小木虫
登陆
|
注册
首页
导读
期刊
发现
社区
招聘老师
当前位置:
小木虫首页
>> 有机
马尿酸乌洛托品的合成
ziyi2010
小弟正在用马尿酸和乌洛托品一步成盐,试了好些条件,都没得到新的点(TLC),手头又查不到文献。哪位大佬有相关文献或经验,能否指点一下,谢谢。金币不多,如需其他费用,请私信。
有机
200
4
求助反应机理谢谢
kiss20085537
第一小步做何用?TMSCl.png
有机
150
3
羟胺这个东西,有没有对应的有机物?
wolfyloner
羟基和氨基,都是可以接到碳原子上得到相应的纯和胺的,但是羟胺这种东西,也就是HO-NH2,有没有和碳相连后的结构?比如R-O-NH2,或者R-NH-OH?我只知道有肟这个东西,是羟胺和酮脱水得到的亚胺结构,R=N-OH,但有没有不是双键,而是单键的结构呢?
有机
200
4
如何除去氟化钠?
fcjxd
反应结束后,如果把过量的氟化钠处理?反应体系中可能残留未反应完的氯磺酰异氰酸酯
有机
1050
21
求助反应机理谢谢
kiss20085537
求助反应机理谢谢内酯.png吲哚.png
有机
350
7
SciFinder n 用不习惯,如何切换到旧版本的scifinder
dwdmyl1987
SciFindern用不习惯,如何切换到旧版本的scifinder
有机
600
12
有机化合物氨基酸怎样从无机盐中提取出来
pdsxywlz
最近在做一个有机化合物氨基酸,其游离态在无机盐中,该氨基酸水和甲醇好溶,极性很大,其他溶剂如ea和dcm几乎不溶,怎样从无机盐中提取该氨基酸,谢谢
有机
150
3
请教一下傅克酰基化反应问题
金鳞stone
各位大佬,想请教一下傅克酰基化反应问题,(囧,发不了图片):第一次反应用AlCl3--2eq,乙酰氯-2eq冰浴滴加,滴加完后慢慢升温到室温再总共反应了约4小时,期间溶液颜色从棕色变化到淡棕黄色,点板原料没有了,出口的地方PH试纸还是会变红。后处理加入到冰水酸...
有机
550
11
求助反应机理谢谢
kiss20085537
求助反应机理谢谢2-氨基噻唑.png高碘酸钠,Ru2O.png
有机
250
5
问一个关于三光气的问题
larrry
羧酸用三光气做酰氯,羧酸先溶解在二氯甲烷中,加入催化剂,加热回流下滴加三光气的二氯甲烷溶液,因为要求必须使用二氯甲烷作溶剂,筛选过的催化剂有三乙胺、DMAP、DMF,催化剂用量5%左右,反应均非常慢,24h才反应10%左右,大家有什么建议吗?
有机
450
9
二氯乙烷冷冻结晶
隔壁王伯
请问一下,二氯乙烷熔点在-30℃左右,甲苯在-98℃,二者混合溶剂,我放在-30℃冷冻,二氯乙烷为什么不结晶?是缺少晶核吗?如果是晶核问题的话,哪些物质可当晶核可用
有机
150
3
微乳液的助表面活性剂的选择
yuanshuai120
聚乙二醇,乙二醇,正辛醇的可以做为助表面活性剂吗
有机
3750
75
最近在做一个丙二腈和酮的反应
ptnm8281
查了文献说是用醋酸铵,醋酸,甲苯,回流,但是感觉不反应,这个反应需要通氩气吗?因为我看反应过程中需要生成水,还有这个反应产物的点tlc点板极性比原料大一点点吗?
有机
300
6
合成酯 树脂的选择相关资料(L抗坏血酸棕榈酸酯合成)
xyb319412xlj
想用树脂催化合成L抗坏血酸棕榈酸酯,不知道该怎么选择树脂,怎么用树脂?大佬们有做过这块的指点下,或有资料的帮助下谢谢。
有机
1000
20
求助2,3,5,6-四甲基苯合成均苯四甲酸的方法,十分感谢!
融融李市民
求助2,3,5,6-四甲基苯合成均苯四甲酸的合成方法;目前找到一点利用二甲基苯卤化水解合成苯二甲醛的一点知识,没有找到苯四羧酸的方法,期待各位老师的帮助,十分感谢!合成P...
有机
150
3
东京理化旋蒸哪一款适合高校有机实验室?
qq0001
有机化学实验室,哪一款比较适合?他们家比较多的类型
有机
800
16
求助怎么更好的把这个溴变羟基。
幽葉
我试过tBu-xs(/Bretty)phos,四丁基氢氧化铵,硼酸三异丙酯等方法,都不理想。
有机
750
15
叔丁基锂会和氮气反应吗?
zhao12136
如题,请问叔丁基锂会和氮气发生反应吗
有机
250
5
NMR自动解普软件
zjb-lufia
NMR自动解普软件,这是剑桥大学goodman发的一个软件,可以自动解读nmr核磁谱文件,得到结构图。软件是源文件python程序。如何使用,请大神研究分享下!微信图片_...
有机
1200
24
关于醛酯克莱森缩合反应
youngfoul
反应式如图:体系为现配的甲醇钠甲醇溶液(也试过乙醇钠乙醇溶液),试过用酮和酯的混合甲苯溶液滴加冰浴下的甲醇钠的甲醇与甲苯混合溶剂,然后再加热50度反应,过了2h左右原料点...
有机
200
4
做的盐酸盐产品不知道哪来的水进去了,产品全溶了怎么办?
路遥且艰
好几百克,过程中一点水都没用,就用了甲苯跟乙醇,结果旋蒸浓缩的时候一直旋不出来,然后试了试发现是水,还有办法挽救吗
有机
450
9
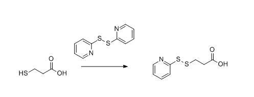
巯基丙酸与二硫二吡啶反应
Cherry-oc
求助,谁做过这个,方法以及如何提纯,谢谢7dfb6f885188894d91e7a6a2c0d0440.png
有机
200
4
求助反应机理谢谢
kiss20085537
求助反应机理谢谢环内酰肼.png
有机
150
3
漂白实验可以在有机溶剂中进行吗?
469093457
请问漂白实验(氧化还原反应)可以在有机溶剂中进行吗?
有机
150
3
有机和无机的区别
wendy2021007
请问有机合成和无机合成的区别,
有机
300
6
有比BDTT的给电子能力更好的给体吗?
章小鱼96
想问问各位大佬,由于我的反应中需要两个溴元素来聚合,想找比BDTT更好的给体,大家有什么推荐的吗,求求了,救救孩子吧!
有机
200
4
求助反应机理谢谢
kiss20085537
求助反应机理谢谢炔醛.png格氏试剂.png
有机
250
5
求助反应机理谢谢
kiss20085537
求助反应机理谢谢N-O化物.png移位.png吲哚.png烯丙胺.png醇到酸.png
有机
150
3
求助萨利麝香乙酰化反应的替代溶剂
losp1234
求助该反应的替代溶剂,试过二氯乙烷,二氯甲烷、四氯乙烯,都没有四氯化碳的效果好,有没有什么其他的溶剂可以替代,求大神指导。截图_20214605094624.jpg
有机
250
5
硅胶板薄层法刮板能保存多久?
哈果6666
硅胶板薄层法刮板下来的物质,先不用洗脱剂洗脱下来,能保存多久?
有机
350
7
30902
1 ...
‹‹
2
3
4
5
6
7
››
... 1031
板块导航
网络生活
育儿交流
健康生活
有奖问答
资源共享
课件资源
试题资源
化学化工
有机
高分子
无机物化
分析
催化
工艺技术
化工设备
化工
精细化工
电化学
环境
专业学科
机械
物理
数学
农林
食品
地学
能源
信息科学
理工农林
科研生活
博后之家
专业外语
外语学习
导师招生
找工作
招聘信息
考研
考博
公务员
生物医药
新药研发
药学
药品生产
分子生物
微生物
动植物
生物科学
医学
材料
材料
材料工程
微米纳米
晶体
金属
非金属
生物材料
功能材料
复合材料
计算模拟
第一原理
量子化学
计算模拟
分子模拟
仿真模拟
程序语言
学术交流
论文投稿
基金申请
学术会议
出国留学
留学生活
公派出国
访问学者
海外博后
留学DIY
签证指南
出国考试
海外院所
注册执考
化工工程师
执业药师
执业医师
环境工程师
会计师
注册考试
24小时热帖
换一批
0854复试调剂 276
5
欢迎采矿、地质、岩土、计算机、人工智能等专业的同学报考
6
0857调剂
5
279求调剂
4
284求调剂
8
应助之星
houyaoxu
+关注
babero
+关注
ccp273206157
+关注
tfang
+关注
ms629
+关注
下载小木虫APP
与700万科研达人随时交流
二维码
IOS
安卓
欢迎监督和反馈
:小木虫仅提供交流平台,不对该内容负责。
欢迎协助我们监督管理,共同维护互联网健康,违规贴举报删除请联系邮箱:xiaomuchong@tal.com
(点此查看侵权举报方式)
我们保证在7个工作日内给予处理和答复,谢谢您的监督。
©2001-2026 muchong.com,小木虫
京ICP备16008351号
京公网安备 11010802022153号
Copyright © 2001-2026 muchong.com, All Rights Reserved. 小木虫 版权所有