当前位置:小木虫首页 >> 有机

请问头孢菌素C锌盐59143-60-1 哪里有卖啊?求各位大神赐教

gswang9002
请问头孢菌素C锌盐59143-60-1哪里有卖啊?求各位大神赐教
有机
  • 150
  • 3

甲基氧化成羧基

Yaya222
本人最近在做有机合成,现在最后一步是把甲基氧化成羧基,查阅了一些文献,准备用酸性高锰酸钾溶液试一下。但是无奈文献上未找到详细的步骤,所以有几个问题想向大家求助:(1)高锰酸钾需要分批加,每次加入多少合适呢?(2)加热回流时间大约是多少小时呢?(3)加热回流的温...
有机
  • 800
  • 16

求助MestReNova软件

13546031019
求助MestReNova软件安装包或下载链接网址
有机
  • 200
  • 4

DAST 二乙胺基三氟化硫的使用

独孤先生VS
现在要将羟基变为F,根据文献可知用的药品是DAST,文章是一篇专利,下载不下来,所以对于DAST的使用,求大神指导,反应过程的细节。。。求做过的大神指导,跪谢微信图片_2...
有机
  • 300
  • 6

核磁氢谱滴定原理

teng251344
文章说向探针的氘代DMSO和氘代重水的混合溶液中加入识别离子。我想问下探针用氘代DMSO和氘代重水混合溶剂溶的吗?离子用氘代重水溶。我先加了0.5ml氘代DMSO将18....
有机
  • 200
  • 4

爬大板,核磁氢谱4.0出一个单峰杂质峰

彭城369
请教一下,核磁氢谱4.0出一个单峰,爬大板就有,是什么原因,如何除去呢,谢谢。爬大板体系是乙酸乙酯和正戊烷,正己烷,乙酸乙酯冲下来,用氯仿代过溶剂[Lasteditedby彭城369on2020-6-17at00:49]
有机
  • 1800
  • 36

精细化工的思维能力很重要

fulian108
精细化工不仅仅考验企业的创新能力,还考验企业的战略思维,如果在宏观上有比较综合的战略布局就可以更好配合微观上的发展。
有机
  • 450
  • 9

离子交换树脂使用范围

独行潭影
强酸性离子交换树脂在纯有机溶剂中能发生离子交换吗
有机
  • 1600
  • 32

乙醇,钯碳体系硝基还原

明天会更好&
乙醇,钯碳体系硝基还原,产物极性很大不溶于乙醇,且极易溶于水,怎么拿出来,万能的虫友帮帮我
有机
  • 800
  • 16

DCC溶于四氢呋喃后出现针状晶体 是不是过期了

jaclopz
查到的是DCC可以溶解在四氢呋喃里,但是我的出现了晶体,查了可能是DCU。
有机
  • 150
  • 3

求助!四氟打溶剂抽子,200L大桶的那种

songzhichun7
一直用的四氟打溶剂抽子,最近找不到资源了有人能提供购买资源吗?白色四氟材质,好像是焊接的,不是一体成型的。
有机
  • 200
  • 4

关于wittig反应与HWE反应,,做了好久没做出来,请高手支招

suyun
最近在做一个wittig反应,试了很多条件都没做出来,来小木虫上请教各位,先谢谢了操作过程:氩气保护,低温下(-70,-40,-10,0°都试过)往膦盐thf混悬液加碱(...
有机
  • 1200
  • 24

哪种类型的活性炭吸附硫化氢效果较好

cxmlxmf123
各位亲,本人新建一小型有机实验室,领导给设计的是用活性炭吸附尾气,一开始没在意。但活性炭是要不定期更换的,我们所产生的废气主要是硫化氢和一些酸什么的,目前做的也是比较简单。我查了一下活性炭也是有很多种类的,我请问一下哪种活性炭吸附硫化氢效果比较好?还有价格等等...
有机
  • 200
  • 4

乙醇,FeCl3体系硝基还原

chzhben
乙醇,FeCl3体系硝基还原,产物极性很大不溶于乙醇,且极易溶于水,怎么拿出来,万能的虫友帮帮我
有机
  • 2950
  • 59

MestRenova横坐标范围如何更改问题

明明~~
请教各位大神,核磁谱图中有一个活泼氢显示在12.36ppm化学位移处,MestRenova处理谱图中的横坐标范围太小了,刚刚把活泼氢显示出,看着不太好,现在想把横坐标的范...
有机
  • 250
  • 5

核磁4ppm左右出现一多重峰,求问这样的峰形可能是什么,如图

行知96717
我的分子结构可能是一链醇连有对溴苯甲酰氯基团,预期4ppm左右是积分为2的t峰,但现在出现积分为4的多重峰,且峰形是这样的,讨论了很久后尚未找到解释原因,求虫友指教。。实...
有机
  • 550
  • 11

过柱子怎样才能把茚酮和茚满酮分开

南风2019
未过柱前用10:1的展开剂点板,茚满酮和茚酮是连着的,茚酮满是在茚酮上面,茚酮是在365荧光灯下可以看到蓝色荧光。过柱子用过30:1,40:1,50:1,60:1,的淋洗剂,也试过梯度淋洗,但是两个点还是一起下来,过完柱子点板点板情况是两个点分开一点。爬大板子...
有机
  • 1000
  • 20

咪唑钠的合成提取

lv1117yyy
我是用的咪唑和氢氧化钠生成咪唑钠,想问一下用什么办法提纯和检测反应的程度,我是氢氧化钠过量,无溶剂反应,拜托大家了
有机
  • 300
  • 6

求试剂的预测核磁图(氢谱),谢谢

xytzrt
求试剂预测的核磁图。试剂cas:180572-58-1,中文名:二-(2-乙基己基)亚甲基二磷酸,英文名:methylenebisphosphonicacidP,P\'-...
有机
  • 300
  • 6

有机浓缩过柱的问题

我爱化学13
文献中提到:随后,将有机相浓缩,以石油醚/乙酸乙酯=4:1,V/V作为流动相,过硅胶柱提纯,得到2.4g白色针状晶体。我很疑惑,这个浓缩是浓缩后得到固体,然后干法上样,过硅胶柱后得到固体产品吗?
有机
  • 450
  • 9

请教一个反应机理

xingjunhao
反应如图所示,该反应是如何实现醛基的转化?在强酸性条件下,原料中的缩醛为何没有被破坏?TIM截图20200619221720.png
有机
  • 300
  • 6

请问这两个化合物是同一种物质吗,结构一样性质相同吗?

xoana
各位虫友,请问这是两个相同性质的一种物质吗?S的位置一个在左侧一个在右侧,楼主小白,不知道是不是由于对称性它们是同一个物质?1.GIF2.GIF
有机
  • 150
  • 3

环氧树脂生产过程中回收环氧氯丙烷槽子里为什么会有很多结晶渣子

wtf83431688
生产环氧树脂过程中,通过加负压升温脱环氧氯丙烷进回收槽,里面应该只有水和环氧氯丙烷的蒸汽冷凝到槽子里,最多还有空气,这几个东西应该不会生成固态结晶渣子吧,查了很多资料没查到
有机
  • 400
  • 8

亚甲基蓝溶液配置

kitt200902
虫友们好,我用三水合亚甲基蓝配置1000mg/L的母液,配置的时候取1.1689g三水亚甲基蓝,用1L的容量瓶配置,然后稀释不同浓度测吸光度,结果发现吸光度比文献上的高出很多,我配的10mg/L的吸光度达到2,文献上给出的吸光度一般为0.9,明显溶液配的浓度比...
有机
  • 150
  • 3

苯环上的氨基在254nm下为什么有的显蓝荧光有的显黑色?

YaphetSHY
苯环上的氨基在254nm下为什么有的显蓝荧光有的显黑色?跟取代基有什么关系?
有机
  • 450
  • 9

酚类物质反应氢化釜后,感觉有铁离子螯合,后处理怎么搞。或者反应釜材质要求

lk20120323
酚类物质的盐酸盐(含氨基)做氢化釜反应,,水做溶剂,pH=5-6,由于小试用的玻璃釜,氢气袋做的,反应完料液是淡黄色的。但上不锈钢的氢化釜反应出来溶液都是深紫黑色的。怀疑螯合铁离子了,因为后续要加氨水析出固体,很明显不锈钢做的物料是暗粉的,虽然液相纯度跟玻璃釜...
有机
  • 250
  • 5

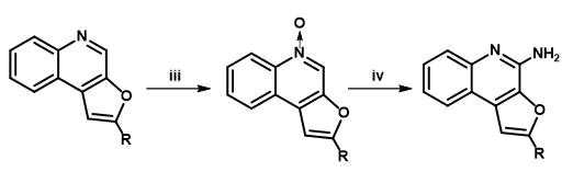
求下列喹啉N邻位氨基取代的反应机理

我是学霸
反应条件是(iii)m-CPBA,CHCl3;and(iv)(a)benzoylisocyanate,CH2Cl2and(b)NaOCH3,MeOH.请问具体的反应机理是...
有机
  • 150
  • 3

请问聚丙烯酰胺更容易与水还是甲醇形成氢键?

哈哈吉
如题,请问聚丙烯酰胺更容易与水还是甲醇形成氢键呀?
有机
  • 250
  • 5

聚乙二醇改性甲基六氢苯酐

LGF763073703
根据相关文献,聚乙二醇改性甲基六氢苯酐得到端羟基分子结构物质,无需添加催化剂,反应温度90-109℃,时间2-3小时,得到亲水性较高的物质。因此我按照文献重复该实验,原材料peg-600,反应工艺参数和文献一样,和成后发现亲水性比较差。麻烦大家指导下,帮忙指出...
有机
  • 300
  • 6

关于物质分离的方法。。。

狼族斗士
目标产物中混有一杂质,无法溶于甲苯,乙醇等常规溶剂,求助有啥比较好的分离方法。杂质的极性比目标产物要校两者均能溶于DMF。
有机
  • 150
  • 3
应助之星
下载小木虫APP
与700万科研达人随时交流
  • 二维码
  • IOS
  • 安卓