| ²é¿´: 1906 | »Ø¸´: 16 | ||
wd_xmcÌú³æ (³õÈëÎÄ̳)
|
[ÇóÖú]
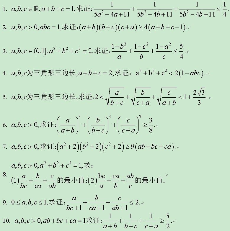
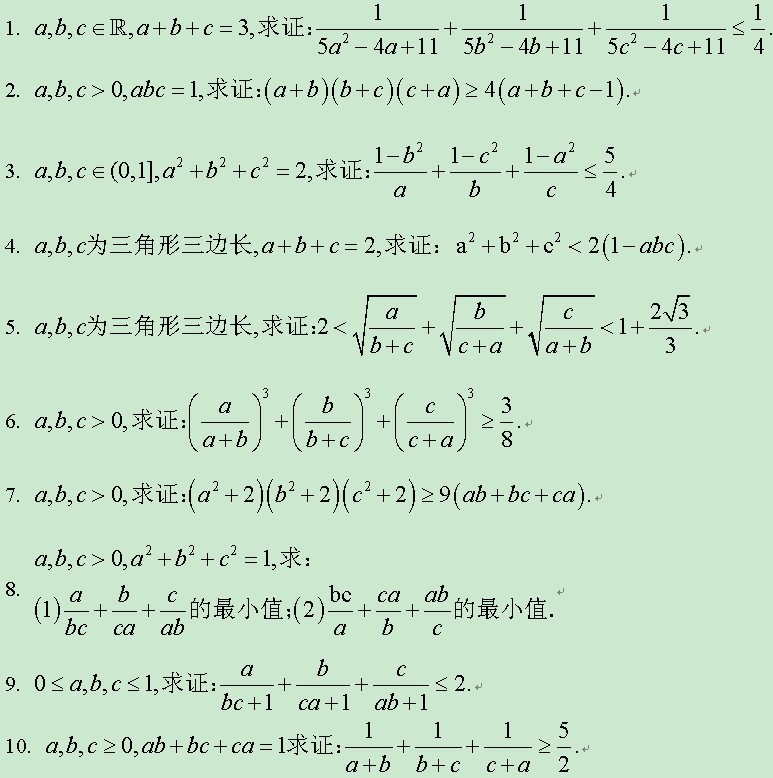
ÇóÖúÊ®µÀ²»µÈʽÌ⣬ÄÜ×ö¶àÉÙÊǶàÉÙ
|
|
|
|
||
qinshanlin½ð³æ (ÕýʽдÊÖ)
|
¡¾´ð°¸¡¿Ó¦Öú»ØÌû
¡ï
soliton923(½ð±Ò+1): лл²ÎÓ룬ҪÊÇÄÜÏêϸ¸ø³öÐÅÏ¢¾Í¸üºÃÁË~~~ 2011-05-02 22:02:03 wd_xmc(½ð±Ò+5): 2011-05-04 16:29:09
|
|
|
2Â¥2011-05-02 21:05:38
|
|
|
zjuzxr½ð³æ (ÕýʽдÊÖ)
|
soliton923: лл²ÎÓëÌÖÂÛ ~~²¢¸ø³öÓÐÒæµÄ½¨Òé 2011-05-03 17:00:17
|
|
|
3Â¥2011-05-03 13:59:05
|
|
|
wd_xmcÌú³æ (³õÈëÎÄ̳)
|
||
|
4Â¥2011-05-03 21:38:07
|
|
|
wd_xmcÌú³æ (³õÈëÎÄ̳)
|
||
|
5Â¥2011-05-03 21:48:17
|
|
|
zjuzxr½ð³æ (ÕýʽдÊÖ)
|
¡¾´ð°¸¡¿Ó¦Öú»ØÌû
¡ï
math105(½ð±Ò+1): лл²ÎÓëÌÖÂÛ 2011-05-04 11:34:37 wd_xmc(½ð±Ò+15): 2011-05-04 16:28:47
|
|
|
6Â¥2011-05-04 10:13:23
|
|
|
¡¾´ð°¸¡¿Ó¦Öú»ØÌû
¡ï ¡ï ¡ï ¡ï ¡ï ¡ï ¡ï ¡ï ¡ï ¡ï ¡ï ¡ï ¡ï ¡ï ¡ï ¡ï ¡ï ¡ï ¡ï ¡ï ¡ï ¡ï
soliton923(½ð±Ò+2): Ê®·Ö¸ÐлÌṩ~~ 2011-05-05 23:16:18 soliton923(½ð±Ò+20): ΪÁ˸ÐлÄã¶ÔÕâЩÎÊÌâµÄ½â´ð~~ÏÖÔÚLZÒ»²¢¸øÄã20¸ö½ð±Ò~~~²»³É¾´Òâ~ 2011-05-10 22:54:38 |
||
|
7Â¥2011-05-05 22:50:11
|
|
|
soliton923Ìú¸Ëľ³æ (Ö°Òµ×÷¼Ò)
Êýѧ´å´å³¤
|
¡¾´ð°¸¡¿Ó¦Öú»ØÌû
¡ï
math105(½ð±Ò+1): лл°ß°ß²ÎÓëÌÖÂÛÎÊÌ⡤¡¤¡¤¡¤¡¤ 2011-05-06 08:58:15 |
|
![]() |
||
|
8Â¥2011-05-06 00:00:28
|
|
|
¡¾´ð°¸¡¿Ó¦Öú»ØÌû
¡ï ¡ï
soliton923(½ð±Ò+2): ллÌṩ´ð°¸~~~ 2011-05-06 15:41:56 soliton923: ºÇºÇ »¹ÕæÊÇÎÒ~~~ 2011-05-06 15:42:10 |
||
|
9Â¥2011-05-06 14:25:07
|
|
|
¡¾´ð°¸¡¿Ó¦Öú»ØÌû
¡ï ¡ï
soliton923(½ð±Ò+2): ллÌṩ´ð°¸~~~ 2011-05-06 15:42:31 |
||
|
10Â¥2011-05-06 14:40:34
|
|














»Ø¸´´ËÂ¥

Â¥ÉÏĪ·ÇÊÇ»ÆÐÖ¡£¡£¡£¡£
µÚÈýÌâÓÖÊÇ07Äê¹ú¼Ò¼¯Ñµ¶ÓÊÔÌ⣬ÄѶȺܴó£¡