| ²é¿´: 1347 | »Ø¸´: 6 | ||
safeiÌú³æ (³õÈëÎÄ̳)
|
[½»Á÷]
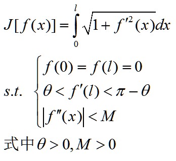
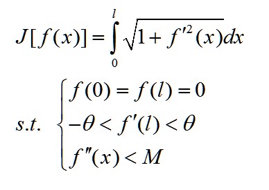
¡¾ÇóÖú¡¿Ò»¸öº¬²»µÈÊ½Ô¼ÊøµÄ±ä·ÖÎÊÌ⣡ ÒÑÓÐ4È˲ÎÓë
|
» ±¾Ö÷ÌâÏà¹Ø¼ÛÖµÌùÍÆ¼ö£¬¶ÔÄúͬÑùÓаïÖú:
½â²»µÈʽ Çó×î´óÖµÎÊÌâ
ÒѾÓÐ3È˻ظ´
matlabÏßÐÔ¾ØÕó²»µÈʽÇó½â×öÓÅ»¯ÎÊÌâ
ÒѾÓÐ10È˻ظ´
¹ØÓÚ¾ØÕó²»µÈʽµÄÎÊÌâ½ô¼±ÇóÖú£¡Ð»Ð»£¡
ÒѾÓÐ8È˻ظ´
¼¸ºÎÓÅ»¯µÄ¶Ô³ÆÐÔÔ¼ÊøÎÊÌâ
ÒѾÓÐ6È˻ظ´
ÔõÑùÇó½âÔ¼ÊøÌõ¼þΪ²»µÈʽµÄÏßÐԹ滮ÎÊÌ⣿´óϺÇë½ø
ÒѾÓÐ10È˻ظ´
¡¾ÇóÖú¡¿Óн±Çó½Ì£º½â±ä·ÖÎÊÌâ
ÒѾÓÐ4È˻ظ´
¡¾ÇóÖú¡¿ÄÄλ´óÏÀÄܰïÎÒ¿´¿´Ò»¸ö²»µÈʽµÄÎÊÌ⣬Çóº¯ÊýµÄ½ç
ÒѾÓÐ10È˻ظ´
¡¾ÇóÖú¡¿Çë½Ì£ºÒþʽĿ±êº¯ÊýºÍÔ¼ÊøÌõ¼þ·ÇÏßÐԹ滮ÎÊÌâ
ÒѾÓÐ5È˻ظ´

pengyehui
ľ³æ (ÕýʽдÊÖ)
- ÊýѧEPI: 3
- Ó¦Öú: 15 (СѧÉú)
- ¹ó±ö: 0.03
- ½ð±Ò: 4215.2
- ºì»¨: 5
- Ìû×Ó: 510
- ÔÚÏß: 190.6Сʱ
- ³æºÅ: 462928
- ×¢²á: 2007-11-19
- ÐÔ±ð: GG
- רҵ: ¼ÆËãÊýѧÓë¿ÆÑ§¹¤³Ì¼ÆËã
2Â¥2011-03-18 09:31:20
safei
Ìú³æ (³õÈëÎÄ̳)
- Ó¦Öú: 0 (Ó×¶ùÔ°)
- ½ð±Ò: 4
- Ìû×Ó: 23
- ÔÚÏß: 30.5Сʱ
- ³æºÅ: 1150890
- ×¢²á: 2010-11-19
- ÐÔ±ð: GG
- רҵ: Á÷ÌåÁ¦Ñ§

3Â¥2011-03-18 11:49:46
fyq98
ľ³æ (ÕýʽдÊÖ)
- Ó¦Öú: 8 (Ó×¶ùÔ°)
- ½ð±Ò: 5282.1
- É¢½ð: 8
- ºì»¨: 3
- Ìû×Ó: 394
- ÔÚÏß: 325.7Сʱ
- ³æºÅ: 757067
- ×¢²á: 2009-04-25
- ÐÔ±ð: GG
- רҵ: ·ºº¯·ÖÎö
¡ï
Сľ³æ(½ð±Ò+0.5):¸ø¸öºì°ü£¬Ð»Ð»»ØÌû½»Á÷
Сľ³æ(½ð±Ò+0.5):¸ø¸öºì°ü£¬Ð»Ð»»ØÌû½»Á÷
|
f(x)=0ÊDz»Êǽ⣬ȡ¾öÓÚM£¬ Èç¹ûM´óÓÚ0£¬Ôò¸ÃÎÊÌâÖ®½âΪf(x)=0; Èç¹ûMСÓÚ0£¬Ôò¸ÃÎÊÌâÖ®½âÒ»¶¨²»ÊÇf(x)=0¡£ [ Last edited by fyq98 on 2011-3-18 at 17:05 ] |

4Â¥2011-03-18 17:02:27
leedobb
½ð³æ (ÕýʽдÊÖ)
- ÊýѧEPI: 1
- Ó¦Öú: 77 (³õÖÐÉú)
- ½ð±Ò: 152.4
- É¢½ð: 646
- ºì»¨: 15
- Ìû×Ó: 856
- ÔÚÏß: 270.4Сʱ
- ³æºÅ: 1199535
- ×¢²á: 2011-02-06
- ÐÔ±ð: GG
- רҵ: ¸ß·Ö×Ó¿ÆÑ§
¡ï
Сľ³æ(½ð±Ò+0.5):¸ø¸öºì°ü£¬Ð»Ð»»ØÌû½»Á÷
Сľ³æ(½ð±Ò+0.5):¸ø¸öºì°ü£¬Ð»Ð»»ØÌû½»Á÷
|
3¥˵Á˵±M<0ʱ£¬f(x)=0²»ÊÇÆä½â¡£ ½â²»µÈÊ½Ô¼ÊøÒ»°ã¿ÉÒÔÏÈ»¯³ÉµÈÊ½Ô¼Êø£¬È»ºóÔÙÓÃÀ¸ñÀÊÈÕ³Ë×ÓÀ´ÏÞÖÆ¡£ ÔÚÕâÀÎÒÖ¤Ã÷һϴ˽áÂÛ°É£º ·´Ö¤·¨£º¼ÙÉèf(x)ÔÚij¶ÎÇø¼ä²»Âú×ã f''=MÄÇô ÔÚ´ËÇø¼ä΢±äÔªdelt (f'')¿ÉÒÔÈÎÒâ £¨ÒòΪÔÚÕâ¶ÎûÏÞÖÆ£©£¬ ¶ø delt J = int f' delt f'/(1+f'^2)^0.5 dx = -int (int f'/(1+f'^2)^0.5dt) delt(f'') dx ʽÖз´ÓÃÁË·Ö²¿»ý·Ö¡£ ÓÉÓÚ´æÔÚij¶ÎÇø¼äÄÚ£¬delt(f'')¿ÉÒÔÈÎÒ⣬ËùÒÔÓÐ int_(L-x)^L f'/(1+f'^2) dt =0 ÆäÖÐxÊôÓÚ´ËÇø¼ä¡£¶ÔÉÏʽÇ󵼵à f'/(1+f^2)^0.5 =0 => f' =0 =>f''=0Óëf'' ËùÒÔ£¬µ±f'' ʣϵÄÀ¸ñÀÊÈÕ³Ë×ӵķ½·¨¾ÍºÜ¼òµ¥ÁË¡£ Æäʵ£¬ÎÒ¾õµÃÄØ£¬ÔÚÕâ¹Ø¼üÊÇÒªÀí½âÓÐÊ±Ô¼ÊøÌõ¼þÆäʵÊÇÔÚÔ¼ÊøÎ¢±äÔªµÄ¿É±ä·¶Î§¼°ÆäÈÎÒâÐÔ¡£ (×îºó½á¹û£ºµ±M>=0, f=0;µ±-theta/2/L= [ Last edited by leedobb on 2011-3-19 at 12:15 ] |

5Â¥2011-03-19 11:08:53
pengyehui
ľ³æ (ÕýʽдÊÖ)
- ÊýѧEPI: 3
- Ó¦Öú: 15 (СѧÉú)
- ¹ó±ö: 0.03
- ½ð±Ò: 4215.2
- ºì»¨: 5
- Ìû×Ó: 510
- ÔÚÏß: 190.6Сʱ
- ³æºÅ: 462928
- ×¢²á: 2007-11-19
- ÐÔ±ð: GG
- רҵ: ¼ÆËãÊýѧÓë¿ÆÑ§¹¤³Ì¼ÆËã
6Â¥2011-03-19 11:14:45
safei
Ìú³æ (³õÈëÎÄ̳)
- Ó¦Öú: 0 (Ó×¶ùÔ°)
- ½ð±Ò: 4
- Ìû×Ó: 23
- ÔÚÏß: 30.5Сʱ
- ³æºÅ: 1150890
- ×¢²á: 2010-11-19
- ÐÔ±ð: GG
- רҵ: Á÷ÌåÁ¦Ñ§

7Â¥2011-03-23 18:55:41














»Ø¸´´ËÂ¥