一个代数恒等式的证明
题目:设x,y,z是正实数,且满足[latex]xy+yz+zx=1[/latex],试证:
[latex]xyz(x+y)(y+z)(z+x)-(1-x^2)(1-y^2)(1-z^2)=\frac{1}{2}\left((1-x^2)(y-z)^2+(1-y^2)(z-x)^2+(1-z^2)(x-y)^2\right)[/latex]
今日热帖
题目:设x,y,z是正实数,且满足[latex]xy+yz+zx=1[/latex],试证:
[latex]xyz(x+y)(y+z)(z+x)-(1-x^2)(1-y^2)(1-z^2)=\frac{1}{2}\left((1-x^2)(y-z)^2+(1-y^2)(z-x)^2+(1-z^2)(x-y)^2\right)[/latex]
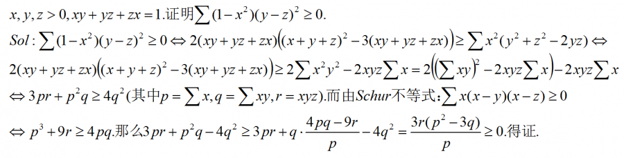
要进一步地证明不等式:
[latex](1-x^2)(y-z)^2+(1-y^2)(z-x)^2+(1-z^2)(x-y)^2\geqslant 0[/latex]
该如何证明呢?
暂时只能证明x,y,z至多只有一个大于1
另外约束条件可以配方成
(x+y-z)2+(x-y+z)2+(x-y-z)2=2
你其实无意中已经说出答案了阿
如果有两个大于1,比如x,y, 那么 x 乘以 y 已经大于1。
如果恰好只有一个大于1, 那么恒等式左边是一个正数减去一个负数,自然大于0
如果三个都小于1, 那么恒等式右边每一项都是正数,自然大于0.
所以二楼的证明才是关键!
我一直在考虑坐标变换或者三角代换……
是的,在约束条件xy+yz+zx=1(x>0,y>0,z>0)下,不等式
[latex](1-x^2)(y-z)^2+(1-y^2)(z-x)^2+(1-z^2)(x-y)^2\geqslant 0[/latex]
与不等式:
[latex]xyz(x+y)(y+z)(z+x)\geqslant(1-x^2)(1-y^2)(1-z^2)[/latex]
相互等价,彼此可互推。
我就只会硬算。。。

不等式.png