| ²é¿´: 1517 | »Ø¸´: 9 | ||
franchbachͳæ (³õÈëÎÄ̳)
|
[ÇóÖú]
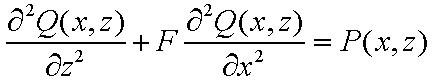
Çó½ÌÕâ¸öÊÇʲôÀàÐÍµÄÆ«Î¢·Ö·½³Ì£¬Ó¦¸ÃÓÃʲô·½·¨À´Çó½â£¡
|
|
×¢£ºFΪ³£Êý£¬PΪÒÑÖªº¯Êý£¬ÒÑÖª¾ßÌåÖµ¡£ ×îºÃÓÐÏêϸµÄÀëÉ¢½â·¨¡£Çó°ïÖú£¬Ð»Ð»£¡£¡£¡ [ Last edited by franchbach on 2013-2-5 at 15:08 ] |
» ²ÂÄãϲ»¶
269Çóµ÷¼Á
ÒѾÓÐ8È˻ظ´
343Çóµ÷¼Á
ÒѾÓÐ8È˻ظ´
297Çóµ÷¼Á
ÒѾÓÐ13È˻ظ´
303Çóµ÷¼Á
ÒѾÓÐ10È˻ظ´
0854µ÷¼Á
ÒѾÓÐ5È˻ظ´
295·ÖÇóµ÷¼Á
ÒѾÓÐ9È˻ظ´
290Çóµ÷¼Á
ÒѾÓÐ8È˻ظ´
»¯¹¤µ÷¼ÁÇóµ¼Ê¦ÊÕÁô£¡Ò»Ö¾Ô¸Ê§Àû£¬Ì¤Êµ¿Ï¸É£¬ÓÐÖ²ÎïÌáÈ¡¿ÆÑоÀú
ÒѾÓÐ18È˻ظ´
085600²ÄÁÏÓ뻯¹¤329·ÖÇóµ÷¼Á
ÒѾÓÐ15È˻ظ´
272·Ö²ÄÁÏ×ÓÇóµ÷¼Á
ÒѾÓÐ39È˻ظ´
» ±¾Ö÷ÌâÏà¹Ø¼ÛÖµÌùÍÆ¼ö£¬¶ÔÄúͬÑùÓаïÖú:
ÊýѧÎïÀí·½³ÌÇó½â£¡£¨´ø±ß½çÌõ¼þµÄƫ΢·Ö·½³Ì£©
ÒѾÓÐ13È˻ظ´
ÀûÓÃÓÐÏÞÔª·½·¨Çó½âMaxwell·½³Ì×é¡¢Á÷ÌåÁ¦Ñ§·½³ÌÒÔ¼°ÈÈ´«µ¼·½³ÌµÄÈí¼þ
ÒѾÓÐ10È˻ظ´
ÄÄЩÊéÀïÃæÓн²½â¹ØÓÚº¬Óлý·Ö·½³ÌµÄδ֪ÊýÇó½âÎÊÌâ°¡£¿·Ç³£¸Ðл£¡
ÒѾÓÐ9È˻ظ´
comsol¿ÉÖ±½ÓÇó½â¸ß½×ƫ΢·Ö·½³ÌÂð£¿
ÒѾÓÐ3È˻ظ´
FLUENTÖÐñîºÏÇó½âÁ½¸ö±êÁ¿·½³Ì£¬ÇóÖ¸µã...
ÒѾÓÐ5È˻ظ´
Çë´ó¼Ò°ïÎÒ¿´¿´ÕâÑù¸´Ôӵķ½³Ì×éÓÃʲô·½·¨Çó½â±È½ÏºÃ£¿
ÒѾÓÐ3È˻ظ´
¼±ÇÐÇóÖú£¡Ò»¸ömathematicaÇó½âÒ»¸ö¼òµ¥Ò»Ôª·ÇÏßÐÔ·½³ÌµÄÎÊÌâ
ÒѾÓÐ4È˻ظ´
Çë½Ì¼ÆËãÊýѧµÄ¸ßÊÖÃÇ£¬½âÏ¡Êè¶Ô³Æ¸´ÏßÐÔ·½³Ì×éÒ»°ãÓÃʲô·½·¨ÄÜ¿ìËÙÇó½âÄØ£¿
ÒѾÓÐ4È˻ظ´
matlabµÄfsove ÃüÁîÇó½â·ÇÏßÐÔ·½³Ì×é
ÒѾÓÐ6È˻ظ´
¡¾ÇóÖú¡¿Ïò¸÷λ´óÏÀÇóÖúmatlabÇó½â΢·Ö·½³Ì×éÓöµ½µÄÒ»¸öÎÊÌâ
ÒѾÓÐ21È˻ظ´
¡¾ÇóÖú¡¿MATLAB ÓÐÏÞ²î·Ö·¨£¨FDM£©Çó½âƫ΢·Ö·½³Ì
ÒѾÓÐ22È˻ظ´
¡¾ÇóÖú¡¿»ý·Ö΢·Ö·½³ÌmatlabÇó½â
ÒѾÓÐ6È˻ظ´
¡¾ÇóÖú¡¿ÈçºÎÇó½âÏÂÁÐÆ«Î¢·Ö·½³Ì
ÒѾÓÐ13È˻ظ´
¡¾ÇóÖú¡¿matlabÔõôÇó½âƫ΢·Ö·½³Ì×é°¡£¬ÏÈллÁË
ÒѾÓÐ13È˻ظ´
¡¾ÇóÖú¡¿Çó½ÌÕâÖÖ΢·Ö·½³ÌµÄÏêϸÇó½â¹ý³Ì
ÒѾÓÐ14È˻ظ´
¡¾ÇóÖú¡¿ÓÐÏÞÔª·¨Çó½â¶þ½×ƫ΢·Ö·½³Ì×é
ÒѾÓÐ6È˻ظ´
¡¾ÇóÖú¡¿Çó½â·ÇÏßÐÔ·½³Ì
ÒѾÓÐ8È˻ظ´

cgq88
ÖÁ×ðľ³æ (ÖªÃû×÷¼Ò)
- Ó¦Öú: 36 (СѧÉú)
- ½ð±Ò: 22737.5
- É¢½ð: 4
- ºì»¨: 5
- Ìû×Ó: 5409
- ÔÚÏß: 153.6Сʱ
- ³æºÅ: 1521991
- ×¢²á: 2011-12-03
- ÐÔ±ð: GG
- רҵ: ¹ÌÌåÎÞ»ú»¯Ñ§
2Â¥2013-02-05 15:43:19
quby7503
Òø³æ (ÖøÃûдÊÖ)
- Ó¦Öú: 7 (Ó×¶ùÔ°)
- ½ð±Ò: 485.7
- É¢½ð: 3713
- ºì»¨: 15
- Ìû×Ó: 1488
- ÔÚÏß: 263.7Сʱ
- ³æºÅ: 638688
- ×¢²á: 2008-10-28
- ÐÔ±ð: GG
- רҵ: Äý¾Û̬ÎïÐÔI:½á¹¹¡¢Á¦Ñ§ºÍ
3Â¥2013-02-05 15:50:28
vect
ÖÁ×ðľ³æ (ÖøÃûдÊÖ)
- Ó¦Öú: 171 (¸ßÖÐÉú)
- ½ð±Ò: 18942.5
- É¢½ð: 31
- ºì»¨: 19
- Ìû×Ó: 2033
- ÔÚÏß: 938.3Сʱ
- ³æºÅ: 545022
- ×¢²á: 2008-04-13
- ÐÔ±ð: GG
- רҵ: Êýѧ
4Â¥2013-02-05 19:12:12
franchbach
ͳæ (³õÈëÎÄ̳)
- Ó¦Öú: 3 (Ó×¶ùÔ°)
- ½ð±Ò: 92.4
- Ìû×Ó: 43
- ÔÚÏß: 10.5Сʱ
- ³æºÅ: 1691124
- ×¢²á: 2012-03-14
- רҵ: Ó¦ÓõØÇòÎïÀíѧ

5Â¥2013-02-05 21:50:04
franchbach
ͳæ (³õÈëÎÄ̳)
- Ó¦Öú: 3 (Ó×¶ùÔ°)
- ½ð±Ò: 92.4
- Ìû×Ó: 43
- ÔÚÏß: 10.5Сʱ
- ³æºÅ: 1691124
- ×¢²á: 2012-03-14
- רҵ: Ó¦ÓõØÇòÎïÀíѧ

6Â¥2013-02-05 21:51:44
vect
ÖÁ×ðľ³æ (ÖøÃûдÊÖ)
- Ó¦Öú: 171 (¸ßÖÐÉú)
- ½ð±Ò: 18942.5
- É¢½ð: 31
- ºì»¨: 19
- Ìû×Ó: 2033
- ÔÚÏß: 938.3Сʱ
- ³æºÅ: 545022
- ×¢²á: 2008-04-13
- ÐÔ±ð: GG
- רҵ: Êýѧ
|
¶Ô×Ô±äÁ¿x×÷»»Ôªx=x'/sqrt(F),¿ÉÒÔ»¯³É±ê×¼µÄÐÎʽ |
» ±¾ÌûÒÑ»ñµÃµÄºì»¨£¨×îÐÂ10¶ä£©
7Â¥2013-02-05 22:00:37
jiahl
½ð³æ (СÓÐÃûÆø)
- ÊýѧEPI: 4
- Ó¦Öú: 4 (Ó×¶ùÔ°)
- ½ð±Ò: 1153
- É¢½ð: 102
- Ìû×Ó: 229
- ÔÚÏß: 57.1Сʱ
- ³æºÅ: 478641
- ×¢²á: 2007-12-14
- רҵ: ƫ΢·Ö·½³Ì

8Â¥2013-02-06 14:33:30
iamsad
ÖÁ×ðľ³æ (ÖøÃûдÊÖ)
- Ó¦Öú: 41 (СѧÉú)
- ½ð±Ò: 12528
- ºì»¨: 28
- Ìû×Ó: 1503
- ÔÚÏß: 143.9Сʱ
- ³æºÅ: 192070
- ×¢²á: 2006-02-21
- ÐÔ±ð: GG
- רҵ: ÎïÀí»¯Ñ§
9Â¥2013-02-06 23:56:01
franchbach
ͳæ (³õÈëÎÄ̳)
- Ó¦Öú: 3 (Ó×¶ùÔ°)
- ½ð±Ò: 92.4
- Ìû×Ó: 43
- ÔÚÏß: 10.5Сʱ
- ³æºÅ: 1691124
- ×¢²á: 2012-03-14
- רҵ: Ó¦ÓõØÇòÎïÀíѧ

10Â¥2013-02-07 00:05:12













»Ø¸´´ËÂ¥
franchbach