| ²é¿´: 3340 | »Ø¸´: 32 | ||
[½»Á÷]
¹ØÓÚdeltaº¯ÊýµÄ¸ß˹»ý·ÖÎÊÌâ
|
||
» ±¾Ö÷ÌâÏà¹Ø¼ÛÖµÌùÍÆ¼ö£¬¶ÔÄúͬÑùÓаïÖú:
¹ØÓÚÒ»¸öºãµÈʽµÄÖ¤Ã÷ÎÊÌâ
ÒѾÓÐ6È˻ظ´
ÏÖÔÚ×öµ½¸ß˹º¯ÊýµÄÎó²îº¯ÊýÒ»²½£¬ÓÖÊÇÒ»¸ö·½³Ì²»ÖªµÀÓÃmatlabÔõôд
ÒѾÓÐ14È˻ظ´
MATLABÖвúÉú¸ß˹°×ÔëÉù£¬Éæ¼°µ½awgnºÍwgnº¯Êý
ÒѾÓÐ3È˻ظ´
¹ØÓں˷½·¨Öиß˹ºËº¯ÊýµÄ²ÎÊýÉ趨ÓÐûÓÐ×ÔÊÊÓ¦µÄ²ÎÊýѡȡ·½·¨£¿£¿
ÒѾÓÐ11È˻ظ´
¡¾ÇóÖú¡¿¸ß˹¼ÆËã³öÏÖFatal Problem: The smallest alpha delta epsilon is -0.785373
ÒѾÓÐ7È˻ظ´
¡¾sobereva¸öÈËÎ¿µç×Ó¶¨ÓòÐÔµÄͼÐηÖÎö
ÒѾÓÐ56È˻ظ´
» ÇÀ½ð±ÒÀ²£¡»ØÌû¾Í¿ÉÒԵõ½:
¿ÎÌâ×é(»¯Ñ§¡¢»¯¹¤¡¢»·¾³¡¢ÄÜÔ´¡¢²ÄÁÏÏà¹Ø·½Ïò)»¶ÓÄãµÄ¼ÓÈë
+1/191
ÎïÀíѧµ÷¼Á
+1/94
Î÷°²Ê¯ÓÍ´óѧÐÂÄÜԴѧԺ½ÓÊÕ²ÄÁÏÀà¡¢ÄÜÔ´¶¯Á¦Àà¡¢»úеÀà¡¢¼ÆËã»úÀàµÈרҵר˶µ÷¼ÁÉú£¡
+1/87
2026Äê¸ÓÄÏʦ·¶´óѧ½ÓÊÕ µç×ÓÐÅÏ¢¹¤³Ì+»¯Ñ§+²ÄÁÏÓ뻯¹¤×¨Òµ µ÷¼ÁѧÉú
+1/83
»¶Óµ÷¼Áµ½¸ÓÄÏʦ·¶´óѧÖÇÄÜÖÆÔìÓëδÀ´ÄÜԴѧԺ
+2/64
Çൺũҵ´óѧº£ÑóѧԺÕе÷¼Á˶ʿÑо¿Éú
+1/51
Õãʦ´ó»¯Óë²ÄѧԺ2026ÄêÓдóÁ¿Ë¶Ê¿Ñо¿Éúµ÷¼ÁÃû¶î £¨ÏßÉÏ µ÷¼Á£©
+1/43
Î÷°²-·ÄÖ¯¿ÆÑ§Ó빤³Ì£¨·ÄÖ¯»¯Ñ§ÓëȾÕû£©¡¢²ÄÁÏÓ뻯¹¤
+1/23
ÄÏ»ª´óѧÕÐÊÕµ÷¼ÁÉú£¬[085700]×ÊÔ´Óë»·¾³¡ª»·¾³¹¤³Ì·½Ïò
+1/13
ÃÀ¹úÌïÄÉÎ÷Àí¹¤ | È˹¤ÖÇÄÜ/»úÆ÷ÈË/×Ô¶¯¼ÝÊ»·½Ïò£¨È«½±£©
+1/12
Î人·ÄÖ¯´óѧÕÐÊÕ»¯Ñ§»¯¹¤ÀàºÍ²ÄÁÏÀàÑо¿Éúµ÷¼ÁÉúÈô¸ÉÃû
+1/9
¡ïÉϺ£¡ïÉϺ£¹¤³Ì¼¼Êõ´óѧ¡¤»·¾³Óë×ÊÔ´´´ÐÂÖÐÐÄ£¨ICER£©½ÓÊÕ»¯¹¤²ÄÁÏ»·¾³µÈѧ¿Æµ÷¼ÁÉú
+1/9
Ö£´ó¿ØÖÆÑ§¿Æ½ÌÊÚ²©µ¼Ñо¿ÉúÕÐÉú
+1/8
¾ÍÒµºÃ-¹ã¶«Î¨Ò»Ê¯»¯ÔºÐ£¡ª¡ª×ÊÔ´Óë»·¾³×¨Ë¶ÕÐÉú
+1/8
¡ïÉϺ£¡ïÉϺ£¹¤³Ì¼¼Êõ´óѧ¡¤»·¾³Óë×ÊÔ´´´ÐÂÖÐÐÄ£¨ICER£©½ÓÊÕ»¯¹¤²ÄÁÏ»·¾³µÈѧ¿Æµ÷¼ÁÉú
+1/8
¿¼Ñе÷¼Á
+1/8
ÆëÆë¹þ¶û´óѧÀîÀò¿ÎÌâ×é³ÏÕÐ2026¼¶¿¼Ñе÷¼ÁÉú£¨Ñ§Ë¶ºÍר˶£©
+1/6
´óÍåÇø´óѧÀî¾ü¿ÎÌâ×éÕÐÊÕÉúÎïÐÅϢѧ¡¢È˹¤ÖÇÄÜ·½Ïò²©Ê¿ºó
+1/4
ºÓ±±´óѧ·ÖÎö»¯Ñ§ÕÐÊÕ¶àÃûµ÷¼Á¿¼Éú
+1/4
2026Äê½Î÷¿Æ¼¼Ê¦·¶´óѧ»¯Ñ§»¯¹¤Ñ§ÔºËåÏþ·æ¿ÎÌâ×éÕÐÊÕ˶ʿÑо¿Éúµ÷¼Á
+1/3
¡ï ¡ï ¡ï ¡ï ¡ï ¡ï
chemistryxrw(½ð±Ò+1): лл²ÎÓë
chemistryxrw: ½ð±Ò+3 2013-03-19 08:53:34
csgt0: ½ð±Ò+2, лл 2013-03-21 10:51:10
chemistryxrw(½ð±Ò+1): лл²ÎÓë
chemistryxrw: ½ð±Ò+3 2013-03-19 08:53:34
csgt0: ½ð±Ò+2, лл 2013-03-21 10:51:10
|
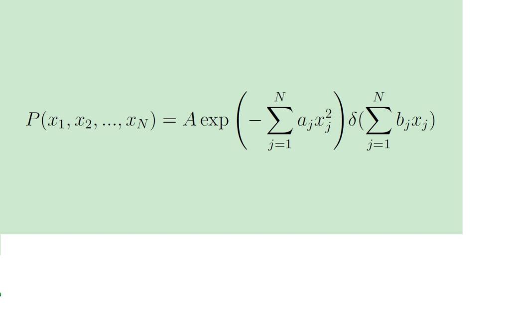
deltaº¯ÊýÔÚÊýÖµ¼ÆËã֮ʱÓÃFourierÕ¹¿ª±í´ïÎó²îÂù´óµÄ£¬ÕâµãµÃ·Ç³£Ð¡Ðĵġ£Äã¿ÉÒÔÊÔÊÔ¼ìÑéһϣ¬ÓÐÏÞÏîµÄFourierÕ¹¿ª±í´ïµÄdeltaº¯ÊýÔÚx!=0ʱ¶¼»áÓÐÖµ£¬¶øÇÒÊÇÕñµ´µÄ¡£ Òò´Ë½¨ÒéÖ±½Ó°Ñdeltaº¯Êý½âÎö´¦Àíµô¡£ ÄãµÄÎÊÌâÆäʵ¾ÍÊǶàάµÄ¸ß˹»ý·Ö£¬Ö±½Ó¿ÉÄõ½½âÎöµÄ½á¹û£¬µ½Î¬»ùÉϲéÒ»ÏÂGaussian Integral¼´¿É exp(-ax^2+i k b x)µÄ»ý·ÖºÜ¼òµ¥µÄ¡£ |
14Â¥2013-03-18 23:46:46
sundapeng111
Ìú¸Ëľ³æ (ÖøÃûдÊÖ)
- Ó¦Öú: 1 (Ó×¶ùÔ°)
- ½ð±Ò: 6252.5
- Ìû×Ó: 2436
- ÔÚÏß: 686.4Сʱ
- ³æºÅ: 1414500
2Â¥2013-03-15 09:56:34
3Â¥2013-03-15 17:32:59
userhung
½û³æ (ÎÄѧ̩¶·)
- Ó¦Öú: 1505 (½²Ê¦)
- ¹ó±ö: 1.347
- ½ð±Ò: 107941
- Ìû×Ó: 122982
- ÔÚÏß: 4265.2Сʱ
- ³æºÅ: 119626
8Â¥2013-03-15 18:48:51
9Â¥2013-03-18 09:20:23
10Â¥2013-03-18 09:20:48
11Â¥2013-03-18 09:20:55
16Â¥2013-03-19 08:53:12
17Â¥2013-03-19 12:12:58
|
×îºó¶Ôÿ¸öx³ýÈ¥xn×ö»ý·ÖºóÓУº P(x_n) = \int [(pi/a_1)*(pi/a_2) ...(pi/a_N)]^(1/2) * exp ( - k^2/4 *Sum (b_i^2/a_i) )* exp(-a_n x_n^2 +i k b_n x_n) dk ´ËʱÆäʵÊÇkµÄ¸ß˹»ý·Ö¡£ ½á¹ûΪ P(x_n) = [(pi/a_1)*(pi/a_2) ...(pi/a_N)]^(1/2) £¨4 pi/Sum (b_i^2/a_i) )^(1/2) * exp[- b_n^2 x_n^2/Sum (b_i^2/a_i)] ËùÒÔ»¹ÊǸö¸ß˹·Ö²¼ |
19Â¥2013-03-19 12:22:37
24Â¥2013-03-19 14:21:37
25Â¥2013-03-19 14:24:52
32Â¥2013-03-19 17:08:15
¼òµ¥»Ø¸´
readytogo4Â¥
2013-03-15 17:47
»Ø¸´
chemistryxrw(½ð±Ò+1): лл²ÎÓë
champ5Â¥
2013-03-15 18:05
»Ø¸´
chemistryxrw(½ð±Ò+1): лл²ÎÓë
wgatssd6Â¥
2013-03-15 18:06
»Ø¸´
chemistryxrw(½ð±Ò+1): лл²ÎÓë
zhihaikou7Â¥
2013-03-15 18:46
»Ø¸´
chemistryxrw(½ð±Ò+1): лл²ÎÓë
×£¸£
chemistryxrw12Â¥
2013-03-18 09:21
»Ø¸´

chemistryxrw13Â¥
2013-03-18 09:21
»Ø¸´

haixiawu15Â¥
2013-03-19 03:57
»Ø¸´
fangxin18Â¥
2013-03-19 12:20
»Ø¸´
xxychris20Â¥
2013-03-19 12:23
»Ø¸´
chemistryxrw(½ð±Ò+1): лл²ÎÓë
Í¥ÔºÇàÇà21Â¥
2013-03-19 13:22
»Ø¸´
chemistryxrw(½ð±Ò+1): лл²ÎÓë
ʧÂäµÄôø¶¹22Â¥
2013-03-19 14:10
»Ø¸´
chemistryxrw(½ð±Ò+1): лл²ÎÓë
duzhong23Â¥
2013-03-19 14:20
»Ø¸´
chemistryxrw(½ð±Ò+1): лл²ÎÓë

yaoyao14526Â¥
2013-03-19 14:28
»Ø¸´
chemistryxrw(½ð±Ò+1): лл²ÎÓë
ǬÀ¤ÖÇÁÖ27Â¥
2013-03-19 14:42
»Ø¸´
chemistryxrw(½ð±Ò+1): лл²ÎÓë
@_@ [ ·¢×ÔÊÖ»ú°æ http://muchong.com/3g ]
ѪɫÀÇÂþ28Â¥
2013-03-19 14:43
»Ø¸´
chemistryxrw(½ð±Ò+1): лл²ÎÓë
×£¸£ [ ·¢×ÔÊÖ»ú°æ http://muchong.com/3g ]
ѪɫÀÇÂþ29Â¥
2013-03-19 15:11
»Ø¸´
×£¸£ [ ·¢×ÔÊÖ»ú°æ http://muchong.com/3g ]
ldy8536799630Â¥
2013-03-19 15:13
»Ø¸´
chemistryxrw(½ð±Ò+1): лл²ÎÓë
shmilyzxy31Â¥
2013-03-19 15:40
»Ø¸´
chemistryxrw(½ð±Ò+1): лл²ÎÓë
fyz723233Â¥
2013-03-20 10:50
»Ø¸´














»Ø¸´´ËÂ¥