小木虫
登陆
|
注册
首页
导读
期刊
发现
社区
招聘老师
当前位置:
小木虫首页
>> 有机
请问醛基和酰胺键容易反应吗
有机合成
请问醛基和酰胺键容易反应吗
有机
150
3
有机板块的虫子们,来讨论下你们对于自身专业或者行业的眼界吧~
小_包子
有机板块的虫子们,来讨论下你们对于自身专业或者行业的眼界吧~
有机
1700
34
求去意大利参会国际IUPAC会议的邀请函模版
wg423
求去意大利参会国际IUPAC会议的邀请函模版
有机
300
6
四乙氧基硅在图中反应上起什么作用?
有机合成
四乙氧基硅在图中反应上起什么作用?
有机
150
3
热烈欢迎88817753 担任有机交流版块专家顾问
费姚永芬
热烈欢迎88817753 担任有机交流版块专家顾问
有机
7950
159
热烈欢迎fherow 担任有机交流版块专家顾问
费姚永芬
热烈欢迎fherow 担任有机交流版块专家顾问
有机
9200
184
氯化铋在有机合成中一般有什么作用啊?
有机合成
氯化铋在有机合成中一般有什么作用啊?
有机
150
3
有机版块全勤奖励
小_包子
有机版块全勤奖励
有机
1700
34
热烈欢迎yqj89 担任有机交流版块专家顾问
费姚永芬
热烈欢迎yqj89 担任有机交流版块专家顾问
有机
10150
203
氯基可以像溴基一样发生偶联反应吗?用什么催化条件?拜托各位帮帮忙
sirstones
氯基可以像溴基一样发生偶联反应吗?用什么催化条件?拜托各位帮帮忙
有机
200
4
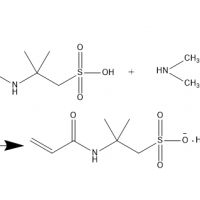
请问这个磺酸和胺能成盐吗?
lazy锦溪
请问这个磺酸和胺能成盐吗?
有机
350
7
南京哪里可以买到发烟硫酸
xxzhangci
南京哪里可以买到发烟硫酸
有机
150
3
实验室怎么制备臭氧
xxzhangci
实验室怎么制备臭氧
有机
1250
25
石墨烯材料的市场调研情况,哪位同学了解?
ha0451
石墨烯很火,好像专利,文章一大把,诺奖都出了。有没有同学研究这方面的,其应用前景,市场规模如何?
有机
2650
53
NBS上溴的反应机理?
有机合成
NBS上溴的反应机理?222222222222.PNG
有机
550
11
这个油泵接口如何连接?
有机合成
这个油泵接口如何连接?
有机
250
5
中试实验室空气中自氧含量怎么监测?
yitaoyt
由于最近要做一个臭氧氧化反应的放大,20L到100L釜,之前还没有做过臭氧氧化放大的反应,问一下虫友们有没有做过这类臭氧氧化的,是怎么监测空气中臭氧含量的?KI,NaI溶液可以监测尾气中有没有臭氧,现在要问的是空气中的怎么监测,查到网上有臭氧检测仪,不知道那家...
有机
200
4
如何有选择性的脱出醛基邻位的甲氧基中的甲基?
有机合成
如何有选择性的脱出醛基邻位的甲氧基中的甲基?
有机
150
3
有机交流版2017年4月月度应助之星奖
dave_chen
有机交流版2017年4月月度应助之星奖励第一名cc116100金币OCI一枚第二名中国加油80金币第三名czyzsu60金币奖励颁发依据:有机交流版应助之星奖励细则【20...
有机
250
5
通溴用什么泵?
lantian001
溴化实验,1毫升每分钟。请问能用什么泵?溴对硅胶管腐蚀很厉害,能用什么材质管子接蠕动泵呢?对金属也有腐蚀,也没法用计量泵啊?需要有压力,不能滴加。请做过的推荐下,谢谢!若是流量大一些,例如工业上,能用什么泵呢?
有机
350
7
对甲苯黄酰氯和甲基黄酰氯,终产品药物中有其ppm级残留可以吗?
baiyuefei
如对甲苯黄酰氯和甲基黄酰氯,这两个物质在药物合成中,终产品药物中有ppm级残留可以吗?,还请各位赐教最好有些数据支持或例子支持吧
有机
500
10
举报违禁物、易制毒论坛奖励!
小_包子
近期频繁出现违禁物、易制毒主题!希望虫友们擦亮眼睛,在应助之前做出明智的判断。坚决打击此类帖子!
有机
600
12
向2017年为有机交流版做出贡献的同志们致敬!
dave_chen
1、cc11626362017-01-0100:00----2018-01-0100:002、DJ_Tokyo10682017-01-0100:00-----2018-01-0100:003、中国加油10102017-01-0100:00-----2018-0...
有机
800
16
为什么Yamamoto反应Cl活性比I高
不想去海南
如题,为什么Suzuki或者Sonogashira的I的活性比Cl强?我自己理解是Suzuki这类反应的I-aryl电子云密度比较大,electronrich,有利于Oxidativeinsertion.但是Yamamoto完全不一样,是不是一方面是由于Cl的...
有机
350
7
有机交流版2018年1月月度应助之星奖励
dave_chen
有机交流版2018年1月月度应助之星奖励第一名DJ_Tokyo100金币OCI一枚第二名lichangwen80金币第三名czyzsu60金币QQ截图2018020510...
有机
200
4
高温下分解释放大量气体的物质
langzhizhou
有没有常温下很稳定,高温80度/90度以上会发生分解释放大量气体的物质?液体或者固体都可以。另外对4V以下电压是否会发生反应。
有机
300
6
常用的有机物数据库
月只蓝
各位大神,请问有没有推荐的有机物数据库。举个例子,输入CAS号就能查到有机物的各种命名法名称、分子式、基本性质等等。zhuljliuchong630celankzhch2006yangtie2008nbzhang1987
有机
300
6
含水量50%的三乙烯四胺如何进一步浓缩
月只蓝
各位大神,现有含水量50%的三乙烯四胺(TETA)悬浊液(主要组分为水和TETA,无其他杂质),有没有比较经济的方法,将其浓缩到含水量小于5%?常压下,TETA的沸点280℃左右,首先想到的是用蒸馏或者精馏,但是能耗太大。有没有改进的方法?还考虑过加盐酸成盐后...
有机
250
5
30901
1 ...
‹‹
66
67
68
69
70
71
››
... 1031
板块导航
网络生活
育儿交流
健康生活
有奖问答
资源共享
课件资源
试题资源
化学化工
有机
高分子
无机物化
分析
催化
工艺技术
化工设备
化工
精细化工
电化学
环境
专业学科
机械
物理
数学
农林
食品
地学
能源
信息科学
理工农林
科研生活
博后之家
专业外语
外语学习
导师招生
找工作
招聘信息
考研
考博
公务员
生物医药
新药研发
药学
药品生产
分子生物
微生物
动植物
生物科学
医学
材料
材料
材料工程
微米纳米
晶体
金属
非金属
生物材料
功能材料
复合材料
计算模拟
第一原理
量子化学
计算模拟
分子模拟
仿真模拟
程序语言
学术交流
论文投稿
基金申请
学术会议
出国留学
留学生活
公派出国
访问学者
海外博后
留学DIY
签证指南
出国考试
海外院所
注册执考
化工工程师
执业药师
执业医师
环境工程师
会计师
注册考试
24小时热帖
换一批
这年头没有找到涵评专家,还有中面上的可能吗
5
2026博士申请求助
10
评审感受-评审感受-评审感受
12
西南大学考核制博士
6
窗边初夏的小雨
10
应助之星
0______0
+关注
下载小木虫APP
与700万科研达人随时交流
二维码
IOS
安卓
欢迎监督和反馈
:小木虫仅提供交流平台,不对该内容负责。
欢迎协助我们监督管理,共同维护互联网健康,违规贴举报删除请联系邮箱:xiaomuchong@tal.com
(点此查看侵权举报方式)
我们保证在7个工作日内给予处理和答复,谢谢您的监督。
©2001-2026 muchong.com,小木虫
京ICP备16008351号
京公网安备 11010802022153号
Copyright © 2001-2026 muchong.com, All Rights Reserved. 小木虫 版权所有