| ²é¿´: 1978 | »Ø¸´: 6 | ||
lchy666гæ (³õÈëÎÄ̳)
|
[ÇóÖú]
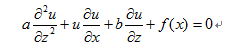
Ò»¸öÁ÷ÌåÁ¦Ñ§ÖеĶþ½×ƫ΢·Ö·½³ÌÇó½âÎÊÌâ ÒÑÓÐ1È˲ÎÓë
|
|
|
¸Ã·½³ÌÈçºÎÇó½â£¿ÆäÖÐu¶ÔzÆ«µ¼Ô¶Ô¶´óÓÚu¶ÔxÆ«µ¼£¬ÄÇôÄÜ·ñ°Ñu¶ÔxÆ«µ¼¿´³É³£Êý£¬×÷Ϊ¶þ½×ÏßÐÔ³£Î¢·Ö·½³ÌÇó½â£¿¸÷λ´óÏÀ¿ìÏÖÉí°É£¬±¾È˽öÓеÄ7.5½ð±Ò¶¼¸øÄãÁË ²¶»ñ.PNG |
» ²ÂÄãϲ»¶
293µ÷¼Á
ÒѾÓÐ3È˻ظ´
»úе¹¤³Ì264ѧ˶Çóµ÷¼Á
ÒѾÓÐ3È˻ظ´
264Çóµ÷¼Á
ÒѾÓÐ9È˻ظ´
Çóµ÷¼Á
ÒѾÓÐ6È˻ظ´
22408 266Çóµ÷¼Á
ÒѾÓÐ7È˻ظ´
Çóµ÷¼Á
ÒѾÓÐ14È˻ظ´
273Çóµ÷¼Á
ÒѾÓÐ43È˻ظ´
307Çóµ÷¼Á
ÒѾÓÐ13È˻ظ´
327Çóµ÷¼Á
ÒѾÓÐ7È˻ظ´
338Çóµ÷¼Á
ÒѾÓÐ6È˻ظ´
» ±¾Ö÷ÌâÏà¹Ø¼ÛÖµÌùÍÆ¼ö£¬¶ÔÄúͬÑùÓаïÖú:
ÎÞÁ¿¸Ù»¯µÄÎÊÌ⣬»ý·Ö·½³Ì
ÒѾÓÐ10È˻ظ´
ÊýÖµÇó½âÒ»¸ö¶þάµÄƫ΢·Ö·½³Ì
ÒѾÓÐ3È˻ظ´
ÇóÖú¶þ½×ƫ΢·Ö·½³ÌÇó½â
ÒѾÓÐ13È˻ظ´
¼±Çó¶þάÈÈ´«µ¼·½³ÌµÄ³ÌÐò£¡
ÒѾÓÐ4È˻ظ´
¹ØÓÚ¶þ½×ƫ΢·Ö·½³ÌÇó½â
ÒѾÓÐ21È˻ظ´
COMSOLÀýÌâ¿âÖУ¨shallow-water-equation£©Æ«Î¢·Ö·½³ÌÇó½âÎÊÌâ
ÒѾÓÐ3È˻ظ´
<¶þ½×ÏßÐÔÆ«Î¢·Ö·½³Ì>¿Î³Ì
ÒѾÓÐ5È˻ظ´
²¨¶¯·½³ÌµÄÓÐÏÞÔª·½³Ì
ÒѾÓÐ7È˻ظ´
Çó½âÕâÀà·½³Ì ÓÃʲôÈí¼þ±à³Ì½ÏºÃ¡¤¡¤¡¤¡¤
ÒѾÓÐ8È˻ظ´
Çó½âÒ»¸ö¶þ½×ƫ΢·Ö·½³Ì~~Óнá¹û£¬µ«ÊDz»ÖªµÀÖмä¹ý³Ì£¨ÍêÃÀ½â¾öÕß´ðл100£¤£©~
ÒѾÓÐ4È˻ظ´
Çó½ÌÕâ¸öÊÇʲôÀàÐÍµÄÆ«Î¢·Ö·½³Ì£¬Ó¦¸ÃÓÃʲô·½·¨À´Çó½â£¡
ÒѾÓÐ9È˻ظ´
Å×ÎïÐÍÆ«Î¢·Ö·½³ÌµÄÊýÖµ½âÇó½âÎÊÌ⣬лл£¡
ÒѾÓÐ14È˻ظ´
¸ÃÈçºÎÁÐȫƫ΢·Ö·½³Ì×éµÄ±ß½çÌõ¼þ£¿
ÒѾÓÐ14È˻ظ´
ÀûÓÃÓÐÏÞÔª·½·¨Çó½âMaxwell·½³Ì×é¡¢Á÷ÌåÁ¦Ñ§·½³ÌÒÔ¼°ÈÈ´«µ¼·½³ÌµÄÈí¼þ
ÒѾÓÐ10È˻ظ´
ƫ΢·Ö·½³ÌÊýÖµ¼ÆËãÊé¼®ÍÆ¼ö
ÒѾÓÐ10È˻ظ´
MatlabÇó½â¶þ½×ƫ΢·Ö·½³Ì×飬ϣÍûÄܸø³öÏàÓ¦µÄÇó½â´úÂë
ÒѾÓÐ10È˻ظ´
¡¾·ÖÏí²©ÎÄ¡¿CFD²¢·ÇÖ»ÊÇÈí¼þ£¨×ª×ÔÁ÷ɳ£©¡¾ÒÑËÑË÷ÎÞÖØ¸´¡¿
ÒѾÓÐ67È˻ظ´
Çë½ÌÓÃmatlabÇó½âÒ»¸ö·ÇÏßÐÔÆ«Î¢·Ö·½³Ì×éµÄÊýÖµ½â
ÒѾÓÐ8È˻ظ´
comsolÖÐÆ«Î¢·Ö·½³ÌÇó½â
ÒѾÓÐ3È˻ظ´
¡¾ÇóÖú¡¿ÇóÖúPDEPEº¯ÊýÇó½â¸ß½×ƫ΢·Ö·½³Ì £ºD
ÒѾÓÐ5È˻ظ´
¡¾ÇóÖú¡¿Çó½ÌÕâÖÖ΢·Ö·½³ÌµÄÏêϸÇó½â¹ý³Ì
ÒѾÓÐ14È˻ظ´
¡¾ÇóÖú¡¿ÓÐÏÞÔª·¨Çó½â¶þ½×ƫ΢·Ö·½³Ì×é
ÒѾÓÐ6È˻ظ´
¡¾×ÊÔ´¡¿Ò»±¾¹ØÓÚmathcadÓë³£,ƫ΢·Ö·½³ÌÇó½âµÄÊé
ÒѾÓÐ10È˻ظ´
oinkmasta
½ð³æ (СÓÐÃûÆø)
- Ó¦Öú: 56 (³õÖÐÉú)
- ½ð±Ò: 781.2
- ºì»¨: 4
- Ìû×Ó: 131
- ÔÚÏß: 49.3Сʱ
- ³æºÅ: 3311156
- ×¢²á: 2014-07-07
- ÐÔ±ð: GG
- רҵ: ½ðÊôÓлú»¯Ñ§

2Â¥2015-07-06 22:28:16
lchy666
гæ (³õÈëÎÄ̳)
- Ó¦Öú: 0 (Ó×¶ùÔ°)
- ½ð±Ò: 42
- Ìû×Ó: 9
- ÔÚÏß: 37Сʱ
- ³æºÅ: 3846774
- ×¢²á: 2015-05-03
- רҵ: ÄÚÁ÷Á÷ÌåÁ¦Ñ§
3Â¥2015-07-07 12:05:03
oinkmasta
½ð³æ (СÓÐÃûÆø)
- Ó¦Öú: 56 (³õÖÐÉú)
- ½ð±Ò: 781.2
- ºì»¨: 4
- Ìû×Ó: 131
- ÔÚÏß: 49.3Сʱ
- ³æºÅ: 3311156
- ×¢²á: 2014-07-07
- ÐÔ±ð: GG
- רҵ: ½ðÊôÓлú»¯Ñ§

4Â¥2015-07-07 13:35:00
lchy666
гæ (³õÈëÎÄ̳)
- Ó¦Öú: 0 (Ó×¶ùÔ°)
- ½ð±Ò: 42
- Ìû×Ó: 9
- ÔÚÏß: 37Сʱ
- ³æºÅ: 3846774
- ×¢²á: 2015-05-03
- רҵ: ÄÚÁ÷Á÷ÌåÁ¦Ñ§
5Â¥2015-07-07 13:56:46
oinkmasta
½ð³æ (СÓÐÃûÆø)
- Ó¦Öú: 56 (³õÖÐÉú)
- ½ð±Ò: 781.2
- ºì»¨: 4
- Ìû×Ó: 131
- ÔÚÏß: 49.3Сʱ
- ³æºÅ: 3311156
- ×¢²á: 2014-07-07
- ÐÔ±ð: GG
- רҵ: ½ðÊôÓлú»¯Ñ§
|
°Ñx×÷Ϊ²ÎÊýÂð£¿àÞ¶Ô£¬ÄǾͿÉÒÔµ±×÷³£Î¢·Ö·½³Ì½âÁË¡£ µ«ÎÒÏëµ½Óó£Î¢ÓÐÒ»¸öÎÊÌ⣺u¶ÔzÆ«µ¼²»»áÒ»Ö±Ô¶´óÓÚu¶ÔxÆ«µ¼£¬ÒòΪu¶ÔzÆ«µ¼¿ÉÄÜ»áÔÚÒ»Ð©ÇøÓòÇ÷½üÓÚ0. ±ÈÈç˵µ±a£¬b£¬f(x)¶¼´óÓÚ0ʱ£¬Õâ¸ö³£Î¢·Ö·½³ÌÃèÊöµÄÊÇÒ»¸öÊÜ×èÁ¦µÄ³£¹æµ¯»ÉÕñ×Ó£¬ËüµÄËÙ¶È×ÜÓо¹ý0µÄʱºò¡£ÕâʱÎÒÃÇÓõĽüËÆÊDz»³ÉÁ¢µÄ¡£ÈçÒª½â¾öÕâ¸öÎÊÌâ¿ÉÒÔ³¢ÊÔtwo timing¡£ Èç¹ûa£¬b£¬f(x)ÊÇÔÚÆäËûÇø¼ä£¬±ÈÈçÐγÉÒ»¸öËÙÂÊ×ÜÊÇ×ã¹»´óµÄ·Ç³£¹æÕñ×Ó£¬ÔòÒÔÉϽüËÆ»¹ÊÇ¿ÉÒÔһֱʹÓõġ£ |

6Â¥2015-07-08 04:26:59
lchy666
гæ (³õÈëÎÄ̳)
- Ó¦Öú: 0 (Ó×¶ùÔ°)
- ½ð±Ò: 42
- Ìû×Ó: 9
- ÔÚÏß: 37Сʱ
- ³æºÅ: 3846774
- ×¢²á: 2015-05-03
- רҵ: ÄÚÁ÷Á÷ÌåÁ¦Ñ§
7Â¥2015-07-08 12:01:06














»Ø¸´´ËÂ¥
100