| 查看: 1955 | 回复: 8 | |||
[交流]
求解这类方程 用什么软件编程较好···· 已有4人参与
|
|
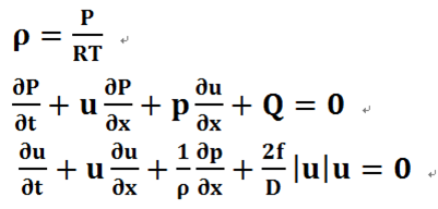
这是一个关于列车空气制动管道的模型,为一维模型,其中空气密度ρ 压力P,速度u是空间坐标x和时间t的函数,其他摩擦系数f 管道直径D为,以及泄漏量Q/R/T为常数 方程如下:这应该算是一个N-S方程组吧···我在论坛里看到有人建议用fortrain编程解决N-S方程组,我目前在学matlab编程,不知道fortrain解这类方程组是不是会稍微简单点 图片1.png |
» 猜你喜欢
调剂
已经有6人回复
一志愿 江南大学 085602 化工专硕 338分求调剂
已经有12人回复
材料专硕(0856) 339分求调剂
已经有8人回复
377求调剂
已经有5人回复
0703调剂,一志愿天津大学319分
已经有6人回复
一志愿南昌大学,085600,344分求调剂
已经有5人回复
308求调剂
已经有8人回复
找调剂
已经有9人回复
一志愿郑州大学085600求调剂
已经有12人回复
316求调剂
已经有3人回复
» 本主题相关价值贴推荐,对您同样有帮助:
数值求解N-S方程一般用什么编程啊???
已经有9人回复
uds方程中二阶导数边界条件,编程如下,运行时总是出错,求指导,谢谢
已经有6人回复
利用有限元方法求解Maxwell方程组、流体力学方程以及热传导方程的软件
已经有10人回复
分数阶微分方程的求解(用差分法,matlab编程求解)
已经有9人回复
如何用matlab求解矩阵系数的二阶微分方程
已经有13人回复
使用fsolve求解非线性方程问题
已经有9人回复
FLUENT中耦合求解两个标量方程,求指点...
已经有5人回复
各位朋友,如何用matlab编写这个方程,并求解?
已经有15人回复
[原创]在Origin8.6 中用作图法求解超越方程
已经有45人回复
matlab数值求解边界条件微分方程组
已经有7人回复
MATLAB 编程求解普通实验数据时间序列的最大李雅普诺夫指数!!!
已经有12人回复
matlab的fsove 命令求解非线性方程组
已经有6人回复
【求助】matlab 求解微分方程中的未知参数
已经有20人回复
【求助】用pdepe求解偏微分方程
已经有10人回复
【求助】MATLAB 有限差分法(FDM)求解偏微分方程
已经有22人回复
【求助】积分微分方程matlab求解
已经有6人回复
【讨论】我收集到的状态方程编程
已经有7人回复
【求助】有限元法求解二阶偏微分方程组
已经有6人回复
【求助】求解非线性方程
已经有8人回复
369992805
金虫 (初入文坛)
- 应助: 4 (幼儿园)
- 金币: 1138.6
- 帖子: 48
- 在线: 71.6小时
- 虫号: 1322375
- 注册: 2011-06-13
- 性别: GG
- 专业: 化学反应工程
2楼2013-05-03 00:09:02
3楼2013-05-03 09:11:58
4楼2013-05-03 09:56:32
369992805
金虫 (初入文坛)
- 应助: 4 (幼儿园)
- 金币: 1138.6
- 帖子: 48
- 在线: 71.6小时
- 虫号: 1322375
- 注册: 2011-06-13
- 性别: GG
- 专业: 化学反应工程
5楼2013-05-03 21:16:50
sunqingtao
铜虫 (小有名气)
- 应助: 0 (幼儿园)
- 金币: 216.1
- 散金: 11
- 帖子: 128
- 在线: 22.8小时
- 虫号: 536144
- 注册: 2008-03-30
- 性别: MM
- 专业: 化工系统工程

6楼2013-05-03 22:05:05
369992805
金虫 (初入文坛)
- 应助: 4 (幼儿园)
- 金币: 1138.6
- 帖子: 48
- 在线: 71.6小时
- 虫号: 1322375
- 注册: 2011-06-13
- 性别: GG
- 专业: 化学反应工程
7楼2013-05-06 17:20:20
8楼2013-05-13 19:46:22
369992805
金虫 (初入文坛)
- 应助: 4 (幼儿园)
- 金币: 1138.6
- 帖子: 48
- 在线: 71.6小时
- 虫号: 1322375
- 注册: 2011-06-13
- 性别: GG
- 专业: 化学反应工程
9楼2013-05-13 23:39:05














回复此楼