| ²é¿´: 1244 | »Ø¸´: 0 | ||
| ¡¾ÐüÉͽð±Ò¡¿»Ø´ð±¾ÌûÎÊÌ⣬×÷Õßrainbowguy½«ÔùËÍÄú 50 ¸ö½ð±Ò | ||
rainbowguyÒø³æ (ÕýʽдÊÖ)
|
[ÇóÖú]
ÇóÖú¶àÏîʽÏà³ýÎÊÌ⣬´óÉñÀ´½â´ð
|
|
|
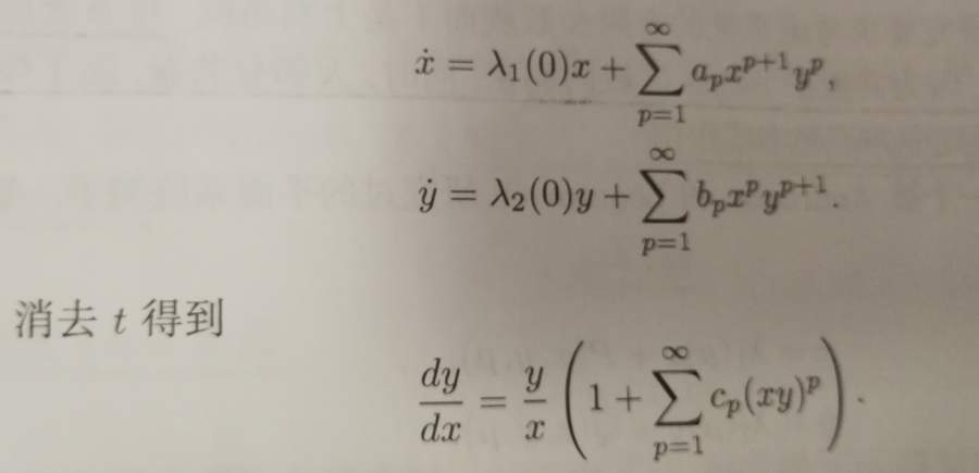
ÈçͼËùʾ£¬ÉÏÃæÁ½¸öµÈʽÓÒ²àµÄ¶àÏîʽÏà³ý£¬ÔõôÄܵóö×îÏÂÃæµÈʽµÄÓÒ²à¶àÏîʽ£¿£¨ÆäÖУ¬¦Ë1+¦Ë2 =0£»x¡¢y¶¼´¦ÓÚÁãµÄ¾Ö²¿ÁÚÓòÄÚ£© Çó´óÉñ½â´ð£¬×îºÃÓÐÏêϸµÄ¼ÆËãÍÆµ¼¹ý³Ì¡£ ²åͼ1.jpg |
» ²ÂÄãϲ»¶
297¹¤¿Æµ÷¼Á?
ÒѾÓÐ15È˻ظ´
0854µ÷¼Á
ÒѾÓÐ15È˻ظ´
085404 22408 309·ÖÇóµ÷¼Á
ÒѾÓÐ9È˻ظ´
ҩѧ305Çóµ÷¼Á
ÒѾÓÐ7È˻ظ´
273Çóµ÷¼Á
ÒѾÓÐ7È˻ظ´
294Çóµ÷¼Á
ÒѾÓÐ3È˻ظ´
290µ÷¼ÁÉúÎï0860
ÒѾÓÐ42È˻ظ´
22408 312Çóµ÷¼Á
ÒѾÓÐ18È˻ظ´
µ÷¼ÁÇóÊÕÁô
ÒѾÓÐ35È˻ظ´
291·Öµ÷¼Á
ÒѾÓÐ10È˻ظ´














»Ø¸´´ËÂ¥
5