当前位置:小木虫首页 >> 有机

求助反应类型及结构特点

YC-Shmily
3-羟基苯甲酸甲酯的结构特点,这个物质能发生什么反应类型
有机
  • 350
  • 7

苯基甲基硅烷合作

mcm41
本项目需采购一批烷基苯基硅烷用做催化剂,寻求有资源的硅烷虫友代加工!
有机
  • 250
  • 5

后处理时用的硫代硫酸钠溶液如何配置?

我想拥有名字
做了一个溴代烃与碘化钠在丙酮中的反应,后处理时需要用硫代硫酸钠洗一下,请问这个硫代硫酸钠溶液的作用是什么,要怎么配置呢?请指教一下!
有机
  • 200
  • 4

三光气做不通是为什么,已经无水无氧了,有什么其它办法吗?

坦然2015
三光气做不通是为什么,已经无水无氧了,有什么其它办法吗?
有机
  • 800
  • 16

Buchwald反应一直做不出来,各种条件都试过了

兔爷爷在亚洲
最近一直在做图中这个反应,各种反应条件(图二)都用过了都没反应,求大神们帮我看看究竟哪里出问题了
有机
  • 1400
  • 28

硫代硫酸钠还原硝基

zgsong
请问合成高手:硫代硫酸钠(Na2S2O3)还原硝基,生成的硫代副产物是什么?
有机
  • 150
  • 3

这个反应能进行吗?

液晶中间体
以前类似的反应不带溴用丁基锂抜氢,在和二氟二溴甲烷反应。现在带溴,用LDA抜氢后与二氟二溴甲烷反应,是否可行
有机
  • 600
  • 12

下面这个产品怎么控制异构

xyb319412xlj
甲苯溶剂,乙醇,甲醇都当溶剂做过这个产品,拿出来的产品有效成分只有54%有没有大佬知道下,顺,反异构该怎么分开拿出来结晶时。或者怎么只让他结晶成顺式,或者反式
有机
  • 200
  • 4

这个糖苷化反应进行不下去,怎么办?

zhouxtu
请求高手协助,最近做上面的糖苷化反应,氯代糖与烟酰胺按照如图所示方法,检测不到产物,请高手指教!感激不尽!
有机
  • 150
  • 3

过柱子极性怎么确定

是泽北阿
大家过柱子时洗脱剂的极性是怎么确定的?我用下图这个极性(PE:EA=6:1)过柱子,我要的东西没冲下来,好奇怪啊(画圈的是我要的东西)
有机
  • 400
  • 8

Suzuki反应脱溴生成大量苯,希望有相关经验的朋友帮忙分析一下,谢谢

litiefu90
Suzuki反应,原料是溴苯(1eq)、苯硼酸(1.5eq)、萘(内标)、溶剂是乙醇和水=2:1,碳酸钾(2eq);催化剂均为阿拉丁的商业10%Pd/C(含有40-60%的水)。间歇反应烧瓶:60℃,1h,反应结果较好,溴苯完全转化生成联苯,特别少量苯生成。连...
有机
  • 1600
  • 32

请教一下各位与氮原子相连的氯或者溴可以和脂肪醇的羟基反应吗

捩花
看文献里苄氯是可以和醇羟基反应的,那么与氮原子相连的氯可以和脂肪醇反应吗
有机
  • 200
  • 4

求助反应机理谢谢

kiss20085537
问题1:甲醇钠如何脱去甲苯基的?问题2:Boc怎么再甲醇钠条件下也掉了?甲醇钠脱氧上甲苯基同时拖Boc.png
有机
  • 500
  • 10

令人头痛的Bayer-Villiger氧化重排

小小怪w
按照文献里的步骤做的,但是几乎没怎么反应,原料剩很多,不知道问题出在哪里,需要考虑把mCPBA换成oxone吗
有机
  • 200
  • 4

求助反应机理谢谢

kiss20085537
求助反应机理谢谢苯肼与炔.png
有机
  • 150
  • 3

请问环戊烯和氯化氢加成

youjiwoai
请问往环戊烯里充氯化氢充不进去,氯化氢好像跟环戊烯不相融,该怎么办?谁有详细步骤告诉下,谢谢。
有机
  • 150
  • 3

求助间苯二胺与氯磺酸的磺化反应

方法给iu个
求助间苯二胺与氯磺酸的磺化反应间苯二胺与氯磺酸的磺化反应,得到晶体间苯二胺双磺酸。在这个反应里有没有苯环上的其它取代的副产物,怎么判断是否有副产物以及如何取出副产物?有机小白,求帮助
有机
  • 200
  • 4

求助反应机理谢谢

kiss20085537
这个频哪醇重排机理是怎么画的?特别是Et3Al干嘛用的?频哪醇.png
有机
  • 800
  • 16

关于酚羟基上丙炔酰基的问题。

zchscau
最近在做一个这个反应,酚羟基上一个丙炔酰基,试过丙炔酸跟五氯化磷做成酰氯,可能丙炔酰氯不稳定,蒸馏过两次得到的馏分投反应没有找到产物斑点,也试过一些缩合实际比如DCC/D...
有机
  • 250
  • 5

展开剂怎么选?

ghuyk
原料点和产物点用石油醚比乙酸乙酯2:1爬的一样高,要换成什么展开剂才能爬开?
有机
  • 150
  • 3

关于如何学着解析NMR图谱的建议和解答

celan
关于如何学着解析NMR图谱的建议和解答此文编辑者李鸿成,江西农业大学生物工程专业非全日制在读研究生,现于中科院青岛生物能源与过程研究所,微生物代谢工程团队联合培养,研究方向为真菌次级代谢产物的分离鉴定,感兴趣的方向还有真菌次级代谢产物的生物合成途径。本文来自小...
有机
  • 400
  • 8

溴代烃与NaI反应制备碘代烃

我想拥有名字
实验遇到了瓶颈,请求大神指点一下。溴代烃,和5eq碘化钠在丙酮中60℃回流大概20h,用己烷洗去不溶物。TLC显示生成了一个新的点,但用硫代硫酸钠溶液后处理后就消失了.....,碘代烃没有生成,实验的问题是出在哪里了呢,请大神指点一下!
有机
  • 150
  • 3

麻烦有大佬帮忙告诉这个同分异构体是否有人分离出

mayaoling
麻烦大佬帮忙查询是否有这一对同分异构体从天然产物中分离出来~最好有大佬可以把这一对同分异构体的文献也给分享一下,谢谢辛苦了~
有机
  • 300
  • 6

求助反应机理谢谢

kiss20085537
问题1:步骤b机理问题2:步骤c第2和第3小步是干什么?问题3:步骤d第2小步是做什么?问题4:步骤e机理硼酸.png
有机
  • 250
  • 5

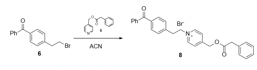
合成吡啶鎓盐的反应的反应时长

Hold阳
最近做一吡啶鎓盐的合成,文献报道反应时长在8-10h,但我反应了两天反应物还有很多,各位可以帮忙解决一下吗,谢谢!!!Asolutionofequalmumberofmo...
有机
  • 350
  • 7

这个反应怎么做

wuzicheng
我所需要的目标产物是2-溴-6-碘吡啶,原料是2.6-二溴吡啶用格式碘来上碘结果上不上去全是原料有没有其他的好方法不甚感激
有机
  • 200
  • 4

求几个核磁谱图氢谱,原始文件,fid格式的,麻烦了

wenfan610
在家练习用的,mestnova,真心感谢大家,邮箱'cherry610126.com'
有机
  • 500
  • 10

求助反应机理谢谢

kiss20085537
求助反应机理谢谢三氯三氟乙烷.png烯丙基溴和正丁基锂.png
有机
  • 300
  • 6

热熔胶涂布PET双面胶起皱问题

陇上麦田
因为之前师傅离职了,现在做的热熔胶PET双面胶都会起皱,如下面图片,图一是成品双面胶,涂布的时间没有起皱,放一两天就起皱了。试了好多方法都没有解决,之前的师傅说:PET膜...
有机
  • 2100
  • 42

求不会与H2O2反应的有机溶剂

huangjixiang
现在有一个多糖要用双氧水处理,多糖如果遇到水会吸水发粘,导致无法搅拌,想把这个多糖悬浮在有机溶剂里。咨询各位有什么有机溶剂比较惰性,不会和双氧水反应。双氧水浓度~30%,体系中加入量约2%v/v。有机溶剂还要尽可能无毒,容易洗脱,因为最后这个多糖要吃下去的
有机
  • 250
  • 5
下载小木虫APP
与700万科研达人随时交流
  • 二维码
  • IOS
  • 安卓