24СʱÈÈÃŰæ¿éÅÅÐаñ    

Znn3bq.jpeg
ÉÇÍ·´óѧº£Ñó¿ÆÑ§½ÓÊܵ÷¼Á
²é¿´: 2340  |  »Ø¸´: 2

mrrabbitsir

¾èÖú¹ó±ö (СÓÐÃûÆø)

[ÇóÖú] ¹þÃܶÙËã×ÓµÄÒ»¸öÖ¤Ã÷ ÒÑÓÐ2È˲ÎÓë

ÇóÖ¤
»Ø¸´´ËÂ¥

» ²ÂÄãϲ»¶

» ±¾Ö÷ÌâÏà¹Ø¼ÛÖµÌùÍÆ¼ö£¬¶ÔÄúͬÑùÓаïÖú:

ÒÑÔÄ   »Ø¸´´ËÂ¥   ¹Ø×¢TA ¸øTA·¢ÏûÏ¢ ËÍTAºì»¨ TAµÄ»ØÌû

pippi6

Ìú¸Ëľ³æ (ÖøÃûдÊÖ)

¹¤³ÌºÍ¿ÆÑ§ÊýÖµ¼ÆËã×Éѯ

¡¾´ð°¸¡¿Ó¦Öú»ØÌû

¡ï ¡ï ¡ï ¡ï ¡ï
¸Ðл²ÎÓ룬ӦÖúÖ¸Êý +1
mrrabbitsir: ½ð±Ò+5, ¡ï¡ï¡ï¡ï¡ï×î¼Ñ´ð°¸ 2015-04-02 02:04:38
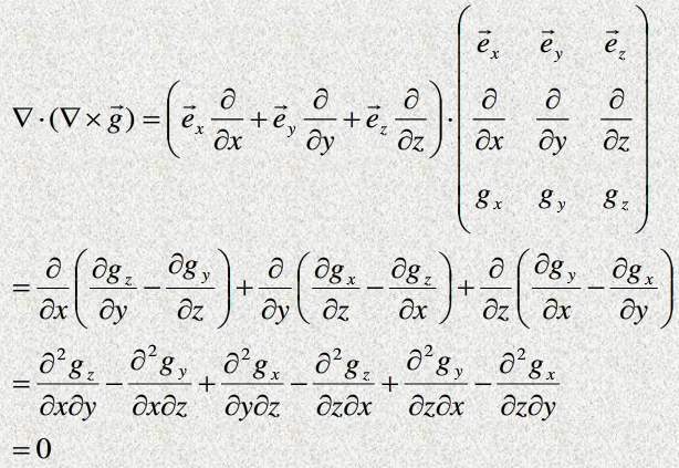
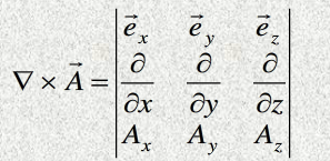
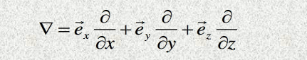
ÎÒÃÇÖ»ÔÚCartesian¿ò¼ÜÏÂ×ö£¬µ«½áÂÛÊÇÆÕÊʵġ£
¹þÃܶÙËã×ÓµÄÒ»¸öÖ¤Ã÷
¿ìÕÕ3.jpg

2Â¥2015-04-01 19:46:39
ÒÑÔÄ   »Ø¸´´ËÂ¥   ¹Ø×¢TA ¸øTA·¢ÏûÏ¢ ËÍTAºì»¨ TAµÄ»ØÌû

ÖÕ̫֮µ¶¡ªÏþ

Ìú¸Ëľ³æ (ÖøÃûдÊÖ)

Êýѧ°®ºÃÕß

¡¾´ð°¸¡¿Ó¦Öú»ØÌû

¸Ðл²ÎÓ룬ӦÖúÖ¸Êý +1
ÏÂÃæ²»ÓÃÕÅÁ¿µÄ¼ÇºÅ½øÐÐÍÆµ¼¡£RT:
¹þÃܶÙËã×ÓµÄÒ»¸öÖ¤Ã÷-1
1.png


¹þÃܶÙËã×ÓµÄÒ»¸öÖ¤Ã÷-2
2.png


¹þÃܶÙËã×ÓµÄÒ»¸öÖ¤Ã÷-3
3.png

PreferenceforMathematics
3Â¥2015-04-02 01:44:34
ÒÑÔÄ   »Ø¸´´ËÂ¥   ¹Ø×¢TA ¸øTA·¢ÏûÏ¢ ËÍTAºì»¨ TAµÄ»ØÌû
Ïà¹Ø°æ¿éÌø×ª ÎÒÒª¶©ÔÄÂ¥Ö÷ mrrabbitsir µÄÖ÷Ìâ¸üÐÂ
×î¾ßÈËÆøÈÈÌûÍÆ¼ö [²é¿´È«²¿] ×÷Õß »Ø/¿´ ×îºó·¢±í
[¿¼ÑÐ] ¸÷λÀÏʦºÃ£¬Çóµ÷¼Á£¬±¾¿Æ211£¬Ò»Ö¾Ô¸Ìì½ò´óѧÉúÎïÓëҽҩѧ˶£¬²îÁ½Ãû¼ȡ¡£ +9 ·ÁùÁùjjj 2026-04-13 9/450 2026-04-13 22:49 by pies112
[¿¼ÑÐ] »¯Ñ§070300 Çóµ÷¼Á +21 ¹þ¹þ¹þ^_^ 2026-04-12 21/1050 2026-04-13 21:36 by nxybio2007
[¿¼ÑÐ] 302Çóµ÷¼Á +10 Ò×£¡? 2026-04-13 10/500 2026-04-13 19:04 by lbsjt
[¿¼ÑÐ] Ò»Ö¾Ô¸»¦9£¬326ÇóÉúÎïѧµ÷¼Á +9 Áõīī 2026-04-13 9/450 2026-04-13 18:59 by lbsjt
[¿¼ÑÐ] Ò»Ö¾Ô¸211 0703»¯Ñ§ 346·ÖÇóµ÷¼Á +26 ÍÁ¶¹er? 2026-04-09 29/1450 2026-04-13 15:15 by ¶À×íÃι³Ç
[¿¼ÑÐ] »¯¹¤Ñ§Ë¶ 285Çóµ÷¼Á +29 Wisjxn 2026-04-07 29/1450 2026-04-13 13:47 by floriea
[¿¼ÑÐ] 366Çóµ÷¼Á +9 ²»ÖªÃûµÄСئ 2026-04-11 9/450 2026-04-13 01:19 by ÐÒÃâ ..
[¿¼ÑÐ] µ÷¼Á +6 ÇàµÆ²»¸º 2026-04-09 6/300 2026-04-11 20:35 by dongdian1
[¿¼ÑÐ] 359Çóµ÷¼Á +5 θ¾·ÂÎÀÛÁË 2026-04-11 5/250 2026-04-11 19:55 by lbsjt
[¿¼ÑÐ] 0854µ÷¼Á +4 ³¤¹­°Á 2026-04-09 4/200 2026-04-11 09:18 by Öí»á·É
[¿¼ÑÐ] ÉúÎïѧ308Çóµ÷¼Á£¨Ò»Ö¾Ô¸»ª¶«Ê¦´ó£© +6 ÏàÐűػá¹ââÍòÕ 2026-04-10 6/300 2026-04-11 05:23 by zhuwenxu
[¿¼ÑÐ] 263ÄÜÔ´¶¯Á¦×¨Ë¶Çóµ÷¼Á +4 ¼Ó´óºÅ·¹ºÐ´ü 2026-04-10 4/200 2026-04-10 20:52 by gong120082
[¿¼ÑÐ] 265Çóµ÷¼Á +12 ·ç˵ËýÔçÍüÁË 2026-04-10 13/650 2026-04-10 18:56 by chemisry
[¿¼ÑÐ] 285Çóµ÷¼Á +9 AZMK 2026-04-07 11/550 2026-04-10 15:24 by AZMK
[¿¼ÑÐ] 282£¬µçÆø¹¤³Ìרҵ£¬Çóµ÷¼Á£¬²»Ìôרҵ +9 jggshjkkm 2026-04-10 9/450 2026-04-10 14:55 by ÄæË®³Ë·ç
[¿¼ÑÐ] Ò»Ö¾Ô¸»¦9£¬326ÉúÎïѧÇóÏà¹Ø×¨Òµµ÷¼Á +4 Áõīī 2026-04-09 4/200 2026-04-10 12:07 by pengliang8036
[¿¼ÑÐ] Çൺ¿Æ¼¼´óѧ²ÄÁÏѧԺ£¬»·¾³Ñ§Ôºµ÷¼Á²¹Â¼4ÔÂ10ÈÕÒÔǰ¶¼¿ÉÒÔ +3 1Çà¿Æ´ó¡£ 2026-04-09 5/250 2026-04-10 09:58 by ôæôæÒ»ÊéÉú
[¿¼ÑÐ] 263·ÖBÇøÇóµ÷¼Á +6 Àînihao 2026-04-08 6/300 2026-04-08 09:38 by ÄÏ¿ªÐ¡ôë
[¿¼ÑÐ] 313Çóµ÷¼Á +3 Ê®Áùʰ½ 2026-04-07 3/150 2026-04-07 23:20 by lbsjt
[¿¼ÑÐ] 307Çóµ÷¼Á +3 Youth@@ 2026-04-07 3/150 2026-04-07 09:25 by СºÚ²»ÅÂÄÑ
ÐÅÏ¢Ìáʾ
ÇëÌî´¦ÀíÒâ¼û