| ²é¿´: 949 | »Ø¸´: 4 | ||
Charlie_Liгæ (³õÈëÎÄ̳)
|
[ÇóÖú]
Ò»¸öÊýѧ²»µÈʽµÄÖ¤Ã÷Ì⣬Çó½»Á÷ ÒÑÓÐ1È˲ÎÓë
|
|
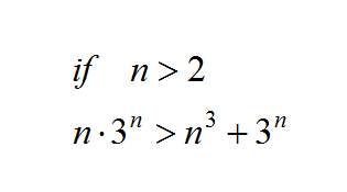
ÎÒÒѾÄÜÓÃÈý´ÎÇ󵼵õ½´ð°¸£¬µ«ÊÇÏÖÔÚÓøü¼òµ¥µÄ·½·¨È¥×ö£¬±ÈÈçÊýѧ¹éÄÉ·¨Äܲ»ÄÜÐС£ ÌâÄ¿£ºn*3^n>n^3+3^n µ±ÇÒ½öµ±n>1ʱ³ÉÁ¢ ͼ.jpg |
» ²ÂÄãϲ»¶
±¾ÈË¿¼085602 »¯Ñ§¹¤³Ì ר˶
ÒѾÓÐ23È˻ظ´
Çóµ÷¼ÁԺУÐÅÏ¢
ÒѾÓÐ4È˻ظ´
085600²ÄÁÏÓ뻯¹¤306
ÒѾÓÐ4È˻ظ´
286Çóµ÷¼Á
ÒѾÓÐ10È˻ظ´
328Çóµ÷¼Á£¬Ó¢ÓïÁù¼¶551£¬ÓпÆÑоÀú
ÒѾÓÐ9È˻ظ´
Ò»Ö¾Ô¸±±¾©»¯¹¤´óѧ070300 ѧ˶336Çóµ÷¼Á
ÒѾÓÐ4È˻ظ´
286·ÖÈ˹¤ÖÇÄÜרҵÇëÇóµ÷¼ÁÔ¸Òâ¿ç¿¼£¡
ÒѾÓÐ8È˻ظ´
×ÊÔ´Óë»·¾³ µ÷¼ÁÉêÇë(333·Ö)
ÒѾÓÐ5È˻ظ´
280Çóµ÷¼Á
ÒѾÓÐ12È˻ظ´
269ר˶Çóµ÷¼Á
ÒѾÓÐ5È˻ظ´
» ±¾Ö÷ÌâÏà¹Ø¼ÛÖµÌùÍÆ¼ö£¬¶ÔÄúͬÑùÓаïÖú:
Êýѧ½¨Ä£×÷Òµ£ºÍ¨ÐÅÍøÂçµÄÉè¼ÆÎÊÌ⣡ÎÞ˼·£¬Çó¸÷λ´óÉñ½»Á÷ÏÂ˼·£¡
ÒѾÓÐ7È˻ظ´
Çó²»µÈʽ·½³ÌµÄ½â·¨
ÒѾÓÐ11È˻ظ´
ÕâÁ½¸ö²»µÈʽÊÇÏ໥ÅųâµÄÔ¼ÊøÌõ¼þÂð£¿
ÒѾÓÐ5È˻ظ´
ÇóÖú£ºÔõô֤Ã÷Õâ¸öÊýѧʽ×Ó£¿£¿
ÒѾÓÐ6È˻ظ´
ÇóÒ»¸ö²»µÈʽµÄµÄ½âÌâ·½·¨£¨³õÒ»£©
ÒѾÓÐ11È˻ظ´
Ò»¸ö¸´Êý²»µÈʽ
ÒѾÓÐ19È˻ظ´
Çó½ÌÒ»¸ö¹ØÓÚ²»µÈʽµÄÎÊÌâ!
ÒѾÓÐ5È˻ظ´
Çó±ä·Ö²»µÈʽµÄÈëÃÅ×ÊÁÏ~
ÒѾÓÐ4È˻ظ´
¼±£¡ÇóÖ¤»ý·Ö²»µÈʽ£¬ÓëÕý̬·Ö²¼Ïà¹Ø
ÒѾÓÐ5È˻ظ´
ÔÙ´ÎÇóÖúÏòÁ¿¿Õ¼äάÊýµÄÒ»¸ö²»µÈʽ֤Ã÷ Ö¤ÁËÒ»¸öÊî¼ÙÁË
ÒѾÓÐ13È˻ظ´
Çë½ÌÊýѧ´óÉñ°ïÖú£¬ÇóÊýÑ§ÍÆµ¼¼°¾ØÕó²»µÈʽ·½ÃæµÄ¸ßÊ־ȼ±
ÒѾÓÐ8È˻ظ´
¾ØÕó¼°Æä×Ó¾ØÕóµÄÆæÒìÖµÖ®¼äµÄ²»µÈʽ»òÕßµÈʽ¹ØÏµ
ÒѾÓÐ9È˻ظ´
¸ßµÈÊýѧ²»µÈʽ֤Ã÷
ÒѾÓÐ6È˻ظ´
ÇóÖú£ºÖ¤Ã÷Ò»¸öÓë×ÔÈ»¶ÔÊýÓйصIJ»µÈʽ¡£100½ð±Ò¸Ðл£¡
ÒѾÓÐ3È˻ظ´
ÇóÖúÒ»¸öÏòÁ¿·¶ÊýµÄ²»µÈʽÎÊÌâ!
ÒѾÓÐ3È˻ظ´
Çóµ¼Êý²»µÈʽºÍ»ý·Ö²»µÈʽµÄÖ¤Ã÷·½·¨
ÒѾÓÐ8È˻ظ´
Ò»¸ö¸´¾ØÕó²»µÈʽµÄÖ¤Ã÷
ÒѾÓÐ6È˻ظ´
ÇóÖúÊ®µÀ²»µÈʽÌ⣬ÄÜ×ö¶àÉÙÊǶàÉÙ
ÒѾÓÐ16È˻ظ´
¡¾ÇóÖú¡¿Ò»¸öº¬²»µÈÊ½Ô¼ÊøµÄ±ä·ÖÎÊÌ⣡
ÒѾÓÐ6È˻ظ´
¡¾ÇóÖú¡¿ÇóÒ»¸öÈý´Î²»µÈʽ×îСֵ
ÒѾÓÐ8È˻ظ´
Charlie_Li
гæ (³õÈëÎÄ̳)
- Ó¦Öú: 0 (Ó×¶ùÔ°)
- ½ð±Ò: 28.6
- Ìû×Ó: 26
- ÔÚÏß: 6.5Сʱ
- ³æºÅ: 3241237
- ×¢²á: 2014-05-29
- רҵ: Ô˳ïѧ
2Â¥2014-10-25 09:24:45
hank612
ÖÁ×ðľ³æ (ÖøÃûдÊÖ)
- ÊýѧEPI: 14
- Ó¦Öú: 225 (´óѧÉú)
- ½ð±Ò: 14270.6
- É¢½ð: 1055
- ºì»¨: 95
- Ìû×Ó: 1526
- ÔÚÏß: 1375.8Сʱ
- ³æºÅ: 2530333
- ×¢²á: 2013-07-03
- ÐÔ±ð: GG
- רҵ: ÀíÂۺͼÆË㻯ѧ

3Â¥2014-10-25 09:36:28
ayismas
ľ³æ (ÕýʽдÊÖ)
- Ó¦Öú: 34 (СѧÉú)
- ½ð±Ò: 2776.3
- É¢½ð: 960
- ºì»¨: 8
- Ìû×Ó: 641
- ÔÚÏß: 355.3Сʱ
- ³æºÅ: 2564908
- ×¢²á: 2013-07-25
- ÐÔ±ð: GG
- רҵ: ÊýÀíͳ¼Æ
¡¾´ð°¸¡¿Ó¦Öú»ØÌû
¸Ðл²ÎÓ룬ӦÖúÖ¸Êý +1
|
´ËÌâÓÃÊýѧ¹éÄÉ·¨·Ç³£ÈÝÒ×Ö¤Ã÷£¨²»Óõ¼ÊýµÄÏà¹ØÖªÊ¶£©£¬Ö¤Ã÷²½ÖèÈçÏ£º µÚÒ»²½£ºÖ¤Ã÷¶ÔÓÚÈÎÒâµÄn¡Ý3,3^n¡Ýn^3³ÉÁ¢ Êýѧ¹éÄÉ·¨£º Ã÷ÏÔÉÏÃæ²»µÈʽ¶Ôn=3ʱ³ÉÁ¢ ¼ÙÉèµ±n=k(k¡Ý3)ʱÒà³ÉÁ¢£¬¼´3^k-k^3¡Ý0 µ±n=k+1ʱ£¬ 3^(k+1)-(¡¼k+1)¡½^3¡Ý3^(k+1)-(k+k/3)^3 (k¡Ý3) ¡¼ =3¡½^(k+1)-64/27 k^3 ¡Ý3^(k+1)-3k^3 =3(3^k-k^3 )¡Ý0 Òò´ËÃüÌâµÃÖ¤ ÏÂÃæÖ¤Ã÷¶ÔÓÚÈÎÒâµÄn¡Ý2,n3^n>n^3+3^nºã³ÉÁ¢ Êýѧ¹éÄÉ·¨Ö¤Ã÷ÈçÏ£º ¼ÆËãÒ×Öªµ±n=2,3ʱ£¬²»µÈʽ³ÉÁ¢ ¼ÙÉèµ±n=k(k¡Ý3)ʱ£¬²»µÈʽÒà³ÉÁ¢£¬¼´(k-1) 3^k-k^3>0 µ±n=k+1ʱ£¬ k3^(k+1)-(k+1)^3 >3^(k+1)-(k+1)^3 ¡Ý0 Òò´ËÃüÌâµÃÖ¤ ¼´£º¶ÔÓÚÈÎÒâµÄn>1,n3^n>n^3+3^nºã³ÉÁ¢ |
4Â¥2014-10-25 13:34:08
ayismas
ľ³æ (ÕýʽдÊÖ)
- Ó¦Öú: 34 (СѧÉú)
- ½ð±Ò: 2776.3
- É¢½ð: 960
- ºì»¨: 8
- Ìû×Ó: 641
- ÔÚÏß: 355.3Сʱ
- ³æºÅ: 2564908
- ×¢²á: 2013-07-25
- ÐÔ±ð: GG
- רҵ: ÊýÀíͳ¼Æ
¡¾´ð°¸¡¿Ó¦Öú»ØÌû
¡ï ¡ï ¡ï ¡ï ¡ï
Charlie_Li: ½ð±Ò+5, ¡ï¡ï¡ï¡ï¡ï×î¼Ñ´ð°¸, good 2014-10-25 19:59:17
Charlie_Li: ½ð±Ò+5, ¡ï¡ï¡ï¡ï¡ï×î¼Ñ´ð°¸, good 2014-10-25 19:59:17
5Â¥2014-10-25 13:38:53













»Ø¸´´ËÂ¥
40