版块导航
正在加载中...
客户端APP下载
论文辅导
申博辅导
登录
注册
帖子
帖子
用户
本版
应《网络安全法》要求,自2017年10月1日起,未进行实名认证将不得使用互联网跟帖服务。为保障您的帐号能够正常使用,请尽快对帐号进行手机号验证,感谢您的理解与支持!
24小时热门版块排行榜
>
论坛更新日志
(2914)
>
虫友互识
(215)
>
文献求助
(179)
>
休闲灌水
(146)
>
导师招生
(101)
>
考博
(67)
>
硕博家园
(42)
>
教师之家
(33)
>
论文投稿
(30)
>
考研
(28)
>
绿色求助(高悬赏)
(21)
>
基金申请
(20)
>
公派出国
(19)
>
招聘信息布告栏
(18)
>
博后之家
(17)
>
论文道贺祈福
(16)
小木虫论坛-学术科研互动平台
»
计算模拟区
»
计算模拟
»
求ORIGIN拟合包含隐函数的定积分方法
7
1/1
返回列表
查看: 2288 | 回复: 6
只看楼主
@他人
存档
新回复提醒
(忽略)
收藏
在APP中查看
zh1984
木虫
(正式写手)
应助: 39
(小学生)
金币: 2498.5
红花: 6
帖子: 547
在线: 199.8小时
虫号: 564356
注册: 2008-05-27
专业: 污染控制化学
[
求助
]
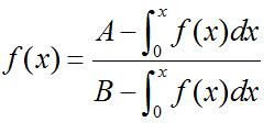
求ORIGIN拟合包含隐函数的定积分方法
函数形式如图所示,想用ORIGIN作非线性拟合,不知如何实现
回复此楼
» 猜你喜欢
杂志要求提供official language-editing certificate
已经有4人回复
深圳大学2026年秋博士招生-物理学-活性胶体方向-高永祥课题组
已经有17人回复
物理学I论文润色/翻译怎么收费?
已经有273人回复
论物质与能量的统一模型及物理现象解释
已经有0人回复
基于基元I统一理论的数学相关应用推导
已经有0人回复
基元I统一理论:宇宙本质、层级演化与修炼文明的本源规律
已经有1人回复
基元I理论下三大核心空间现象精准推导与细节解析
已经有0人回复
基于基元 I 统一理论的反重力理论推导
已经有0人回复
基于基元I统一理论的量子力学本源推导
已经有1人回复
推荐一款可以AI辅助写作的Latex编辑器SmartLatexEditor,超级好用,AI润色,全免费
已经有14人回复
【EI|Scopus 双检索】第六届智能机器人系统国际会议(ISoIRS 2026)
已经有0人回复
» 本主题相关价值贴推荐,对您同样有帮助:
origin 8.0 对数函数拟合
已经有13人回复
求教origin拟合简单的渗流方程(又称逾渗方程),做复合材料的应该会遇到吧
已经有20人回复
用origin或1stopt拟合一条隐函数方程曲线
已经有4人回复
【求助】请教大侠们:怎么将介电常数的实部和虚部在origin里面进行cole-cole 拟合?
已经有18人回复
【求助】如何用origin拟合曲线并求曲线下面积
已经有13人回复
怎么用origin拟合德拜理论
已经有17人回复
【求助】origin作曲线,怎么做趋势拟合
已经有10人回复
求助Origin8.0拟合方程
已经有6人回复
【求助】origin曲线拟合问题
已经有2人回复
【求助】origin拟合外推方程
已经有8人回复
origin7.5建立函数拟合为什么会这样?
已经有11人回复
请教关于origin中自定义函数非线性回归拟合问题!
已经有10人回复
1楼
2011-05-21 13:17:39
已阅
回复此楼
关注TA
给TA发消息
送TA红花
TA的回帖
seaharrier
铁杆木虫
(知名作家)
帝国空军中将
应助: 24
(小学生)
金币: 5768.7
散金: 2115
红花: 43
沙发: 156
帖子: 5832
在线: 717.7小时
虫号: 927863
注册: 2009-12-14
性别: GG
专业: 传热传质学
【答案】应助回帖
★
zh1984(金币+1): 谢谢回帖 2011-05-21 14:05:51
sunyang1988(金币+1): 谢谢提示 2011-05-22 21:06:32
总得写个表达式出来吧,
拟合点的求出来,没有数据点怎么拟合,
赞
一下
(1人)
回复此楼
Patienceisbitter,butitsfruitissweet.
2楼
2011-05-21 13:20:54
已阅
回复此楼
关注TA
给TA发消息
送TA红花
TA的回帖
zh1984
木虫
(正式写手)
应助: 39
(小学生)
金币: 2498.5
红花: 6
帖子: 547
在线: 199.8小时
虫号: 564356
注册: 2008-05-27
专业: 污染控制化学
引用回帖:
Originally posted by
seaharrier
at 2011-05-21 13:20:54:
总得写个表达式出来吧,
拟合点的求出来,没有数据点怎么拟合,
表达式图片显示不了么?
数据点就是两列,X和Y的数据,X是时间,这个拟合的意思曲线到X时刻的面积。
赞
一下
回复此楼
3楼
2011-05-21 14:07:18
已阅
回复此楼
关注TA
给TA发消息
送TA红花
TA的回帖
seaharrier
铁杆木虫
(知名作家)
帝国空军中将
应助: 24
(小学生)
金币: 5768.7
散金: 2115
红花: 43
沙发: 156
帖子: 5832
在线: 717.7小时
虫号: 927863
注册: 2009-12-14
性别: GG
专业: 传热传质学
【答案】应助回帖
★
sunyang1988(金币+1): 谢谢提示 2011-05-22 21:06:44
引用回帖:
Originally posted by
zh1984
at 2011-05-21 14:07:18:
表达式图片显示不了么?
数据点就是两列,X和Y的数据,X是时间,这个拟合的意思曲线到X时刻的面积。
我的意思是,能不能把函数显式表达,函数里边含函数,这个还真不知道怎么弄了
赞
一下
(1人)
回复此楼
Patienceisbitter,butitsfruitissweet.
4楼
2011-05-21 16:46:34
已阅
回复此楼
关注TA
给TA发消息
送TA红花
TA的回帖
zh1984
木虫
(正式写手)
应助: 39
(小学生)
金币: 2498.5
红花: 6
帖子: 547
在线: 199.8小时
虫号: 564356
注册: 2008-05-27
专业: 污染控制化学
引用回帖:
Originally posted by
seaharrier
at 2011-05-21 16:46:34:
我的意思是,能不能把函数显式表达,函数里边含函数,这个还真不知道怎么弄了
就是因为不能显式表达所以才难弄
赞
一下
回复此楼
5楼
2011-05-22 21:58:22
已阅
回复此楼
关注TA
给TA发消息
送TA红花
TA的回帖
longkui1990
禁虫
(正式写手)
应助: 0
(幼儿园)
贵宾: 0.065
金币: 6832.7
散金: 190
红花: 29
沙发: 1
帖子: 761
在线: 332.2小时
虫号: 1093870
注册: 2010-09-09
性别: GG
专业: 环境化工
你函数好歹也给个表达式吧
赞
一下
回复此楼
6楼
2011-05-29 11:29:31
已阅
回复此楼
关注TA
给TA发消息
送TA红花
TA的回帖
zh1984
木虫
(正式写手)
应助: 39
(小学生)
金币: 2498.5
红花: 6
帖子: 547
在线: 199.8小时
虫号: 564356
注册: 2008-05-27
专业: 污染控制化学
要能求出表达式我还用问么
赞
一下
回复此楼
7楼
2011-05-29 22:14:03
已阅
回复此楼
关注TA
给TA发消息
送TA红花
TA的回帖
相关版块跳转
第一性原理
量子化学
计算模拟
分子模拟
仿真模拟
程序语言
我要订阅楼主
zh1984
的主题更新
7
1/1
返回列表
如果回帖内容含有宣传信息,请如实选中。否则帐号将被全论坛禁言
普通表情
龙
兔
虎
猫
百度网盘
|
360云盘
|
千易网盘
|
华为网盘
在新窗口页面中打开自己喜欢的网盘网站,将文件上传后,然后将下载链接复制到帖子内容中就可以了。
信息提示
关闭
请填处理意见
关闭
确定