| ²é¿´: 1644 | »Ø¸´: 15 | |||
PINGHUIľ³æ (СÓÐÃûÆø)
|
[½»Á÷]
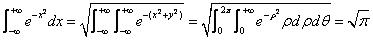
Õâ¸öº¯Êý»ý·ÖÊǶàÉÙ ÒÑÓÐ8È˲ÎÓë
|
||
|
e^(-x^2)Õâ¸öº¯ÊýµÄ»ý·ÖÊǶàÉÙѽ [ ·¢×ÔÊÖ»ú°æ http://muchong.com/3g ] |
» ²ÂÄãϲ»¶
296Çóµ÷¼Á
ÒѾÓÐ5È˻ظ´
0703»¯Ñ§µ÷¼Á
ÒѾÓÐ13È˻ظ´
085600²ÄÁÏÓ뻯¹¤ Çóµ÷¼Á
ÒѾÓÐ15È˻ظ´
085700×ÊÔ´Óë»·¾³308Çóµ÷¼Á
ÒѾÓÐ4È˻ظ´
ÉúÎïѧµ÷¼ÁÕÐÈË£¡£¡£¡
ÒѾÓÐ4È˻ظ´
0817 »¯Ñ§¹¤³Ì 299·ÖÇóµ÷¼Á ÓпÆÑоÀú ÓжþÇøÎÄÕÂ
ÒѾÓÐ17È˻ظ´
Ò»Ö¾Ô¸Î人Àí¹¤²ÄÁϹ¤³Ìר˶µ÷¼Á
ÒѾÓÐ5È˻ظ´
0856µ÷¼Á£¬ÊÇѧУ¾ÍÈ¥
ÒѾÓÐ7È˻ظ´
É격26Äê
ÒѾÓÐ3È˻ظ´
Ò»Ö¾Ô¸¼ªÁÖ´óѧ²ÄÁÏѧ˶321Çóµ÷¼Á
ÒѾÓÐ10È˻ظ´
» ±¾Ö÷ÌâÏà¹Ø¼ÛÖµÌùÍÆ¼ö£¬¶ÔÄúͬÑùÓаïÖú:
±»»ýº¯ÊýºÜ¿ìÊÕÁ²µ½0£¬ÎªÊ²Ã´»ý·Ö²»ÊÕÁ²¡£
ÒѾÓÐ3È˻ظ´
·Ö²¼º¯Êý»ý·ÖÇóÖú~
ÒѾÓÐ4È˻ظ´
ʹÓÃMultiwfn»æÖÆÔ×Ó¹ìµÀͼÐΡ¢Ñо¿Ô×ӿDzã½á¹¹¼°Ïà¶ÔÂÛЧӦµÄÓ°Ïì
ÒѾÓÐ17È˻ظ´
Îó²îº¯ÊýµÄ¶¨»ý·Ö´æÔÚ½âÎö½âÂð£¿
ÒѾÓÐ10È˻ظ´
¸ñÁÖº¯Êý »ý·Ö ÊýÖµ¼ÆËã
ÒѾÓÐ10È˻ظ´
ÇóÖú£¡£¡£¡ÎÒÏëÒªÔÚfluentÖÐÕë¶ÔÒ»¸öÃæ½øÐлý·Ö£¬ÄÇôUDFÓ¦¸ÃÓÃʲôºêº¯Êý£¿ÔõôÓã¿
ÒѾÓÐ5È˻ظ´
º¯Êý f(x)=x*tan(x) Äܹ»»ý·Öд³öÔº¯ÊýÂð ×îºÃÓйý³Ì
ÒѾÓÐ7È˻ظ´
¡¾¿Îºó´ð°¸¡¿¸´±äº¯ÊýÓë»ý·Ö±ä»»¿Îºó´ð°¸
ÒѾÓÐ5È˻ظ´
Èý½Çº¯ÊýµÄ·ÇÕûÊý´ÎÃÝ»ý·Ö f(x)'=(sinx)^(1/2)
ÒѾÓÐ8È˻ظ´
Çë½ÌÐκ¯ÊýµÄµ¼ÊýÔÚÈÎÒâËıßÐεĻý·Ö£¬Ð»Ð»
ÒѾÓÐ6È˻ظ´
Deltaº¯ÊýÈçºÎ»ý·Ö
ÒѾÓÐ3È˻ظ´
ÄÄλÊìϤ¸´±äº¯Êý£¬Õâ¸ö»ý·ÖÈçºÎÇó
ÒѾÓÐ5È˻ظ´
ÇóORIGINÄâºÏ°üº¬Òþº¯ÊýµÄ¶¨»ý·Ö·½·¨
ÒѾÓÐ6È˻ظ´
¡¾ÇóÖú¡¿deltaº¯Êýƽ·½ºó»ý·Ö
ÒѾÓÐ5È˻ظ´
¡¾×ªÌû¡¿Ò»µÀÃæÊÔÌâµÄmonte carloʵÏÖ
ÒѾÓÐ8È˻ظ´
¡¾ÇóÖú¡¿Ò»¸öÖ¸Êýº¯ÊýµÄ»ý·Ö£¡
ÒѾÓÐ3È˻ظ´
¡¾ÇóÖú¡¿Çó»ý·Ö³ÌÐòÖб»»ýº¯ÊýÎÊÌâ
ÒѾÓÐ15È˻ظ´
¡¾ÇóÖú¡¿matlab º¯Êý»ý·ÖÇóÖúлл
ÒѾÓÐ3È˻ظ´
¡¾ÇóÖú¡¿Ö»ÖªµÀÓÐÏÞ¸öº¯ÊýÖµÇó»ý·Ö
ÒѾÓÐ10È˻ظ´
¡¾ÇóÖú¡¿¸´±äº¯ÊýÖеķֲ¿»ý·Ö¹«Ê½ÊÇ·ñ³ÉÁ¢
ÒѾÓÐ8È˻ظ´
¡¾·ÖÏí¡¿¡¶¸´±äº¯ÊýÓë»ý·Ö±ä»»-Î÷±±¹¤Òµ´óѧ¡·
ÒѾÓÐ5È˻ظ´
ammay326
ľ³æ (СÓÐÃûÆø)
- Ó¦Öú: 0 (Ó×¶ùÔ°)
- ½ð±Ò: 5104.5
- Ìû×Ó: 73
- ÔÚÏß: 3.8Сʱ
- ³æºÅ: 469625
- ×¢²á: 2007-11-28
- רҵ: ¼ÆËãÊýѧÓë¿ÆÑ§¹¤³Ì¼ÆËã
¡ï
Сľ³æ: ½ð±Ò+0.5, ¸ø¸öºì°ü£¬Ð»Ð»»ØÌû
Сľ³æ: ½ð±Ò+0.5, ¸ø¸öºì°ü£¬Ð»Ð»»ØÌû
|
Õâ¸öº¯ÊýµÄÔº¯ÊýÊDz»ÄÜÓóõµÈº¯Êý±íʾµÄ£¬Ò²¾ÍÊÇÎÒÃÇͨ³£Ëù˵µÄ»ý²»³öÀ´µÄ¡£ Ò»°ãʹÓþÍÊÇÀûÓöþÖØ»ý·Ö»òÕ߸ÅÂÊͳ¼ÆÖÐÕý̬·Ö²¼ÃܶȺ¯ÊýµÄ¹æ·¶ÐÔÀ´ÇóµÃÆäÔÚ¸ºÎÞÇîµ½ÕýÎÞÇîÉϵĹãÒå»ý·ÖÊǸùºÅÅÉ£¬»òÕßÊÇÔÚ0µ½ÕýÎÞÇîÉϵĹãÒå»ý·ÖÊǶþ·ÖÖ®¸ùºÅÅÉ |
2Â¥2013-03-29 12:44:47
ammay326
ľ³æ (СÓÐÃûÆø)
- Ó¦Öú: 0 (Ó×¶ùÔ°)
- ½ð±Ò: 5104.5
- Ìû×Ó: 73
- ÔÚÏß: 3.8Сʱ
- ³æºÅ: 469625
- ×¢²á: 2007-11-28
- רҵ: ¼ÆËãÊýѧÓë¿ÆÑ§¹¤³Ì¼ÆËã
10Â¥2013-03-30 17:55:49
ammay326
ľ³æ (СÓÐÃûÆø)
- Ó¦Öú: 0 (Ó×¶ùÔ°)
- ½ð±Ò: 5104.5
- Ìû×Ó: 73
- ÔÚÏß: 3.8Сʱ
- ³æºÅ: 469625
- ×¢²á: 2007-11-28
- רҵ: ¼ÆËãÊýѧÓë¿ÆÑ§¹¤³Ì¼ÆËã
12Â¥2013-03-30 18:03:36
kelffen2
½ð³æ (СÓÐÃûÆø)
- Ó¦Öú: 9 (Ó×¶ùÔ°)
- ½ð±Ò: 826.5
- ºì»¨: 1
- Ìû×Ó: 115
- ÔÚÏß: 42.8Сʱ
- ³æºÅ: 2180951
- ×¢²á: 2012-12-11
- ÐÔ±ð: GG
- רҵ: ͳ¼ÆÑ§ÆäËûѧ¿Æ
¡ï
Сľ³æ: ½ð±Ò+0.5, ¸ø¸öºì°ü£¬Ð»Ð»»ØÌû
Сľ³æ: ½ð±Ò+0.5, ¸ø¸öºì°ü£¬Ð»Ð»»ØÌû
|
ת»¯Îª¶þÖØ»ý·ÖÀûÓü«×ø±ê±ä»»¾Í¿ÉÒÔÁË [ ·¢×ÔÊÖ»ú°æ http://muchong.com/3g ] |
4Â¥2013-03-29 14:01:30
lljianzhu
ľ³æ (ÖøÃûдÊÖ)
- Ó¦Öú: 15 (СѧÉú)
- ½ð±Ò: 7839.6
- Ìû×Ó: 1093
- ÔÚÏß: 251.8Сʱ
- ³æºÅ: 2085712
- ×¢²á: 2012-10-25
- ÐÔ±ð: GG
- רҵ: »ú¹¹Ñ§Óë»úÆ÷ÈË
¡ï
Сľ³æ: ½ð±Ò+0.5, ¸ø¸öºì°ü£¬Ð»Ð»»ØÌû
Сľ³æ: ½ð±Ò+0.5, ¸ø¸öºì°ü£¬Ð»Ð»»ØÌû
| Õâ¿Éº¯ÊýÊÇ¿ÉÒÔ»ý·Ö³öÀ´ÁË£¬¼û¡¶¸´±äº¯ÊýºÍ»ý·Ö±ä»»¡·Ò»Ê飬ÔËÓÃÁôÊý¶¨Àí£¡ |
7Â¥2013-03-29 20:15:04
zxl1025
½ð³æ (СÓÐÃûÆø)
- Ó¦Öú: 0 (Ó×¶ùÔ°)
- ½ð±Ò: 96.1
- É¢½ð: 888
- ºì»¨: 1
- Ìû×Ó: 55
- ÔÚÏß: 36.7Сʱ
- ³æºÅ: 1131160
- ×¢²á: 2010-10-25
- ÐÔ±ð: MM
- רҵ: ¸ÅÂÊÂÛÓëËæ»ú·ÖÎö
8Â¥2013-03-29 21:15:39
PINGHUI
ľ³æ (СÓÐÃûÆø)
- Ó¦Öú: 10 (Ó×¶ùÔ°)
- ½ð±Ò: 1440.1
- É¢½ð: 9
- ºì»¨: 2
- Ìû×Ó: 103
- ÔÚÏß: 62.1Сʱ
- ³æºÅ: 1795413
- ×¢²á: 2012-05-04
- ÐÔ±ð: GG
3Â¥2013-03-29 13:51:21
PINGHUI
ľ³æ (СÓÐÃûÆø)
- Ó¦Öú: 10 (Ó×¶ùÔ°)
- ½ð±Ò: 1440.1
- É¢½ð: 9
- ºì»¨: 2
- Ìû×Ó: 103
- ÔÚÏß: 62.1Сʱ
- ³æºÅ: 1795413
- ×¢²á: 2012-05-04
- ÐÔ±ð: GG
5Â¥2013-03-29 15:37:33
mydreamzyl
ľ³æ (СÓÐÃûÆø)
- Ó¦Öú: 0 (Ó×¶ùÔ°)
- ½ð±Ò: 3167
- Ìû×Ó: 243
- ÔÚÏß: 53.2Сʱ
- ³æºÅ: 1788124
- ×¢²á: 2012-04-30
- רҵ: ´ß»¯»¯Ñ§

6Â¥2013-03-29 16:04:13
¡ï
Сľ³æ: ½ð±Ò+0.5, ¸ø¸öºì°ü£¬Ð»Ð»»ØÌû
Сľ³æ: ½ð±Ò+0.5, ¸ø¸öºì°ü£¬Ð»Ð»»ØÌû
|
±¾ÌûÄÚÈݱ»ÆÁ±Î |
9Â¥2013-03-29 21:23:56













»Ø¸´´ËÂ¥