小木虫
登陆
|
注册
首页
导读
期刊
发现
社区
招聘老师
当前位置:
小木虫首页
>> 分析
Agilent1100系列液相色谱显示泄露 什么原因呢?怎么处理?菜鸟求带
王芳芳?
DAD检测器显示泄露之后会立即结束程序,启动关机。基本情况是我进样之后,他只能运行2-8分钟,就会显示泄露,终止程序。我觉得是我注射量过大,逐渐减小注射量。但是运行时间还是在2分钟左右就显示泄露。最后我怀疑,是不是第一次注射的过多,一直没有出来,才会一直感应到...
分析
300
6
海砂氯离子的溶出
X0025
用SEM-EDS观察海砂颗粒周边的氯离子溶出情况。要测试样品中的砂浆中海砂颗粒要做些什么处理吗?才能在sem图像快速找出来
分析
150
3
不同价态的同一元素的相对含量用什么方法测试
柚笑。。。
不同价态的同一元素的相对含量用什么方法测试呢,重点是液体样品,求大神解答,感谢
分析
1000
20
吸附剂粒度太细,高速离心无法分离,请问有什么解决方法吗?
橘生淮南为橘
吸附剂是1000目是碳粉,混匀后直接成悬浮液了,试过9000rp的30min离心,还是无法取出上清,造成无法进色谱仪,请问有什么好的分离办法吗?
分析
250
5
岛津公司的LC-20AT仪器高校液相色谱基线漂移
Biming2b
岛津公司的LC-20AT仪器高校液相色谱测定样品事总是出现基线漂移,我的样品出峰时间大概在9.7分左右
分析
450
9
关于1stOpt软件
能有机会一定
研究热重数据TG_DTG,通过动力学公式得到动力学参数,将动力学参数,TG参数带入带到1stOpt软件进行拟合(通用全局优化算法,微分方程:RKF45),拟合得到的理论曲线的指前因子A与动力学公式求的A差很远,不知道有没有哪位做动力学研究的朋友也遇到过这个情况...
分析
200
4
检测物在甲醇溶解度有点差,想在溶剂加入少量DMSO助溶可以吗,会损害C18柱吗?
橘生淮南为橘
想用流动相为溶剂,掺入少量1-3%的DMSO,用这个混合溶剂溶解样品,请问会对HPLC-MS检测和柱子产生影响吗?
分析
150
3
求助岛津荧光分光光度计RF-6000的使用说明书
xxxrxy
求助岛津荧光分光光度计RF-6000的使用说明书
分析
250
5
安捷伦1260液相色谱分析甲苯,二甲苯
namespace01
色谱条件:流动相(甲醇:水-7:3),溶剂:甲醇,波长:210,流速:1ml/min刚刚开始,前面几次的时候可以正常出峰,条件没有变,但后面几次的峰就都跑到1-2分钟哪里...
分析
200
4
未知物分析出来买不到怎么办?
18级粉丝
一份白色颗粒状未知物经过化学分析之后得出正确结论,但是市面上没有这款产品怎么办?有没有这样的情况?是不是单独定制的产品呢?委托生产的话最少生产要多少才可以呢?
分析
350
7
对二甲苯打HPLC该用什么条件
l103149
小弟本来是用20%千分之一磷酸和80%甲醇做流动相,C18固定相,在220nm检测,结果就算直接进纯样品也没有峰出来,想问问大神们该怎么改条件?
分析
200
4
使用傅立叶红外光谱测量沥青质的浓度
1wsc
选用某一波长,测定沥青质在甲苯中的浓度,这个方案是否可行,应该怎么做
分析
350
7
欢迎交流icpms
wwwbeyond
立flag,定期写点关于icpms应用方面的东西,与诸君共享。
分析
1500
30
ULOQ准确度仅90%,多稀释几倍进样就能达到100%?
kyan1
各位老师好,我想请教一个问题:LCMS分析时进样量5微升ULOQ准确度仅90%,其他浓度点准确度达100%左右,线性我设置了LLOQ、中间有六个浓度,然后ULOQ共8个浓度点。当我进样量改为1微升时候ULOQ准确度也变成100%左右恢复正常。原先是200微升溶...
分析
150
3
请问有使用过P2000激光拉制仪的同学吗?
Dw浪潮
请问你们可以用p2000拉出稳定的管吗?我拉OD1mmID0.58mm的硼硅酸盐管在预热机器和保证拉制两端对称的情况下每次拉出的管肉眼可见的有差异
分析
300
6
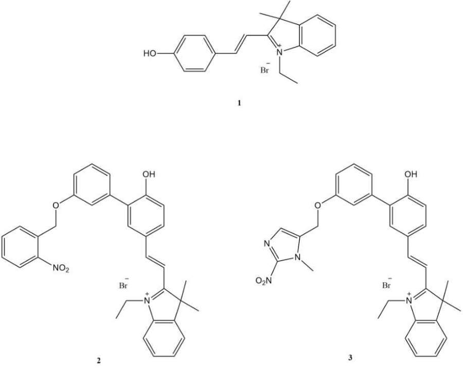
关于硝基咪唑类化合物荧光猝灭问题
zy198800
最近在学习一些荧光探针方面的知识,有些地方想向各位请教一下。硝基咪唑可以猝灭一些化合物的荧光,当硝基被还原后,化合物重新获得荧光。图中化合物1有荧光,那么请问一下,化合物...
分析
400
8
求助安捷伦1260高效液相测定水样中硝酸盐、亚硝酸盐含量(小白一枚)
所向披靡666
文献中显示色谱条件为(图一为文献):C18柱(250×4.6×5mm);流速1.0mL/min;手动进样,进样量10μL;流动相:甲醇:水=75:25(v/v),加入0....
分析
150
3
季铵碱成分定性分析
昕散
最近合成了一个季铵碱,但是测了反相HPLC发现不纯,有两个主产物。但是在TLC上看不出来(纯甲醇都在基线上爬不动)。打核磁因为不纯所以看不出来什么。现在想知道所含季铵碱的分子量,用GCMS可以测吗?如果不可以的话还有其他方法定性定量分析吗?谢谢大家,万分感谢!
分析
250
5
液相色谱检测植物油中甾醇的条件
皮卡秋-
植物油皂化后提取出甾醇,用C18柱检测,目前最好的条件是100甲醇、30度、流速1(甾醇在13-15分钟左右出峰),但是豆甾醇和菜油甾醇的分离度不好,只有1.4。想请问大家我该怎么调整流动相比例才能让甾醇分离的更好呢?
分析
300
6
如何检测反应过程中生成CH3+量的多少
wb1809v
如何对反应中生成的CH+进行检测并定量
分析
450
9
1763cm-1的红外光谱峰
虫童
硝酸四氨合铜的红外光谱在1763cm-1有一个小弱峰,查资料发现能对的上的只有羰基,硫酸四氨合铜没有那个峰,请问那个小峰可能是什么峰,或者由于什么原因产生的
分析
1000
20
色谱中形成的多聚体的二级质谱
杜小康
做代谢组学,平台是ESI-QTOF。有一个离子被注释为3M+H(假设注释是正确的),那这个离子被打碎后还会保留多聚体的形式吗?还是说会被打成单体碎片?另外,实验室形成的某物质图谱有没有可能跟数据库(比如HMDB,Massbank)里完全不同?刚接触质谱,请大家...
分析
150
3
交流微流控的相关知识
153750
请教一下,关于微流控,国内外有哪些团队在做?现在技术发展的怎么样
分析
450
9
物质中混有金属元素打质谱的时候会不会有影响
fxks9130
最近在做一个化合物分子量是1611,拿到产品的时候打了质谱,结果显示分子量为1819。我的化合物里面有磷酸基团。倒数第一步有用到四三苯基磷钯和三乙胺,如果三乙胺和产品成盐后,加上残留的Pd的影响,质谱上会不会有三乙胺+产品+Pd的分子量,这样的话正好是1819...
分析
200
4
求助xcalibur2.2的软件!!!
giggleyang
各位虫子大佬们您们好,来求助一款软件,xcalibur及其配套软件,分析GC-MS。希望大佬们分享帮助!
分析
250
5
纤维素层析纸表面接枝了东西,能用红外表征吗?
紫流苏樱雪
纤维素层析纸表面接枝了东西,能用红外表征吗?看到文献说用红外表征,具体怎么做呢,光能穿透纤维素层析纸吗?
分析
350
7
EPR(电子顺磁共振)光谱分析遇到大问题
zxlyy
科研小白,对飞灰(粉末)进行EPR测试,得出的光谱图不对称(很离谱),g值也不知道该怎么求,有没有大佬遇到过类似情况,或者有没有什么推荐阅读的资料1.png2.png3....
分析
400
8
如果液相配置了在线过滤器,流动相还有需要超声脱气吗
ToSoul小明
如果液相配置了在线过滤器,流动相还有需要超声脱气吗
分析
500
10
有关稠环上的核磁氢谱的分析
凡夫俗子焓
想问一下大家,蒽以及1,2-二氨基萘上的2位置上的氢为什么都裂分成四重峰?而3位置上的氢却只是单重峰?产生这种裂分的原因是什么?3.jpg2.jpg4_Page1.jpg
分析
400
8
液相报警,后密封圈清洗系统已将洗液抽干,active多次依然没用怎么办? 硕博家园 0
sunny同学
赛默飞U3000,重新装满,手动开启蠕动泵,但是status还是dry,还是不停报警,无法恢复正常,怎么办,焦虑好久了
分析
150
3
11818
1 ...
‹‹
3
4
5
6
7
8
››
... 394
板块导航
网络生活
育儿交流
健康生活
有奖问答
资源共享
课件资源
试题资源
化学化工
有机
高分子
无机物化
分析
催化
工艺技术
化工设备
化工
精细化工
电化学
环境
专业学科
机械
物理
数学
农林
食品
地学
能源
信息科学
理工农林
科研生活
博后之家
专业外语
外语学习
导师招生
找工作
招聘信息
考研
考博
公务员
生物医药
新药研发
药学
药品生产
分子生物
微生物
动植物
生物科学
医学
材料
材料
材料工程
微米纳米
晶体
金属
非金属
生物材料
功能材料
复合材料
计算模拟
第一原理
量子化学
计算模拟
分子模拟
仿真模拟
程序语言
学术交流
论文投稿
基金申请
学术会议
出国留学
留学生活
公派出国
访问学者
海外博后
留学DIY
签证指南
出国考试
海外院所
注册执考
化工工程师
执业药师
执业医师
环境工程师
会计师
注册考试
24小时热帖
换一批
售SCI一区文章,我:8 O5 51O 54,科目齐全,可+急
7
售SCI一区文章,我:8 O5 51O 54,科目齐全,可+急
8
售SCI一区文章,我:8 O5 51O 54,科目齐全,可+急
8
售SCI一区文章,我:8 O5 51O 54,科目齐全,可+急
11
为什么中国大学工科教授们水了那么多所谓的顶会顶刊,但还是做不出宇树机器人?
8
应助之星
下载小木虫APP
与700万科研达人随时交流
二维码
IOS
安卓
欢迎监督和反馈
:小木虫仅提供交流平台,不对该内容负责。
欢迎协助我们监督管理,共同维护互联网健康,违规贴举报删除请联系邮箱:xiaomuchong@tal.com
(点此查看侵权举报方式)
我们保证在7个工作日内给予处理和答复,谢谢您的监督。
©2001-2026 muchong.com,小木虫
京ICP备16008351号
京公网安备 11010802022153号
Copyright © 2001-2026 muchong.com, All Rights Reserved. 小木虫 版权所有