当前位置:小木虫首页 >> 分子模拟

初次安装运行lammps软件出错,ERROR: Unrecognized atom style

木棉和我
各位虫友好,初次安装lammps软件,已形成lmp_serial可执行文件,采用example中in文件可正常运行。但运行自己写的文件时,出现以下错误。error:unrecognizedatomstyle\'full\'ispartofthemolecule...
分子模拟
  • 200
  • 4

相互作用势参数

FASW
做MD模拟的时候,两个体系之间的相互作用势参数咋找啊,找了很久没找到
分子模拟
  • 600
  • 12

z方向径向分布函数计算

dbsydxdm
上图表示平行于xy平面,也就是z方向上径向分布函数,没看懂什么意思,有人知道如何计算吗
分子模拟
  • 150
  • 3

求助正十六烷和2甲基十五烷的动力学直径

wwwjy1206
求助大神帮忙计算正十六烷和2甲基十五烷的动力学直径,如果能有文献参考更好
分子模拟
  • 200
  • 4

急求比较新版本的material studio,非常感谢!

Kittys
哪位虫友能分享一下比较新版本的Ms软件吗?非常感谢!
分子模拟
  • 300
  • 6

麦克斯韦分布与定义原子速度请教

13三66
请问按照文献中所说:给出原子的能量求速度,满足麦克斯韦分布的方式,这种有什么办法实现吗?在lammps里能实现吗?还是需要借助外部程序呢?求指点
分子模拟
  • 200
  • 4

想了解下国内外做共价有机骨架COF理论计算相关的课题组有哪些

linen353271
想了解下国内外做共价有机骨架COF理论计算相关的课题组有哪些
分子模拟
  • 5350
  • 107

q请教一下大佬如何选择水分子模型

开心就好~R
q请教一下大佬如何选择水分子模型
分子模拟
  • 550
  • 11

哪位有MS的安装包呀 呜呜

氧化物冶金
各位道友,有偿寻求MS,Lamps的安装包
分子模拟
  • 150
  • 3

NPT下温度偏离设定值

排盘小黄瓜
我的模型和图片中的类似,我对物块两端固定,xyz采用周期性边界条件,对两物块其余部分分别使用同样的npt,温度设置为698K,压力为1个大气压。为什么温度达不到设定的698K,并且两部分温度还不一样,求大神帮帮我
分子模拟
  • 300
  • 6

求助,使用amber18的cpptraj从轨迹文件中提取rst文件缺少速度。

zzy329372570
我想使用cpptraj从动力学轨迹文件中提取某一帧作为下一个动力学窗口的起始rst文件。指令操作如下:cpptrajparmmodel.prmtoptrajinxxx.cdf200020001trajout2000.rst7restartgo结果会生成一个20...
分子模拟
  • 250
  • 5

救救孩子,求一些比较好的工作站租借

大盼盼哈哈
实验室的电脑计算很慢,想知道哪里可以租到超算,工作站?淘宝的看了要排到节后…
分子模拟
  • 450
  • 9

MS可以研究材料的渗水性吗?刚接触这软件

郑州幼儿园
具体来说又是用哪个模块,感觉是sorption,但是吸水和渗水又不太一样
分子模拟
  • 1050
  • 21

autodock 对接前辈,请不吝赐教,在此谢过~~

坚守2012
我做对接时遇到的一个问题,提示错误:autogrid4:ERROR:ToomanyatomsinreceptorPDBQTfilemacro.pdbqt;autogrid4:ERROR:--themaximumnumberofatoms,AG_MAX_ATOM...
分子模拟
  • 350
  • 7

MS超晶胞单元质量

littlegirl
请问大家在算超晶胞质量的时候是怎么计算它的质量的?是看属性栏里给定的密度和体积嘛?为什么我计算的和论文里有出入呢?另外属性栏里密度和体积的单位是g/cm3和A埃嘛?下图这...
分子模拟
  • 500
  • 10

如何在对接口袋中逐一查看分子的不同构象

tianfu5338
在SYBYL中查看mleuculardocking分子对接结果时,在resultsbrowser中默认情况下显示的是打分最高的分子的构象,但是Cscore得分却很低,所以想换成Cscore较高的构象进行分析,但是不知道怎么换,请各位老师帮帮忙。谢谢
分子模拟
  • 300
  • 6

模拟光在皮肤中的传输(有偿)

yeyeye2
各位大神好,小弟急需模拟光在皮肤中的传输,如果有会的,愿意教我或者代做,必有重谢。
分子模拟
  • 1050
  • 21

[分子模拟书籍][中英文两本][分子模拟-从算法到应用]

二十三星瓢虫
[分子模拟书籍][中英文两本][Frenkel著汪文川译,2002,分子模拟-从算法到应用][Frenkel,2002,UnderstandingMolecularSimulationFromAlgorithmstoApplicati]之前资源没有下载链接了。...
分子模拟
  • 300
  • 6

相互作用力分析

UtoU
请问大佬们,用什么软件可以显示出小分子和蛋白质之间产生的疏水作用、范德华力啊?我用pymol只显现氢键T_T
分子模拟
  • 250
  • 5

请问用MS中的Forcite模块,如何计算高聚物分子的比热容

TJLHB
我想计算不同温度下,聚乳酸高聚物的比热容,请问如何用Forcite模块进行计算请各位大神提供一下思路,先进行哪种计算,然后再进行哪种计算。这个模块我现在会用,主要是不知道如何能计算出比热容,请大神指导,谢谢。
分子模拟
  • 600
  • 12

安装ms8.0之前一切正常,最后安装msi.lic时提示如图服务无法开始

okwl
安装ms8.0之前一切正常,最后安装msi.lic时提示如图服务无法开始BaiduShurufa_2021-5-24_23-34-11.png
分子模拟
  • 150
  • 3

如何用ovito分析位错线密度

谁!!
如题,做了一个单轴拉伸的分子动力学模拟,想要分析位错线密度随着应变变化的曲线,初级新手实在是没搞懂,请大佬赐教
分子模拟
  • 250
  • 5

求助这个脚本报错怎么解决

liyangfanf
有没有MS大神帮忙看看这个脚本报错怎么解决1SN1T$UNJIEI}2(RK0Q)0[M.png
分子模拟
  • 200
  • 4

紧急求助:分子动力学模拟确定系综的原则和依据

木棉和我
虫友好,本人采用分子动力学模拟冶金氧化物体系熔体(为液态体系,非晶态结构,结构类似于玻璃体系)的结构和性质。考虑到很多文献上都采用NVT系综,因此模拟全程采用NVT系综。现在被问选择NVT系综的合理性,请问该如何回答?最好推荐教材或文献等参考材料。
分子模拟
  • 4150
  • 83

gromacs模拟小分子构象变化

珂卡芙
gromacs使用新手,想问下各位有没有用过gromacs进行有机小分子模拟的?不考虑与蛋白结合,只是单纯考虑小分子在有机溶剂中构象的变化,不知道怎么建立除了水之外其他有机的溶剂体系,希望有了解的大神不吝赐教
分子模拟
  • 1750
  • 35

求助:根据文献参数写适合lammps中tersoff势的Albe格式问题

半寸日光
求助:请问有人根据文献里面的参数写过适合lammps中的tersoff势?可以帮忙看下我根据文献参数所写关于三种元素的tersoff中Albe格式正确吗?(参考lammp...
分子模拟
  • 700
  • 14

MD NVE系综 代码 速度校正因子

陈赛7019
请问大家,根据陈正隆先生以及Frenkel的书,可以得到下述代码,已知速度校正因子(fs,f)是为了得到当前T对应的速度,但是这样的速度是一个标量,如何来矫正矢量的速度呢...
分子模拟
  • 1600
  • 32

求助分子模拟的论文中的图片是如何绘制的,急切需求?

iamlongwei
求助如下分子模拟的论文中的图片是如何绘制的,急切需求?该图片显示清晰,且大小合适。图片在附件中。朱佳平-论文中的-图片.jpg
分子模拟
  • 300
  • 6

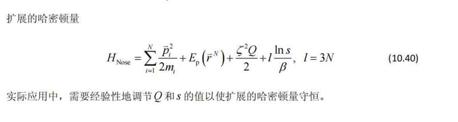
MD分子动力学模拟 NVT 代码

陈赛7019
请问大家,使用nosehoover热浴,来实现nvt系统,需要一个因子s,请问这个s的初始变量应该是多少?翻阅了几本书,没有找到初始值。在一位老师的课件上提到需要经验性的...
分子模拟
  • 200
  • 4

下载的lammps安装包无法解压

2893743529
zyxDESKTOP-6QLR75D:~$tar-xzvflammps-stable.tar.gztar(child):lammps-stable.tar.gz:Cannotopen:Nosuchfileordirectorytar(child):Errori...
分子模拟
  • 300
  • 6
下载小木虫APP
与700万科研达人随时交流
  • 二维码
  • IOS
  • 安卓