±±¾©Ê¯ÓÍ»¯¹¤Ñ§Ôº2026ÄêÑо¿ÉúÕÐÉú½ÓÊÕµ÷¼Á¹«¸æ
²é¿´: 1145  |  »Ø¸´: 4

CASC_CHEN

ľ³æ (ÕýʽдÊÖ)

[ÇóÖú] ÇóÖú£¬Ò»¸ö¼«ÏÞµÄÇó·¨

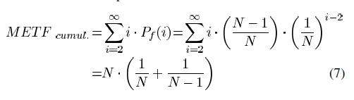
Ò»¸ö¼«ÏÞµÄÇ󷨣¬ÎÞ·¨µÃ³öÆäÍÆµ¼¹ý³Ì£¬ÇëÇó¸÷λ°ïÖú¡£
ÇóÖú£¬Ò»¸ö¼«ÏÞµÄÇó·¨
64c1a95293abaa68a244515dba0895bf.jpg
»Ø¸´´ËÂ¥

» ²ÂÄãϲ»¶

» ±¾Ö÷ÌâÏà¹Ø¼ÛÖµÌùÍÆ¼ö£¬¶ÔÄúͬÑùÓаïÖú:

ÒÑÔÄ   »Ø¸´´ËÂ¥   ¹Ø×¢TA ¸øTA·¢ÏûÏ¢ ËÍTAºì»¨ TAµÄ»ØÌû

Çó²»Öظ´

Ìú¸Ëľ³æ (ÖªÃû×÷¼Ò)

¸Ðл²ÎÓ룬ӦÖúÖ¸Êý +1
nono2009: Ó¦ÖúÖ¸Êý-1, ·ÇÓ¦Öú 2013-10-06 08:12:13
ÎÒÖ»ÖªµÀËûÓ¦¸ÃÓõ½ÁËÅÅÁÐ×éºÏµÄ¹«Ê½°É
Ò»¶þÈýËÄÎåÁùÆß£¬ÆßÁùÎåËÄÈý¶þÒ»
2Â¥2013-10-05 21:15:42
ÒÑÔÄ   »Ø¸´´ËÂ¥   ¹Ø×¢TA ¸øTA·¢ÏûÏ¢ ËÍTAºì»¨ TAµÄ»ØÌû

CASC_CHEN

ľ³æ (ÕýʽдÊÖ)

ÒýÓûØÌû:
2Â¥: Originally posted by Çó²»Öظ´ at 2013-10-05 21:15:42
ÎÒÖ»ÖªµÀËûÓ¦¸ÃÓõ½ÁËÅÅÁÐ×éºÏµÄ¹«Ê½°É

лл²ÎÓ룬ÒѾ­½â¾ö¡£
3Â¥2013-10-05 21:34:41
ÒÑÔÄ   »Ø¸´´ËÂ¥   ¹Ø×¢TA ¸øTA·¢ÏûÏ¢ ËÍTAºì»¨ TAµÄ»ØÌû

feixiaolin

ÈÙÓþ°æÖ÷ (ÎÄ̳¾«Ó¢)

ÓÅÐã°æÖ÷

ÇóºÍºÅÍâÌá³öÀ´(N-1)/N^2;
±ä³É¶Ôi*(1/N)^(i-1)ÇóºÍ£¬µÈÓÚ¶Ô(1/N)^iÏÈÇóµ¼ÔÙ»ý·Ö£¬½»»»´ÎÐò£ºÏÈ»ý·ÖÔÙÇ󵼡£
ÆäÓ࣬ÂÔ¡­¡­
4Â¥2013-10-05 21:41:04
ÒÑÔÄ   »Ø¸´´ËÂ¥   ¹Ø×¢TA ¸øTA·¢ÏûÏ¢ ËÍTAºì»¨ TAµÄ»ØÌû

CASC_CHEN

ľ³æ (ÕýʽдÊÖ)

ÒýÓûØÌû:
4Â¥: Originally posted by feixiaolin at 2013-10-05 21:41:04
ÇóºÍºÅÍâÌá³öÀ´(N-1)/N^2;
±ä³É¶Ôi*(1/N)^(i-1)ÇóºÍ£¬µÈÓÚ¶Ô(1/N)^iÏÈÇóµ¼ÔÙ»ý·Ö£¬½»»»´ÎÐò£ºÏÈ»ý·ÖÔÙÇ󵼡£
ÆäÓ࣬ÂÔ¡­¡­

Ó¦¸ÃÊǰÑ(N-1)Ìáµ½ÇóºÍºÅÍâ±ß°É£¿£¿i*(1/N)^(i-1)ÐèÒªÏÈÌá³öÒ»¸ö(1/n)^(-1)£¬µ«ÊÇÎÒÕâôËã³öÀ´¾¹È»¸úPAPERÀïÃæ×îºó½á¹û²»Ò»Ñù¡£
5Â¥2013-10-05 21:49:58
ÒÑÔÄ   »Ø¸´´ËÂ¥   ¹Ø×¢TA ¸øTA·¢ÏûÏ¢ ËÍTAºì»¨ TAµÄ»ØÌû
Ïà¹Ø°æ¿éÌø×ª ÎÒÒª¶©ÔÄÂ¥Ö÷ CASC_CHEN µÄÖ÷Ìâ¸üÐÂ
×î¾ßÈËÆøÈÈÌûÍÆ¼ö [²é¿´È«²¿] ×÷Õß »Ø/¿´ ×îºó·¢±í
[¿¼ÑÐ] ¸´ÊÔµ÷¼Á +13 ºôºô£¿~+123456 2026-04-05 13/650 2026-04-05 22:07 by ×íÎÌwl
[¿¼ÑÐ] 277Çóµ÷¼Á +5 ¿¼Ñе÷¼Álxh 2026-04-05 5/250 2026-04-05 19:03 by chy09050039
[¿¼ÑÐ] 0860 Çóµ÷¼Á Ò»Ö¾Ô¸¹ú¿Æ´ó 348 ·Ö +3 WiiiP 2026-04-03 3/150 2026-04-05 17:43 by Ecowxq666£¡
[¿¼ÑÐ] 081700ѧ˶£¬323·Ö£¬Ò»Ö¾Ô¸Öйúº£Ñó´óѧÇóµ÷¼ÁѧУ +16 ÅûÐÇºÓ 2026-04-04 16/800 2026-04-05 11:27 by Öí»á·É
[¿¼ÑÐ] 413Çóµ÷¼Á +4 ¿Âijij 2026-03-31 4/200 2026-04-04 22:18 by ѧԱ6BFVa3
[¿¼ÑÐ] ²ÄÁϵ÷¼Á +10 ÀÁÑòÑòÇáÖÃÓñÍÎ 2026-04-02 11/550 2026-04-04 21:56 by laoshidan
[¿¼ÑÐ] ÍÁľ304Çóµ÷¼Á +4 ÍÃͻͻͻ£¬ 2026-03-31 4/200 2026-04-04 13:34 by 1753564080
[¿¼ÑÐ] 0856µ÷¼Á +8 ÇúÌýóÞ 2026-03-30 8/400 2026-04-04 08:46 by tianyyysss
[¿¼ÑÐ] Çó²ÄÁϵ÷¼Á£¬Ò»Ö¾Ô¸Ö£ÖÝ´óѧ289·Ö +15 ˶ÐǸ° 2026-04-03 15/750 2026-04-04 01:01 by userper
[¿¼ÑÐ] 311Çóµ÷¼Á +20 zchqwer 2026-04-01 22/1100 2026-04-03 22:09 by lglzsd
[¿¼ÑÐ] ¿¼Ñе÷¼Á +5 СsunÒªºÃÔË 2026-04-03 5/250 2026-04-03 21:43 by à£à£à£0119
[¿¼ÑÐ] Çóµ÷¼Á +8 akdhjs 2026-04-03 8/400 2026-04-03 18:17 by ´÷άING
[¿¼ÑÐ] 309Çóµ÷¼Á +14 ´ô¹½²»ÊÇ´÷·ò 2026-04-02 14/700 2026-04-03 09:42 by À¶ÔÆË¼Óê
[¿¼ÑÐ] 295Çóµ÷¼Á +7 Ô¸ÂÃ;ÓÀԶ̹Ȼ 2026-04-02 7/350 2026-04-03 08:22 by fangshan711
[¿¼ÑÐ] ÉúÎïѧ308·ÖÇóµ÷¼Á£¨Ò»Ö¾Ô¸»ª¶«Ê¦´ó£© +6 ÏàÐűػá¹ââÍòÕ 2026-03-31 7/350 2026-04-02 23:16 by JourneyLucky
[¿¼ÑÐ] 266Çóµ÷¼Á +4 ѧԱ97LZgn 2026-04-02 4/200 2026-04-02 13:03 by yulian1987
[¿¼ÑÐ] 08¿ªÍ·¿´¹ýÀ´£¡£¡£¡ +4 wwwwffffff 2026-03-31 6/300 2026-04-02 11:42 by ¾ùÖµ»Ø¹é
[¿¼ÑÐ] ¡¾Çóµ÷¼Á¡¿ÐÂÄÜÔ´²ÄÁϱ¾¿Æ£¬Ò»Ö¾Ô¸211£¬³õÊÔ321 +6 Çóµ÷¼ÁѧУ£¬ 2026-04-02 6/300 2026-04-02 09:41 by Çç¿Õ210210
[¿¼ÑÐ] 262Çóµ÷¼Á +9 ÀøÖ¾Ò»¶¨·¢ÎÄÕ 2026-03-31 10/500 2026-04-01 12:22 by sunshine0013
[¿¼ÑÐ] 326Çóµ÷¼Á +4 áÌáÌ×Ð 2026-03-31 4/200 2026-04-01 09:58 by ÎҵĴ¬Îҵĺ£
ÐÅÏ¢Ìáʾ
ÇëÌî´¦ÀíÒâ¼û