版块导航
正在加载中...
客户端APP下载
论文辅导
调剂小程序
登录
注册
帖子
帖子
用户
本版
应《网络安全法》要求,自2017年10月1日起,未进行实名认证将不得使用互联网跟帖服务。为保障您的帐号能够正常使用,请尽快对帐号进行手机号验证,感谢您的理解与支持!
24小时热门版块排行榜
>
论坛更新日志
(573)
>
虫友互识
(23)
>
基金申请
(21)
>
文献求助
(14)
>
导师招生
(11)
>
硕博家园
(9)
>
考博
(7)
>
教师之家
(6)
>
论文投稿
(6)
>
博后之家
(3)
>
公派出国
(3)
>
考研
(3)
>
休闲灌水
(3)
>
留学生活
(2)
>
论文道贺祈福
(2)
>
找工作
(2)
小木虫论坛-学术科研互动平台
»
专业学科区
»
数学
»
基础数学
»
f(t)为哪个函数时这个积分可积
11
1/2
返回列表
1
2
下一页
查看: 1356 | 回复: 10
只看楼主
@他人
存档
新回复提醒
(忽略)
收藏
在APP中查看
追求迷茫
铜虫
(正式写手)
应助: 3
(幼儿园)
金币: 1546.7
散金: 284
红花: 3
帖子: 446
在线: 173.8小时
虫号: 1367401
注册: 2011-08-13
性别: GG
专业: 固体力学
[交流]
f(t)为哪个函数时这个积分可积
已有2人参与
f(t)不能含有能抵消后面两项的项
捕获.JPG
回复此楼
» 猜你喜欢
依托企业入选了国家启明计划青年人才。有无高校可以引进的。
已经有9人回复
有时候真觉得大城市人没有县城人甚至个体户幸福
已经有11人回复
表哥与省会女结婚,父母去帮带孩子被省会女气回家生重病了
已经有7人回复
同年申请2项不同项目,第1个项目里不写第2个项目的信息,可以吗
已经有8人回复
依托企业入选了国家启明计划青年人才。有无高校可以引进的。
已经有10人回复
天津大学招2026.09的博士生,欢迎大家推荐交流(博导是本人)
已经有9人回复
有院领导为了换新车,用横向课题经费买了俩车
已经有10人回复
AI 太可怕了,写基金时,提出想法,直接生成的文字比自己想得深远,还有科学性
已经有6人回复
高级回复
» 本主题相关价值贴推荐,对您同样有帮助:
一个函数与高斯函数的乘积的积分问题
已经有8人回复
matlab求函数积分出错
已经有12人回复
蒙特卡洛法 求积分 被积函数含有gamma函数
已经有5人回复
如何计算对数函数和指数函数乘积的积分
已经有38人回复
这个积分怎么积啊?
已经有7人回复
关于delta函数的高斯积分问题
已经有32人回复
被积函数很快收敛到0,为什么积分不收敛。
已经有3人回复
函数可积和原函数存在问题
已经有4人回复
指数函数之和能否用指数函数之积表示
已经有8人回复
求助!!!我想要在fluent中针对一个面进行积分,那么UDF应该用什么宏函数?怎么用?
已经有5人回复
函数 f(x)=x*tan(x) 能够积分写出原函数吗 最好有过程
已经有7人回复
恒熵恒容只做体积功的封闭体系里,体系达平衡,看哪个状态函数
已经有12人回复
如何求二次形式概率密度函数的积分呢?
已经有3人回复
利用matlab中的S-函数实现积分分离PID控制器的仿真
已经有4人回复
三角函数的非整数次幂积分 f(x)'=(sinx)^(1/2)
已经有8人回复
求教:反常积分的被积函数的有界性问题
已经有10人回复
请教形函数的导数在任意四边形的积分,谢谢
已经有6人回复
【课后习题】复变函数及积分变换(西安交大,第四版)
已经有39人回复
【求助】delta函数平方后积分
已经有5人回复
【求助】求积分程序中被积函数问题
已经有15人回复
【求助】函数sin(ax)*exp(-ibx)/ax在积分区间m1到m2的积分【已解决】
已经有12人回复
【求助】只知道有限个函数值求积分
已经有10人回复
【求助】复变函数中的分部积分公式是否成立
已经有8人回复
1楼
2013-12-26 18:10:41
已阅
回复此楼
关注TA
给TA发消息
送TA红花
TA的回帖
feixiaolin
荣誉版主
(文坛精英)
专家经验: +518
应助: 942
(博后)
贵宾: 1.275
金币: 3430
散金: 58785
红花: 532
沙发: 11
帖子: 24215
在线: 2601.8小时
虫号: 2139575
注册: 2012-11-21
专业: 光学信息获取与处理
管辖:
数学
★
小木虫: 金币+0.5, 给个红包,谢谢回帖
满足t→∞,f(t)*exp(-t)→0的f(t),均可。
修正一下
满足t→∞,f(t)*exp(-t^2)→0的f(t),均可。
[
Last edited by feixiaolin on 2013-12-26 at 23:08
]
赞
一下
回复此楼
2楼
2013-12-26 18:24:07
已阅
回复此楼
关注TA
给TA发消息
送TA红花
TA的回帖
追求迷茫
铜虫
(正式写手)
应助: 3
(幼儿园)
金币: 1546.7
散金: 284
红花: 3
帖子: 446
在线: 173.8小时
虫号: 1367401
注册: 2011-08-13
性别: GG
专业: 固体力学
引用回帖:
2楼
:
Originally posted by
feixiaolin
at 2013-12-26 18:24:07
满足t→∞,f(t)*exp(-t)→0的f(t),均可。
貌似f(t)=t时,这个不定积分就积不出来
赞
一下
回复此楼
3楼
2013-12-26 22:19:41
已阅
回复此楼
关注TA
给TA发消息
送TA红花
TA的回帖
feixiaolin
荣誉版主
(文坛精英)
专家经验: +518
应助: 942
(博后)
贵宾: 1.275
金币: 3430
散金: 58785
红花: 532
沙发: 11
帖子: 24215
在线: 2601.8小时
虫号: 2139575
注册: 2012-11-21
专业: 光学信息获取与处理
管辖:
数学
★
小木虫: 金币+0.5, 给个红包,谢谢回帖
引用回帖:
3楼
:
Originally posted by
追求迷茫
at 2013-12-26 22:19:41
貌似f(t)=t时,这个不定积分就积不出来...
Integrate[t*exp(-t) ]= - exp(-t)*(t+1)
赞
一下
回复此楼
4楼
2013-12-26 22:48:13
已阅
回复此楼
关注TA
给TA发消息
送TA红花
TA的回帖
追求迷茫
铜虫
(正式写手)
应助: 3
(幼儿园)
金币: 1546.7
散金: 284
红花: 3
帖子: 446
在线: 173.8小时
虫号: 1367401
注册: 2011-08-13
性别: GG
专业: 固体力学
引用回帖:
4楼
:
Originally posted by
feixiaolin
at 2013-12-26 22:48:13
Integrate= - exp(-t)*(t+1)...
亲,我是说∫t*exp(-t^2)sintdt这个函数积不出来
[ 发自手机版 http://muchong.com/3g ]
赞
一下
回复此楼
5楼
2013-12-26 22:59:09
已阅
回复此楼
关注TA
给TA发消息
送TA红花
TA的回帖
feixiaolin
荣誉版主
(文坛精英)
专家经验: +518
应助: 942
(博后)
贵宾: 1.275
金币: 3430
散金: 58785
红花: 532
沙发: 11
帖子: 24215
在线: 2601.8小时
虫号: 2139575
注册: 2012-11-21
专业: 光学信息获取与处理
管辖:
数学
★
小木虫: 金币+0.5, 给个红包,谢谢回帖
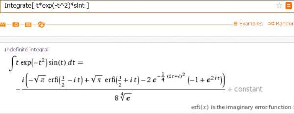
Integrate[ t*exp(-t^2)*sint ]可以积分出来
keji.JPG
赞
一下
回复此楼
6楼
2013-12-26 23:06:52
已阅
回复此楼
关注TA
给TA发消息
送TA红花
TA的回帖
追求迷茫
铜虫
(正式写手)
应助: 3
(幼儿园)
金币: 1546.7
散金: 284
红花: 3
帖子: 446
在线: 173.8小时
虫号: 1367401
注册: 2011-08-13
性别: GG
专业: 固体力学
引用回帖:
6楼
:
Originally posted by
feixiaolin
at 2013-12-26 23:06:52
Integrate可以积分出来
keji.JPG
里面有个erfi,还是无法得到其解析解,我想要的是一个显示表达式
[ 发自手机版 http://muchong.com/3g ]
赞
一下
回复此楼
7楼
2013-12-26 23:10:28
已阅
回复此楼
关注TA
给TA发消息
送TA红花
TA的回帖
feixiaolin
荣誉版主
(文坛精英)
专家经验: +518
应助: 942
(博后)
贵宾: 1.275
金币: 3430
散金: 58785
红花: 532
沙发: 11
帖子: 24215
在线: 2601.8小时
虫号: 2139575
注册: 2012-11-21
专业: 光学信息获取与处理
管辖:
数学
★
小木虫: 金币+0.5, 给个红包,谢谢回帖
引用回帖:
7楼
:
Originally posted by
追求迷茫
at 2013-12-26 23:10:28
里面有个erfi,还是无法得到其解析解,我想要的是一个显示表达式
...
wiki有erfi()级数展开
赞
一下
回复此楼
8楼
2013-12-26 23:11:26
已阅
回复此楼
关注TA
给TA发消息
送TA红花
TA的回帖
追求迷茫
铜虫
(正式写手)
应助: 3
(幼儿园)
金币: 1546.7
散金: 284
红花: 3
帖子: 446
在线: 173.8小时
虫号: 1367401
注册: 2011-08-13
性别: GG
专业: 固体力学
引用回帖:
8楼
:
Originally posted by
feixiaolin
at 2013-12-26 23:11:26
wiki有erfi()级数展开...
这个貌似太高端了,我就是希望看能否找到一个f(t),让那个积分能积,结果不是特别复杂
[ 发自手机版 http://muchong.com/3g ]
赞
一下
回复此楼
9楼
2013-12-26 23:15:14
已阅
回复此楼
关注TA
给TA发消息
送TA红花
TA的回帖
追求迷茫
铜虫
(正式写手)
应助: 3
(幼儿园)
金币: 1546.7
散金: 284
红花: 3
帖子: 446
在线: 173.8小时
虫号: 1367401
注册: 2011-08-13
性别: GG
专业: 固体力学
引用回帖:
8楼
:
Originally posted by
feixiaolin
at 2013-12-26 23:11:26
wiki有erfi()级数展开...
挺感谢的
[ 发自手机版 http://muchong.com/3g ]
回复此楼
10楼
2013-12-26 23:17:43
已阅
回复此楼
关注TA
给TA发消息
送TA红花
TA的回帖
相关版块跳转
数理科学综合
机械
物理
数学
农林
食品
地学
能源
信息科学
土木建筑
航空航天
转基因
我要订阅楼主
追求迷茫
的主题更新
11
1/2
返回列表
1
2
下一页
如果回帖内容含有宣传信息,请如实选中。否则帐号将被全论坛禁言
普通表情
龙
兔
虎
猫
高级回复
(可上传附件)
百度网盘
|
360云盘
|
千易网盘
|
华为网盘
在新窗口页面中打开自己喜欢的网盘网站,将文件上传后,然后将下载链接复制到帖子内容中就可以了。
信息提示
关闭
请填处理意见
关闭
确定