当前位置:小木虫首页 >> 有机

求助反应机理谢谢

kiss20085537
请大神解释产物生成机理图片26.png[LasteditedbyFlyingdragonon2021-6-11at15:32]
有机
  • 150
  • 3

溴化甲基三苯基磷和苯甲醛的wittig反应

飘scy
新手求教,溴化甲基三苯基磷和苯甲醛的wittig反应需要高温吗?水氧要求高吗?通氮气就可以了吗?在做反应的时候还有什么要特别注意的吗?求大神指点
有机
  • 150
  • 3

求一种脱O-卞基的方法

Weaving123
我的化合物里面有双键和酯基,求一种可以脱去o-苄基,但不影响双键和酯基的方法。希望各方大佬给我出出注意。
有机
  • 150
  • 3

氟氧头孢母核上甲氧基求助

jeff8554
如题,氟氧头孢母核先用次氯酸叔丁酯保护氨基,然后用甲醇锂上甲氧基,后处理用冰醋酸和亚硫酸钠,但是反应后有很多杂质,后处理完杂质更多,求哪个大神能打通这步路线?可支付费用。
有机
  • 400
  • 8

三溴化硼脱甲基没反应或板看不明白

ReunionLLL
求助各位大佬有机小白想做一个三溴化硼脱甲基的反应结构是下图样子根据一篇专利做了好几次都没反应或者就像这样一串点所以有没有什么要注意和改进的点啊跪谢各位大佬9257911D...
有机
  • 150
  • 3

求助反应机理谢谢

kiss20085537
求大神解释产物生成机理nbzhang1987图片30.png
有机
  • 200
  • 4

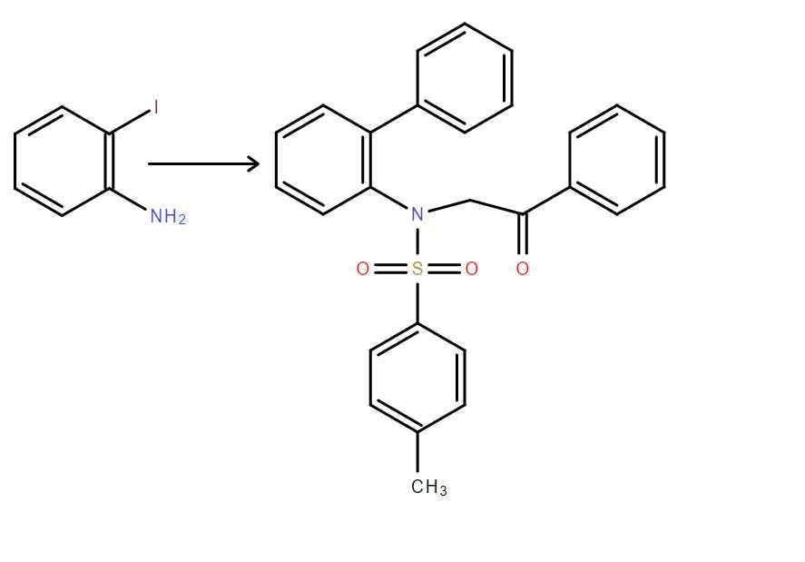
以邻碘苯胺为原料合成

++0-Vicky
邻碘苯胺怎么上对甲苯磺酰基
有机
  • 200
  • 4

硼氢化钠工业级价格

nywyf
有谁知道硼氢化钠工业级价格一吨多少钱?
有机
  • 350
  • 7

求助反应机理谢谢

kiss20085537
求助大神解释产物生成机理nbzhang1987图片31.png
有机
  • 500
  • 10

请问如何选择真空泵

ycitwg1983
各位大神,小弟最近在精馏一种有机物。沸点162℃。如果超过80℃,有机物就会发生分解。所以我想选择一种真空泵,真空度越高越好,能够使我想要的有机物在80℃以下出来。请问各位大神有好的建议吗
有机
  • 250
  • 5

烘箱内水银温度计破了

徐同学999
兄弟姐妹们,本人不小心把温度计放入烘箱里面了,现已经用硫磺处理过了,并放置室外进行通风处理。请问该怎么处理才能保证烘箱后期可以继续使用。烘箱价格比较昂贵,所以一定要尽可能让他继续能够使用
有机
  • 600
  • 12

求助反应机理谢谢

kiss20085537
解释产物生成机理画出电子转移图32.png
有机
  • 450
  • 9

这个结构稳定吗,该怎么保存

ghuyk
反应结束萃取,一旋蒸就变质,本来一个点变成几个点,浓缩后是油状液体,里面又有一颗颗的白色固体颗粒。是对热不稳定吗,可我的下一步反应又需要加热,这该怎么办
有机
  • 150
  • 3

suzuki反应中空间位阻过大反应不好应该怎么办??

龙江南浪人
suzuki反应中空间位阻过大反应不好应该怎么办??如图:111.png
有机
  • 450
  • 9

请教有机合成机理

霁月1231
如下图,请教高手,写出该反应机理。写出机理.jpg
有机
  • 250
  • 5

请问谁有scifinder帮忙查一下这个CAS No. 152637-10-0

xiangshan07
请问谁有scifinder帮忙查一下这个CASNo.152637-10-0,如果有是啥东西,没有也麻烦告诉一下,万分感谢,急。
有机
  • 400
  • 8

CDI活化硫辛酸,和纤维素发生酯化反应

cghbkkk
求助!我用CDI做羧酸活化剂,DMAC做溶剂,室温下和硫辛酸反应12h后加DMAC/LICI溶的纤维素溶液60℃反应16h没有酯化反应发生是因为什么呀,摩尔比为1:1:1
有机
  • 150
  • 3

哌啶可以用什么替代

komorebiJY
哌啶作为催化剂,什么东西可以替代哌啶
有机
  • 650
  • 13

怎么制氮气球?

chengeke
怎么制氮气球?非化学人士,不太懂这个。是否可以直接用装有减压阀的高压氮气瓶直接充气球。
有机
  • 200
  • 4

求助反应机理谢谢

kiss20085537
请大神帮忙解释产物生成机理34.pngForster重氮化合物.png
有机
  • 500
  • 10

求BB酸生产工艺

孤独的起点
求BB酸生产工艺,我有市场,可以合作
有机
  • 400
  • 8

蒽硼酸及硼酸酯suzuki偶联反应中的脱硼问题

tongbihai
本人用蒽硼酸及硼酸酯在suzuki偶联反应中发现这些原料都发生了脱硼反应,没有得到目标产物,条件是THF/H2Oordioxane/H2O,催化剂Pd(dppf)Cl.DCM,K2CO3,请问各位高手,如何避免脱硼的副反应?
有机
  • 200
  • 4

草酰氯的反应机理是什么

妖精
一个酸做酰氯的反应,加入DMF和草酰氯,在反应液中草酰氯形成目标酰氯以后剩余的结构是什么?请各位前辈指点
有机
  • 250
  • 5

Salen配体合成 环己二胺

komorebiJY
1:要做salen不对称合成,已经接好一边了,接另一边的时候怎么都不反应,怎么办2.salen配体是不是一般都是产生沉淀?3.有什么催化剂推荐吗4.如果溶剂加多了,是不是产生的沉淀又不见了,另外为什么产生沉淀后就必须立即停止加热,过滤
有机
  • 150
  • 3

求助反应机理谢谢

kiss20085537
解释产物生成机理,画出电子转移图,解释反应发生的位点选择性。烯炔.png35.png
有机
  • 400
  • 8

内酯开环成叔丁酯

ywyin
内酯开环成叔丁酯遇到难题,请兄弟姐妹提出宝贵建议!
有机
  • 150
  • 3

去除痕量的DMF

gypsophila-
救命啊,麻烦问一下用DMF做溶剂合成了配合物之后打核磁DMF一直不能除干净,请问有什么方法可以去除痕量的DMF啊
有机
  • 150
  • 3

反应条件优化或相关机理文献

dzxns
求教图片中反应的机理文献或者条件优化方法。目前采用的是对甲苯磺酸一水合物进行催化。反应重复性差,后处理过程杂质增多。杂质跟产物主要片段相同,很难确定分子量。欢迎大家提出宝...
有机
  • 200
  • 4

已知确定结构的化合物,测试质谱显示的分子量多了32,求解析

园园1989
化合物是肯定的,很常见的一个配体。结构和质谱测试结果附图中。溶剂是色谱甲醇
有机
  • 150
  • 3

求助反应机理谢谢

kiss20085537
求助反应机理谢谢Passerini反应.png36.png
有机
  • 400
  • 8
应助之星
下载小木虫APP
与700万科研达人随时交流
  • 二维码
  • IOS
  • 安卓