| 查看: 3721 | 回复: 8 | ||
[求助]
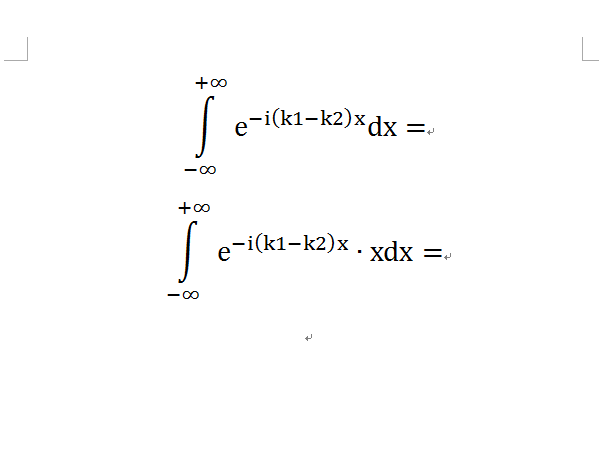
指数函数无穷积分 已有4人参与
|
||
|
|
||
![]() |
||
|
2楼2014-05-26 17:07:39
|
|
|
|
3楼2014-05-26 17:15:38
|
|
|
peterflyer
|
【答案】应助回帖
★ ★ ★ ★ ★
感谢参与,应助指数 +1 华丽的飘过: 金币+5, 3q 2014-05-29 23:20:00
|
|
|
4楼2014-05-28 11:25:09
|
|
|
大风歌_09金虫 (正式写手)
|
||
|
5楼2014-05-29 20:09:47
|
|
|
|
6楼2014-05-30 09:40:04
|
|
|
![]() |
||
|
7楼2014-05-30 13:06:30
|
|
|
|
8楼2014-05-30 16:22:23
|
|
|
|
9楼2014-05-30 16:30:51
|
|














回复此楼

