| ²é¿´: 3773 | »Ø¸´: 10 | ||
xiangqianzshľ³æ (ÖøÃûдÊÖ)
|
[ÇóÖú]
Çó½Ì£º·´³£»ý·ÖµÄ±»»ýº¯ÊýµÄÓнçÐÔÎÊÌâ
|
|
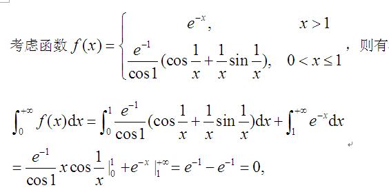
ÒÑÖª f(x)>=0 ÇÒ int£¨f£¨x£©£¬x=0..infinity£©ÊÕÁ²£¨¼´0µ½ÕýÎÞÇîµÄ·´³£»ý·ÖÊÕÁ²£©£¬ÇëÎÊ£ºf(x)ÊÇ·ñÓн磿 ˵ÎÞ½ç°É£¬ÎÒÓÖ¾Ù²»³öÀ´·¶Àý£¬ËµÓнç°É£¬Õâdelta ºÍM µÄ¹ØÏµ¾ÍÊǸ㲻¶¨£¬Á½¸öÒ»Æð±ä¡£Õæ¾À½á¡£¡£ |
» ±¾ÌûÒÑ»ñµÃµÄºì»¨£¨×îÐÂ10¶ä£©
» ²ÂÄãϲ»¶
Ò»Ö¾Ô¸±±½»´ó²ÄÁϹ¤³Ì×Ü·Ö358Çóµ÷¼Á
ÒѾÓÐ4È˻ظ´
¿¼ÑÐÉúÎïѧ¿¼AÇø211£¬³õÊÔ322£¬¿ÆÄ¿Éú»¯ºÍÉúÎï×ۺϣ¬Çóµ÷¼Á
ÒѾÓÐ5È˻ظ´
284Çóµ÷¼Á
ÒѾÓÐ12È˻ظ´
329Çóµ÷¼Á
ÒѾÓÐ19È˻ظ´
²ÄÁÏר˶(0856) 339·ÖÇóµ÷¼Á
ÒѾÓÐ9È˻ظ´
¹¤¿Æ277·ÖÇóµ÷¼Á²ÄÁÏ
ÒѾÓÐ9È˻ظ´
085602µ÷¼Á ³õÊÔ×Ü·Ö335
ÒѾÓÐ6È˻ظ´
µ÷¼Á
ÒѾÓÐ3È˻ظ´
315Çóµ÷¼Á
ÒѾÓÐ11È˻ظ´
298·Ö 070300Çóµ÷¼Á
ÒѾÓÐ15È˻ظ´
» ±¾Ö÷ÌâÏà¹Ø¼ÛÖµÌùÍÆ¼ö£¬¶ÔÄúͬÑùÓаïÖú:
CASTEPÔÚ¼ÆËãÊdzöÏÖÎÊÌâÀ²£¬Çó´óÏÀ°ïæ°¡¡£¡£¡£
ÒѾÓÐ13È˻ظ´
Çó½Ì¹ØÓÚ¸´ºÏ°åÔþÖÆµÄÎÊÌâ
ÒѾÓÐ14È˻ظ´
CSCÍø±¨µÄһЩÎÊÌâÇó½Ì
ÒѾÓÐ6È˻ظ´
¹ØÓÚÉù×ӯ׶ÔÓ¦µÄÌå»ýÎÊÌâ
ÒѾÓÐ3È˻ظ´
ÇóÖúÒ»¸ö¹ØÓÚ¸µ¿Ë·´Ó¦ºó´¦ÀíµÄÎÊÌâ
ÒѾÓÐ6È˻ظ´
¼±£¬ÇóÖú²»ÈÜÐÔµ°°×ÅÜSDS-µçÓ¾ÎÊÌ⣡
ÒѾÓÐ7È˻ظ´
Çë½Ì°ë·½²îº¯Êý¸÷ÏòÒìÐÔÎÊÌâ
ÒѾÓÐ3È˻ظ´
¡¾ÇóÖú¡¿²©Ê¿µÄ¹«¿ªÕп¼£¨ÉêÇëÈëѧ£©ÎÊÌâ
ÒѾÓÐ6È˻ظ´
¡¾ÇóÖú¡¿Çó½Ì¶¨»ý·ÖÎÊÌâ
ÒѾÓÐ13È˻ظ´
¡¾ÇóÖú¡¿Çó»ý·Ö³ÌÐòÖб»»ýº¯ÊýÎÊÌâ
ÒѾÓÐ15È˻ظ´
¡¾ÇóÖú¡¿LAMMPSÖзÇÖÜÆÚÐԱ߽çÌõ¼þºÍBorn-Mayer-HugginsÊÆº¯Êý²»»áÉèÖÃ
ÒѾÓÐ4È˻ظ´
¡¾ÇóÖú¡¿¡°¸ºÕÛÉäÂʲÄÁÏ¡±Óë¡°·´³£É«É¢¡±µÄ¹ØÏµ£¿
ÒѾÓÐ9È˻ظ´
xuyx_78
½ð³æ (СÓÐÃûÆø)
- Ó¦Öú: 39 (СѧÉú)
- ½ð±Ò: 1714.5
- ºì»¨: 1
- Ìû×Ó: 176
- ÔÚÏß: 80.3Сʱ
- ³æºÅ: 1385856
- ×¢²á: 2011-09-01
- רҵ: ¼ÆËãÊýѧÓë¿ÆÑ§¹¤³Ì¼ÆËã
2Â¥2011-11-13 08:48:39
xiangqianzsh
ľ³æ (ÖøÃûдÊÖ)
- Ó¦Öú: 23 (СѧÉú)
- ½ð±Ò: 2306.7
- É¢½ð: 1321
- ºì»¨: 2
- Ìû×Ó: 1729
- ÔÚÏß: 773.6Сʱ
- ³æºÅ: 1217881
- ×¢²á: 2011-03-01
- ÐÔ±ð: GG
- רҵ: ´úÊýѧ
|
ÕâÊÇÒ»¸ö¿¼ÑÐÔÌâ°¡£¬¿¼³¡ÉÏ˼ǵÃס°¡£¿ÄãÕâÊÇÄÄÀïµÄ×ÊÁÏ£¬Äܲ»ÄÜ·¢ÎÒÒ»·Ý£¿ 1024941759@qq.com лÁË¡£¡£ |
3Â¥2011-11-13 10:37:53
xuyx_78
½ð³æ (СÓÐÃûÆø)
- Ó¦Öú: 39 (СѧÉú)
- ½ð±Ò: 1714.5
- ºì»¨: 1
- Ìû×Ó: 176
- ÔÚÏß: 80.3Сʱ
- ³æºÅ: 1385856
- ×¢²á: 2011-09-01
- רҵ: ¼ÆËãÊýѧÓë¿ÆÑ§¹¤³Ì¼ÆËã
4Â¥2011-11-13 11:15:41
Pchief
Ìú¸Ëľ³æ (ÕýʽдÊÖ)
- ÊýѧEPI: 26
- Ó¦Öú: 13 (СѧÉú)
- ¹ó±ö: 0.024
- ½ð±Ò: 10856.4
- ºì»¨: 36
- Ìû×Ó: 987
- ÔÚÏß: 1992.9Сʱ
- ³æºÅ: 52235
- ×¢²á: 2004-09-04
- רҵ: ·ºº¯·ÖÎö
xiangqianzsh: »ØÌûÖö¥ Õý½â£¡Öö¥£¬²»½âÊÍ¡£ 2011-11-13 22:19:53
» ±¾ÌûÒÑ»ñµÃµÄºì»¨£¨×îÐÂ10¶ä£©
5Â¥2011-11-13 16:46:14
Pchief
Ìú¸Ëľ³æ (ÕýʽдÊÖ)
- ÊýѧEPI: 26
- Ó¦Öú: 13 (СѧÉú)
- ¹ó±ö: 0.024
- ½ð±Ò: 10856.4
- ºì»¨: 36
- Ìû×Ó: 987
- ÔÚÏß: 1992.9Сʱ
- ³æºÅ: 52235
- ×¢²á: 2004-09-04
- רҵ: ·ºº¯·ÖÎö
6Â¥2011-11-13 16:49:13
Pchief
Ìú¸Ëľ³æ (ÕýʽдÊÖ)
- ÊýѧEPI: 26
- Ó¦Öú: 13 (СѧÉú)
- ¹ó±ö: 0.024
- ½ð±Ò: 10856.4
- ºì»¨: 36
- Ìû×Ó: 987
- ÔÚÏß: 1992.9Сʱ
- ³æºÅ: 52235
- ×¢²á: 2004-09-04
- רҵ: ·ºº¯·ÖÎö
7Â¥2011-11-13 16:58:16
xuyx_78
½ð³æ (СÓÐÃûÆø)
- Ó¦Öú: 39 (СѧÉú)
- ½ð±Ò: 1714.5
- ºì»¨: 1
- Ìû×Ó: 176
- ÔÚÏß: 80.3Сʱ
- ³æºÅ: 1385856
- ×¢²á: 2011-09-01
- רҵ: ¼ÆËãÊýѧÓë¿ÆÑ§¹¤³Ì¼ÆËã
8Â¥2011-11-13 18:03:35
yerf
Òø³æ (СÓÐÃûÆø)
- Ó¦Öú: 3 (Ó×¶ùÔ°)
- ½ð±Ò: 378.8
- Ìû×Ó: 116
- ÔÚÏß: 34.6Сʱ
- ³æºÅ: 1342949
- ×¢²á: 2011-07-11
- ÐÔ±ð: GG
- רҵ: ƫ΢·Ö·½³Ì

9Â¥2011-11-13 19:10:33
xiangqianzsh
ľ³æ (ÖøÃûдÊÖ)
- Ó¦Öú: 23 (СѧÉú)
- ½ð±Ò: 2306.7
- É¢½ð: 1321
- ºì»¨: 2
- Ìû×Ó: 1729
- ÔÚÏß: 773.6Сʱ
- ³æºÅ: 1217881
- ×¢²á: 2011-03-01
- ÐÔ±ð: GG
- רҵ: ´úÊýѧ
10Â¥2011-11-13 22:15:18














»Ø¸´´ËÂ¥
xuyx_78
10