小木虫
登陆
|
注册
首页
导读
期刊
发现
社区
招聘老师
当前位置:
首页
>
有机
>
请问这个磺酸和胺能成盐吗?
请问这个磺酸和胺能成盐吗?
作者
lazy锦溪
来源:
小木虫
350
7
举报帖子
+关注
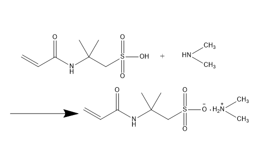
请问这个成盐反应能发生吗?
如果可以该怎么去表征呢?
谢谢
返回小木虫查看更多
分享至:
更多
今日热帖
吡嗪2,3-二硒...
合成对氨基偶氮苯
喜树碱(CPT)...
3位羰基使用乙二...
OTIPS 炔烃...
酰胺合成反应求助
甘油磷酸胆碱和去...
这个反应为何没有...
精华评论
李豪110
成盐是绝对可行,难在表征,建议得到盐后先用溴水试试,如果褪色,再测个熔点。
lazy锦溪
引用回帖:
2楼
:
Originally posted by
李豪110
at 2016-10-12 08:47:12
成盐是绝对可行,难在表征,建议得到盐后先用溴水试试,如果褪色,再测个熔点。
成盐需要加热吗?
不是强酸强碱
,
lazy锦溪
引用回帖:
4楼
:
Originally posted by
李豪110
at 2016-10-12 09:15:36
试问即可,这是个有机强酸
...
表征的话如果是核磁能看出什么变化吗?
或者其他表征手段
lazy锦溪
引用回帖:
7楼
:
Originally posted by
李豪110
at 2016-10-12 09:56:54
如果你的波谱分析比较扎实,就试试NMR
...
好吧,先试试看
猜你喜欢
板块导航
网络生活
育儿交流
健康生活
有奖问答
资源共享
课件资源
试题资源
化学化工
有机
高分子
无机物化
分析
催化
工艺技术
化工设备
化工
精细化工
电化学
环境
专业学科
机械
物理
数学
农林
食品
地学
能源
信息科学
理工农林
科研生活
博后之家
专业外语
外语学习
导师招生
找工作
招聘信息
考研
考博
公务员
生物医药
新药研发
药学
药品生产
分子生物
微生物
动植物
生物科学
医学
材料
材料
材料工程
微米纳米
晶体
金属
非金属
生物材料
功能材料
复合材料
计算模拟
第一原理
量子化学
计算模拟
分子模拟
仿真模拟
程序语言
学术交流
论文投稿
基金申请
学术会议
出国留学
留学生活
公派出国
访问学者
海外博后
留学DIY
签证指南
出国考试
海外院所
注册执考
化工工程师
执业药师
执业医师
环境工程师
会计师
注册考试
24小时热帖
换一批
化学工程求调剂
11
083000,总分284,求调剂
4
化学工程与技术316求调剂
6
081700学硕一志愿北京化工大学数二英一过六级有竞赛求调剂
7
085701环境工程专业,初试305,均过国家A区线
7
应助之星
czyzsu
+关注
下载小木虫APP
与700万科研达人随时交流
二维码
IOS
安卓
欢迎监督和反馈
:小木虫仅提供交流平台,不对该内容负责。
欢迎协助我们监督管理,共同维护互联网健康,违规贴举报删除请联系邮箱:xiaomuchong@tal.com
(点此查看侵权举报方式)
我们保证在7个工作日内给予处理和答复,谢谢您的监督。
©2001-2026 muchong.com,小木虫
京ICP备16008351号
京公网安备 11010802022153号
Copyright © 2001-2026 muchong.com, All Rights Reserved. 小木虫 版权所有
成盐是绝对可行,难在表征,建议得到盐后先用溴水试试,如果褪色,再测个熔点。
成盐需要加热吗?
不是强酸强碱
,
表征的话如果是核磁能看出什么变化吗?
或者其他表征手段
好吧,先试试看