版块导航
正在加载中...
客户端APP下载
论文辅导
申博辅导
登录
注册
帖子
帖子
用户
本版
应《网络安全法》要求,自2017年10月1日起,未进行实名认证将不得使用互联网跟帖服务。为保障您的帐号能够正常使用,请尽快对帐号进行手机号验证,感谢您的理解与支持!
24小时热门版块排行榜
>
论坛更新日志
(2802)
>
虫友互识
(158)
>
导师招生
(147)
>
招聘信息布告栏
(48)
>
文献求助
(48)
>
硕博家园
(42)
>
考博
(33)
>
博后之家
(30)
>
公派出国
(27)
>
休闲灌水
(27)
>
基金申请
(19)
>
考研
(19)
>
论文投稿
(16)
>
教师之家
(14)
>
找工作
(14)
>
论文道贺祈福
(13)
小木虫论坛-学术科研互动平台
»
专业学科区
»
数学
»
概率论与统计
»
【在线等】求证以下对称矩阵为正定矩阵
3
1/1
返回列表
查看: 677 | 回复: 2
只看楼主
@他人
存档
新回复提醒
(忽略)
收藏
在APP中查看
本帖产生 1 个 数学EPI ,点击这里进行查看
blackmud001
铁虫
(初入文坛)
应助: 0
(幼儿园)
金币: 59.5
帖子: 5
在线: 2.1小时
虫号: 1550355
注册: 2011-12-24
性别:
MM
专业: 资源环境政策与管理
[
求助
]
【在线等】求证以下对称矩阵为正定矩阵
已有1人参与
已知系数范围是大于-1小于1,求证以下右边的对称矩阵为正定矩阵
回复此楼
» 猜你喜欢
孩子确诊有中度注意力缺陷
已经有12人回复
2025冷门绝学什么时候出结果
已经有3人回复
天津工业大学郑柳春团队欢迎化学化工、高分子化学或有机合成方向的博士生和硕士生加入
已经有4人回复
康复大学泰山学者周祺惠团队招收博士研究生
已经有6人回复
AI论文写作工具:是科研加速器还是学术作弊器?
已经有3人回复
2026博士申请-功能高分子,水凝胶方向
已经有6人回复
论文投稿,期刊推荐
已经有4人回复
硕士和导师闹得不愉快
已经有13人回复
请问2026国家基金面上项目会启动申2停1吗
已经有5人回复
同一篇文章,用不同账号投稿对编辑决定是否送审有没有影响?
已经有3人回复
» 本主题相关价值贴推荐,对您同样有帮助:
关于矩阵求逆的一个引理证明
已经有3人回复
正定矩阵因子分解~~~
已经有5人回复
怎么在一个0矩阵中产生随机分布的1小矩阵
已经有4人回复
协方差矩阵的逆矩阵的意义
已经有8人回复
方阵是否正定?
已经有4人回复
求助一道关于正定矩阵的证明题
已经有5人回复
一般矩阵对角化和实对称矩阵对角化有什么不同?
已经有7人回复
请教一个关于矩阵多项式的题目
已经有6人回复
关于半正定矩阵的一个问题
已经有8人回复
求助一个矩阵求解问题
已经有11人回复
跪求 在协方差矩阵非正定情况下,多元正态分布的概率分布函数求解方法!
已经有4人回复
一个矩阵证明题,求助!
已经有4人回复
刚度矩阵所有对角线元素全大于0,为什么它的逆矩阵算不出来,为什么不可逆
已经有7人回复
关于伴随矩阵正定的问题
已经有15人回复
设A是hermite矩阵,证明存在t大于0使得A+tE是正定的hermite矩阵
已经有5人回复
证明伴随矩阵相似
已经有3人回复
带平方根的(LLT)Cholesky算法分解对称正定矩阵 c语言实现
已经有10人回复
毕设,数学相关专业,求指导!
已经有18人回复
对称正定矩阵中绝对值大的元素在逆矩阵中相应元素的绝对值也大?
已经有5人回复
对称矩阵是正定矩阵的充分必要条件?
已经有6人回复
【求助】矩阵知识求助
已经有13人回复
【求助】关于非对称不可约矩阵分解
已经有5人回复
加油吧,坚持到最后,托福,论文
1楼
2014-04-16 09:34:18
已阅
回复此楼
关注TA
给TA发消息
送TA红花
TA的回帖
回帖置顶 ( 共有1个 )
math2000
铁杆木虫
(职业作家)
数学EPI: 2
应助: 239
(大学生)
金币: 5846.2
红花: 18
帖子: 4810
在线: 458.7小时
虫号: 235375
注册: 2006-04-01
专业: 概率论与随机分析
【答案】应助回帖
feixiaolin: 数学EPI+1, reward for helping
2014-04-18 09:05:49
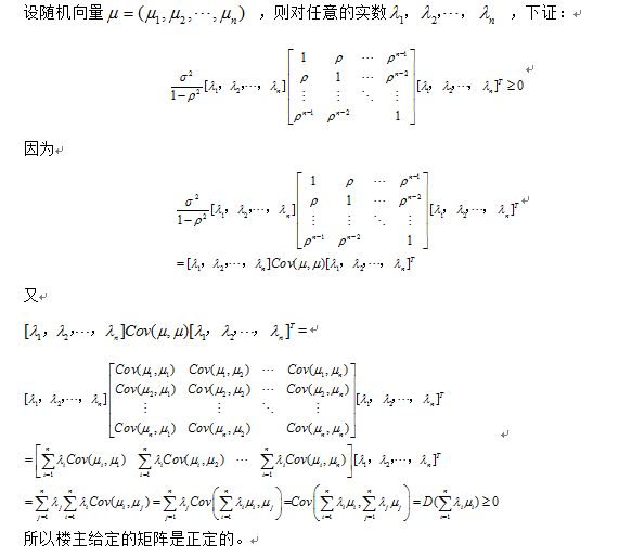
从该矩阵的定义证明,可以简单些 。即证对任意的随机变量X,其协方差矩阵Cov(X,X)是正定的。
无标题33.png
赞
一下
(1人)
回复此楼
3楼
2014-04-16 19:26:35
已阅
回复此楼
关注TA
给TA发消息
送TA红花
TA的回帖
普通回帖
hank612
至尊木虫
(著名写手)
数学EPI: 14
应助: 225
(大学生)
金币: 14270.6
散金: 1055
红花: 95
帖子: 1526
在线: 1375.8小时
虫号: 2530333
注册: 2013-07-03
性别: GG
专业: 理论和计算化学
【答案】应助回帖
★ ★ ★ ★ ★
感谢参与,应助指数 +1
blackmud001: 金币+5,
★
有帮助, 太感谢了
2014-04-16 11:20:28
矩阵正定 当且仅当 所有主子式都大于0
假设矩阵是n阶的, 那么由归纳法,可以看出det(A)= (1-pho^2)^ {n-1}.
因为最后一列 减去 rho*(倒数第二列) =(0 0 0... 0, 1-rho^2). 所以行列式等于 (1-rho^2)乘以 小一阶的同类型的行列式。
由于 -1 < rho < 1, 所以 (1- rho^2)的所有次方都是正的。
赞
一下
(1人)
回复此楼
We_must_know. We_will_know.
2楼
2014-04-16 11:10:02
已阅
回复此楼
关注TA
给TA发消息
送TA红花
TA的回帖
相关版块跳转
数理科学综合
机械
物理
数学
农林
食品
地学
能源
信息科学
土木建筑
航空航天
转基因
我要订阅楼主
blackmud001
的主题更新
3
1/1
返回列表
如果回帖内容含有宣传信息,请如实选中。否则帐号将被全论坛禁言
普通表情
龙
兔
虎
猫
百度网盘
|
360云盘
|
千易网盘
|
华为网盘
在新窗口页面中打开自己喜欢的网盘网站,将文件上传后,然后将下载链接复制到帖子内容中就可以了。
信息提示
关闭
请填处理意见
关闭
确定