| ²é¿´: 1093 | »Ø¸´: 3 | ||
chebyshev½ð³æ (СÓÐÃûÆø)
|
[ÇóÖú]
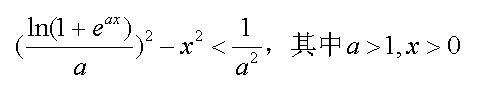
ÇóÖú£ºÖ¤Ã÷Ò»¸öÓë×ÔÈ»¶ÔÊýÓйصIJ»µÈʽ¡£100½ð±Ò¸Ðл£¡
|
|
Çë½Ì¸÷λ´óÏÀ£º ÏÂÁв»µÈʽӦ¸Ã³ÉÁ¢£¬ÎÒ»ÁËһЩͼÑé֤ͨ¹ý£¬µ«²»ÖªµÀÈçºÎÖ¤Ã÷¡£ ½ð±Ò¸Ðл£¡´Ë²»µÈʽ¶ÔÎҷdz£ÖØÒª¡£ÄúµÄÖ¤Ã÷½«¼«´óµÄ°ïÖúÎÒ£¬ÒòΪËüÒѾÀ§ÈÅÎÒÈýËÄÌìÁË¡£ |
» ²ÂÄãϲ»¶
290µ÷¼ÁÉúÎï0860
ÒѾÓÐ5È˻ظ´
359Çóµ÷¼Á
ÒѾÓÐ3È˻ظ´
Çóµ÷¼Á£¬985²ÄÁÏÓ뻯¹¤348·Ö
ÒѾÓÐ5È˻ظ´
211±¾¿Æ²ÄÁÏ»¯¹¤Çóµ÷¼Á
ÒѾÓÐ9È˻ظ´
²ÄÁÏ¿¼Ñе÷¼Á
ÒѾÓÐ24È˻ظ´
366Çóµ÷¼Á
ÒѾÓÐ5È˻ظ´
Çóµ÷¼Á£¬Ò»Ö¾Ô¸´óÁ¬Àí¹¤´óѧ354·Ö
ÒѾÓÐ5È˻ظ´
308Çóµ÷¼Á
ÒѾÓÐ3È˻ظ´
266Çóµ÷¼Á£¬Ò»Ö¾Ô¸¹þ¹¤³Ìµç×ÓÐÅÏ¢£¬±¾¿Æ»ñ¶àÏî¹ú½±ºÍÊ¡½±
ÒѾÓÐ7È˻ظ´
Çóµ÷¼Á
ÒѾÓÐ12È˻ظ´
» ±¾Ö÷ÌâÏà¹Ø¼ÛÖµÌùÍÆ¼ö£¬¶ÔÄúͬÑùÓаïÖú:
ÇóÖú¹ØÓÚsolvateµÄһЩÒÉ»ó
ÒѾÓÐ10È˻ظ´
ÇóÖú£ºÈ¥ÄêÉêÇëÁËJ2£¬½ñÄê×¼±¸ÉêÇëJ1£¬Ôõô»íÃâÁ½Äê¾ÓסÏÞÖÆ£¿
ÒѾÓÐ23È˻ظ´
ÇóÖú½âÖÊÆ×£¡ ÊǾۺÏÌåÂ𣿣¿ÌṩÁ˺ܶàÐÅÏ¢£¡
ÒѾÓÐ8È˻ظ´
¡¾ÇóÖú¡¿ÌìȻҩ»¯Ã»ÓÐл¯ºÏÎÓÐлîÐÔ£¬ÄÜ·¢Ê²Ã´ÑùµÄÎÄÕ£¿
ÒѾÓÐ15È˻ظ´
ÇóÖúEISͼ·ÖÎö£¬×÷ΪÍâÐп´Á˽̳ÌҲʵÔÚÄâºÏ²»³öÀ´
ÒѾÓÐ13È˻ظ´
¡¾ÇóÖú¡¿Ôõô°ÑÌú¿óʯÖк¬ÓÐÁ×µÄÑõ»¯Îï³ýÈ¥£¬¼±£¡£¡¸Ðл¸Ðл
ÒѾÓÐ5È˻ظ´
¡¾ÇóÖú¡¿¹ºÂòµÄsigmaµÄÕý¶¡»ùﮣ¨800ml£©£¬°×É«ÌúͰװ£¬ÈçºÎ´ò¿ªÊ¹Óã¿
ÒѾÓÐ8È˻ظ´
ÇóÖú½ðÊôרҵÎÄÏ׵öÃû´Ê·Ò룬·Ç³£¸Ðл
ÒѾÓÐ3È˻ظ´
ÇóÖúµç»¯Ñ§·ÖÎö
ÒѾÓÐ4È˻ظ´
ÇóÖúÒ»¶Îºº·Ó¢£¬Ð»Ð»
ÒѾÓÐ2È˻ظ´
ÇóÖúÈÕÎÄ»¯Ñ§Ïà¹Ø×¨ÒµÁ½¶Î·Ò룬ÓÐЧÆÚÖÁ»ñµÃÓ¦ÖúΪֹ
ÒѾÓÐ6È˻ظ´
ÑÛ¾¦Éú²¡ÁË£¬ÇóÖúºÃÐĵijæÓѰïÖúÏÂ
ÒѾÓÐ6È˻ظ´
¡¾ÇóÖú¡¿¸ÖÔ°ÂÊÏÌå¾§½çÇÖÊ´ÇóÖú
ÒѾÓÐ24È˻ظ´
¡¾ÇóÖú¡¿ÇëÄÇλţÈËÍÆ¼ö¼¸±¾´óѧÎïÀí½Ì²Ä¡£
ÒѾÓÐ20È˻ظ´
opanane
ľ³æ (СÓÐÃûÆø)
- Ó¦Öú: 13 (СѧÉú)
- ½ð±Ò: 2946.7
- É¢½ð: 20
- ºì»¨: 6
- Ìû×Ó: 129
- ÔÚÏß: 263.5Сʱ
- ³æºÅ: 1292941
- ×¢²á: 2011-05-11
- רҵ: Á£×ÓÎïÀíѧºÍ³¡ÂÛ
2Â¥2012-07-18 11:25:02
opanane
ľ³æ (СÓÐÃûÆø)
- Ó¦Öú: 13 (СѧÉú)
- ½ð±Ò: 2946.7
- É¢½ð: 20
- ºì»¨: 6
- Ìû×Ó: 129
- ÔÚÏß: 263.5Сʱ
- ³æºÅ: 1292941
- ×¢²á: 2011-05-11
- רҵ: Á£×ÓÎïÀíѧºÍ³¡ÂÛ
¡¾´ð°¸¡¿Ó¦Öú»ØÌû
¡ï ¡ï ¡ï ¡ï ¡ï ¡ï ¡ï ¡ï ¡ï ¡ï ¡ï ¡ï ¡ï ¡ï ¡ï ¡ï ¡ï ¡ï ¡ï ¡ï ¡ï ¡ï ¡ï ¡ï ¡ï ¡ï ¡ï ¡ï ¡ï ¡ï ¡ï ¡ï ¡ï ¡ï ¡ï ¡ï ¡ï ¡ï ¡ï ¡ï ¡ï ¡ï ¡ï ¡ï ¡ï ¡ï ¡ï ¡ï ¡ï ¡ï ¡ï ¡ï ...
¸Ðл²ÎÓ룬ӦÖúÖ¸Êý +1
chebyshev: ½ð±Ò+100, ¡ï¡ï¡ï¡ï¡ï×î¼Ñ´ð°¸, ÄǸö12012-07-18 16:12:46
¸Ðл²ÎÓ룬ӦÖúÖ¸Êý +1
chebyshev: ½ð±Ò+100, ¡ï¡ï¡ï¡ï¡ï×î¼Ñ´ð°¸, ÄǸö1
3Â¥2012-07-18 11:55:40
³þЦЦÉú
ͳæ (³õÈëÎÄ̳)
- Ó¦Öú: 0 (Ó×¶ùÔ°)
- ½ð±Ò: 130.5
- É¢½ð: 1
- Ìû×Ó: 46
- ÔÚÏß: 54.5Сʱ
- ³æºÅ: 1707868
- ×¢²á: 2012-03-21
- רҵ: ´ß»¯»¯Ñ§
4Â¥2012-07-19 17:26:19













»Ø¸´´ËÂ¥