇó¼«ÏÞ
ÒѾÓÐ18È˻ظ´
ʳƷ¹¤³ÌÔÀí¸ÅÄîÓëϰÌâ½â´ð(ÀîÔÆ·É£¬¸ð¿ËɽµÚÒ»°æ)£¨Ëѹý£¬Ã²ËÆÃ»Öظ´£©
ÒѾÓÐ54È˻ظ´
СµÜÏëͶµ¥¾§Ñ§±¨E£¬µ«ÓÐÈý¸öGÀà´íÎó£¬Çë¸÷λ´óϺÃDz»Áߴͽ̡£¡£¡£
ÒѾÓÐ3È˻ظ´
ÇëÎÊÏÂBET´óϺÓйØÖͺ󻷵ÄÎÊÌâ
ÒѾÓÐ5È˻ظ´
Îʸö·ºº¯·ÖÎöµÄÎÊÌ⣬ ÓйØÐòÁм«ÏÞ£¬ÂÔÄÑ¡£¡£¡£
ÒѾÓÐ13È˻ظ´
¼±¼±£¡Çó½âµ¥¾§£¬±ØÓÐÖØÐ»£¡
ÒѾÓÐ13È˻ظ´
ÇóÖúÒ»¸öÊýѧÎÊÌ⣡
ÒѾÓÐ17È˻ظ´
Çë½ÌÒÅ´«Ëã·¨Èý¸öÎÊÌâ
ÒѾÓÐ10È˻ظ´
¡¾ÇóÖú¡¿ÇóÖúËĸöÌ⣬֪µÀµÄ´óϺ¸ø½â´ðÏ£¬Ã¿¸öÎÊÌâ10½ð£¬Ð»Ð»
ÒѾÓÐ8È˻ظ´
¡¾ÇóÖú¡¿¸÷λ´óÏÀ£¬ÇóÖúÈýµÀ¸ßÒ»ÊýѧÌâ
ÒѾÓÐ4È˻ظ´
¡¾ÇóÖú/½»Á÷¡¿¹ØÓÚÀ¥³æÏ¸°ûSf9µÄһЩÎÊÌ⣡´óϺÇë½ø£¡
ÒѾÓÐ17È˻ظ´
¡¾ÇóÖú¡¿ÇëÎÊ´óϺ£ºÊ²Ã´½Ð¼«ÏÞµçÁ÷?
ÒѾÓÐ6È˻ظ´
» ÇÀ½ð±ÒÀ²£¡»ØÌû¾Í¿ÉÒԵõ½:
Ìì½ò´óѧÖÇÄÜÈË»ú½»»¥ÍŶÓÕÐÊÕ»úе·Çȫ˶ʿ´øÐ½ÅàÑø
+1/487
2026¼¶Ò©Ñ§Ñ§Ë¶µ÷¼ÁÕÐÉú
+1/282
¹ã¶«Ê¯ÓÍ»¯¹¤Ñ§Ôº£¬²ÄÁÏÓ뻯¹¤¡¢ÄÜÔ´¶¯Á¦×¨Ë¶£¬ÕÐÊÕµ÷¼ÁÉú
+1/93
Ô×Ó²ã³Á»ý×°±¸18817872921
+1/90
×ø±ê±±¾©£¬³ÏÕ÷Å®ÓÑ
+1/90
¹ãÎ÷ʦ·¶´óѧ-ÍõÑÞ¿ÎÌâ×é2026ÄêÕÐÊÕҩѧѧ˶ ¡¢ÉúÎïÓëҽҩר˶µ÷¼ÁÉú
+1/86
Õã½Àí¹¤´óѧ½¯ÖÙÇì ÎïÀí/ÐÂÄÜÔ´/²ÄÁÏ ÕÐ9Ãû
+2/60
ij211ÕÐÊÕ¹âѧ¹¤³Ì ÒÇÆ÷¿ÆÑ§Óë¼¼Êõ tiaoji Ñо¿Éú Èô¸ÉÃû£¡£¡£¡
+1/48
ÑÓ°²´óѧ¹ú¼Ò¼¶¸ß²ã´ÎÈ˲ÅÍŶÓÕÐÊÕ²ÄÁÏ¡¢»¯Ñ§¡¢»¯¹¤Ïà¹ØÁìÓòµ÷¼ÁÑо¿ÉúÊýÃû
+1/41
Æë³¹¤Òµ´óѧ-Õã½´óѧáéÖÝÑо¿Ôº È«¹úÖØµãʵÑéÊÒ-ï®Àë×Óµç³Ø¡¢²ÄÁÏ»¯Ñ§·½Ïò4-6Ãû
+1/40
ÈýÏ¿´óѧ¹ú¼ÒÇàÄêÈ˲ſÎÌâ×éÕÐ2026Ä껯ѧ/²ÄÁÏ/»¯¹¤Àà˶ʿµ÷¼ÁÉú
+1/20
±±¾©Àí¹¤´óѧ£¨Ö麣£©ÕÐÊÕ2026¼¶¿¼ºËÖÆ²©Ê¿
+1/18
³¤½Ê¦·¶Ñ§Ôº»¯Ñ§»¯¹¤Ñ§Ôº»¯Ñ§¹¤³Ì·½Ïò½ÓÊÕ´óÁ¿µ÷¼Á¿¼Éú
+1/11
2026ÄêÎ÷»ª´óѧ²ÄÁÏѧԺ-²ÄÁϽü¾»³ÉÐÎÓë±íÃæ¼¼ÊõÑо¿ÍŶÓ-ÕÐÊÕµ÷¼ÁÑо¿Éú
+1/11
̫ԿƼ¼´óѧ²ÄÁÏ¿ÆÑ§Ó빤³ÌѧԺ¡°03¸ßÐÔÄÜÇáÖʺϽð¼°ÐÂÄÜÔ´²ÄÁÏ¡±Ñ§Ë¶Óëר˶ÓÐȱ¶î
+1/10
ÇàÄ곤½Ñ§ÕßÍÅ¶Ó 2026Äê ˶ʿÑо¿Éú ÕÐÊÕµ÷¼Á¿¼Éú
+1/10
Ó¢¹úÀ·ò±¤´óѧ²©Ê¿ÕÐÉú µç³Ø·½Ïò
+1/5
º½¿Õ¹¤³Ì363·ÖÇóµ÷¼Á
+1/4
¼ÃÄÏ´óѧ2026Äê˶ʿÑо¿ÉúÕÐÉúÔ¤µ÷¼Á¹«¸æ
+1/4
Çൺ´óѧ»¯Ñ§¹¤³Ì£¨085602£©Ó뻯ѧ¹¤³ÌÓë¼¼Êõ£¨081700£©ÕÐÊÕ´óÁ¿µ÷¼Á
+1/3
¡ï
Сľ³æ(½ð±Ò+0.5):¸ø¸öºì°ü£¬Ð»Ð»»ØÌû½»Á÷
Сľ³æ(½ð±Ò+0.5):¸ø¸öºì°ü£¬Ð»Ð»»ØÌû½»Á÷
|
Ê×ÏÈ£¬¼¯ºÏµÄ¼«Ï޵Ľ»²¢ÔËËãÖ»ÊÇÓëÉÏÏÂÈ·½çÔËËãÓÐÀàËÆµÄµØ·½£¨ÔÚµ¥µ÷µÄÇé¿öÏ£©£»µ«²¢²»ÄÜÕâÑù¼òµ¥µÄÀí½â£¡ ¶ÔÓÚ¼¯ºÏÉÏϼ«Ï޵͍ÒåµÄÈ·ÓÐÐ©ÈÆ¿Ú£º Éϼ«ÏÞ={x£ºxÊôÓÚÎÞÏÞ¶à¸öE_n}; ϼ«ÏÞ={x£ºxÖÁ¶à²»ÊôÓÚÓÐÏÞ¸öE_n}; Õâ¸öºÜÈÆ¿ÚµÄ¶¨ÒåÊǵȼÛÓÚ½»²¢ÔËËãµÄ¹«Ê½µÄ£¬Ö±½Óд¾Í¿ÉÒÔÁË£¡ |
12Â¥2011-04-16 00:23:54
1Â¥
rainbowguy(½ð±Ò+5): 2011-03-19 22:48:43
|
½¨ÒéÄãÈ¥ÌýÌýhttp://www.ssvideo.cn/playvideo.asp?id=37823¾ÍÃ÷°×À² |
2Â¥2011-03-19 21:18:43
3Â¥2011-03-19 21:30:26
just_play
ÖÁ×ðľ³æ (ÕýʽдÊÖ)
- ÊýѧEPI: 12
- Ó¦Öú: 6 (Ó×¶ùÔ°)
- ¹ó±ö: 0.1
- ½ð±Ò: 11813.8
- Ìû×Ó: 688
- ÔÚÏß: 667.1Сʱ
- ³æºÅ: 837886
4Â¥2011-03-19 22:35:28
5Â¥2011-03-19 22:48:32
Pchief
Ìú¸Ëľ³æ (ÕýʽдÊÖ)
- ÊýѧEPI: 26
- Ó¦Öú: 13 (СѧÉú)
- ¹ó±ö: 0.024
- ½ð±Ò: 10856.4
- Ìû×Ó: 987
- ÔÚÏß: 1992.9Сʱ
- ³æºÅ: 52235
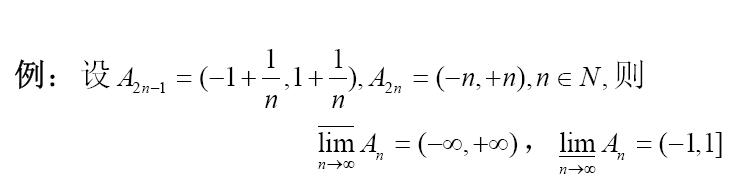
| ¼¯ÁеÄÉÏϼ«ÏÞÒÔ¼°ÊÕÁ²ÐÔÊÇʵ·ÖÎöÖÐ×ÀߵĸÅÄÍùÍù°Ñ³õѧÕ߸ãµÃһͷÎíË®£¬µ«Êµ¼ÊÉÏÓÖ²¢Ã»ÓÐÊ²Ã´ÌØ±ð´óµÄÖØÒªÐÔ£¬Ñ§µ½ºóÃæÄã¾Í»á·¢ÏÖ£¬Ö»ÐèÒªÓС°¿ÉÊý²¢¡± ¡°¿ÉÊý½»¡±µÄ¸ÅÄî¾ÍÍêÈ«×ã¹»£¬ÍêȫûÓбØÒªÈ¥µ¹ÌÚʲôÉÏϼ«ÏÞ£¬ÎÒѧÁËÕâô¶àÄ꣬Ëù¼û¹ýµÄ¹ØÓÚ¼¯ÁÐÉÏϼ«Ï޵Ľá¹ûÉٵÿÉÁ¯£¬ÉõÖÁÓÚÎÒÏëÓÃËüÀ´ËµÃ÷һЩÎÊÌâµÄʱºò£¬¶¼ÕÒ²»µ½ÏֳɵĽáÂۿɹ©Ó¦Óã¬ËùÒÔ˵°¡£¬Àí½âÁ˵±È»ºÃ£¬Àí½â²»ÁË£¬Ò²Ã»ÓÐʲôҪ½ô£¬·´Õý²»Ó°Ïìѧϰ£¬Ìø¹ýÈ¥¾ÍÌø¹ýÈ¥ÁË£¬½«À´¼ûʶ·á¸»ÁËÖ®ºó×ÜÄÜÀí½âµÄ¡£ |
6Â¥2011-03-19 23:15:51
Pchief
Ìú¸Ëľ³æ (ÕýʽдÊÖ)
- ÊýѧEPI: 26
- Ó¦Öú: 13 (СѧÉú)
- ¹ó±ö: 0.024
- ½ð±Ò: 10856.4
- Ìû×Ó: 987
- ÔÚÏß: 1992.9Сʱ
- ³æºÅ: 52235
rainbowguy(½ð±Ò+10): 2011-03-20 19:07:35
7Â¥2011-03-19 23:36:14
8Â¥2011-03-20 00:33:15
9Â¥2011-03-20 01:01:38
10Â¥2011-03-20 11:08:56
11Â¥2011-03-20 19:10:49
¡ï
Сľ³æ: ½ð±Ò+0.5, ¸ø¸öºì°ü£¬Ð»Ð»»ØÌû
Сľ³æ: ½ð±Ò+0.5, ¸ø¸öºì°ü£¬Ð»Ð»»ØÌû
13Â¥2014-11-27 19:38:56
Edstrayer
°æÖ÷ (ÖøÃûдÊÖ)
- ÊýѧEPI: 7
- Ó¦Öú: 157 (¸ßÖÐÉú)
- ¹ó±ö: 0.927
- ½ð±Ò: 9349.6
- Ìû×Ó: 2745
- ÔÚÏß: 1465.6Сʱ
- ³æºÅ: 3086598
14Â¥2014-11-28 00:08:54
¡ï
Сľ³æ: ½ð±Ò+0.5, ¸ø¸öºì°ü£¬Ð»Ð»»ØÌû
Сľ³æ: ½ð±Ò+0.5, ¸ø¸öºì°ü£¬Ð»Ð»»ØÌû
|
(1)¿ÉÒÔÕâÑùÀí½â£º¹Û²ì{An}µÄÉϼ«ÏÞ£¬ËüÊǶÔÓÚAnµÄËùÓв¢¼¯ÐòÁÐÇóÆä½»¼¯£¬Õâ¸ö²¢¼¯ÐòÁеÄÿһ¸öÔªËØÄã»á·¢ÏÖ£¬Ëü×ÜÊÇ»á°ÑÎÞÇîÔ¶µÄÄǸöAn²¢º¬ÔÚÄÚ£¬Ò²¾ÍÊÇ˵ÿһ¸ö²¢¼¯ÐòÁÐËüÖÁÉÙ°üº¬ nΪÎÞÇîµÄÄǸöAn¡£ÔÙ¶ÔËüÇó½»¼¯ºó£¬ºÜÃ÷ÏԵĽáÂÛ¾ÍÊÇ£¬½»¼¯Àï±ØÈ»´æÔÚnÔÚÎÞÇî´óʱµÄAn£¬Ò²¾ÍÊÇ˵nÇ÷ÓÚÎÞÇîʱµÄAnÊDZØÈ»ÊôÓÚ{An}µÄÉϼ«Ï޵ġ£¼´£ºlim AnÊôÓÚÉϼ«ÏÞlim An¡£ ϼ«ÏÞÊÇͬÑùµÄ£¬{An}µÄϼ«ÏÞ£¬ÊǶÔÓÚAnµÄËùÓн»¼¯ÐòÁÐÇó²¢£¬Äã»á¹Û²ìµ½Õâ¸ö½»¼¯ÐòÁеÄÿ¸öÔªËØ£¬±ØÈ»ÊÇnÇ÷ÓÚÎÞÇîʱAnµÄÒ»¸ö×Ó¼¯¡£ÔÙ°ÑËùÓеÄ×Ó¼¯Çó²¢£¬Äã»á·¢ÏÖ{An}µÄϼ«ÏÞ±ØÈ»±»nÇ÷ÓÚÎÞÇîʱµÄAn°üº¬¡£ ÏÂÉÏÊÇÖ±¹ÛµÄÀí½â£¬ÕâÑùµÄ»°¾Í»áÃ÷°×£¬Éϼ«ÏÞ{An}°üº¬Ï¼«ÏÞ{An}£¬µ±Ï¼«ÏÞ{An}µÈÓÚÉϼ«ÏÞ{An}ʱ£¬{An}µÄ¼«ÏÞ´æÔÚ£¬¾ÍÊÇnÇ÷ÓÚÎÞÇîµÄAn¡£ |
15Â¥2015-10-16 11:41:02














»Ø¸´´ËÂ¥