版块导航
正在加载中...
客户端APP下载
论文辅导
申博辅导
登录
注册
帖子
帖子
用户
本版
应《网络安全法》要求,自2017年10月1日起,未进行实名认证将不得使用互联网跟帖服务。为保障您的帐号能够正常使用,请尽快对帐号进行手机号验证,感谢您的理解与支持!
24小时热门版块排行榜
>
论坛更新日志
(3770)
>
虫友互识
(317)
>
文献求助
(192)
>
硕博家园
(100)
>
休闲灌水
(95)
>
导师招生
(94)
>
考博
(90)
>
招聘信息布告栏
(73)
>
论文投稿
(58)
>
博后之家
(43)
>
基金申请
(42)
>
教师之家
(42)
>
找工作
(38)
>
论文道贺祈福
(35)
>
考研
(31)
>
绿色求助(高悬赏)
(19)
小木虫论坛-学术科研互动平台
»
专业学科区
»
数学
»
基础数学
»
偏微分方程极值原理相关应用求助
3
1/1
返回列表
查看: 2364 | 回复: 2
只看楼主
@他人
存档
新回复提醒
(忽略)
收藏
在APP中查看
bressnon
新虫
(初入文坛)
应助: 0
(幼儿园)
金币: 94.8
帖子: 10
在线: 8.6小时
虫号: 3564316
注册: 2014-11-28
专业: 计算数学与科学工程计算
[
求助
]
偏微分方程极值原理相关应用求助
已有1人参与
设
是有界区域,
,满足
in
.
证明:
.
回复此楼
» 猜你喜欢
AI论文写作工具:是科研加速器还是学术作弊器?
已经有5人回复
Bioresource Technology期刊,第一次返修的时候被退回好几次了
已经有8人回复
寻求一种能扛住强氧化性腐蚀性的容器密封件
已经有7人回复
到新单位后,换了新的研究方向,没有团队,持续积累2区以上论文,能申请到面上吗
已经有8人回复
申请2026年博士
已经有6人回复
请问哪里可以有青B申请的本子可以借鉴一下。
已经有5人回复
天津工业大学郑柳春团队欢迎化学化工、高分子化学或有机合成方向的博士生和硕士生加入
已经有5人回复
2025冷门绝学什么时候出结果
已经有7人回复
请问有评职称,把科研教学业绩算分排序的高校吗
已经有6人回复
康复大学泰山学者周祺惠团队招收博士研究生
已经有6人回复
» 本主题相关价值贴推荐,对您同样有帮助:
求助二阶偏微分方程求解
已经有13人回复
强极值原理的证明过程求教
已经有9人回复
寻求伙伴一起自学偏微分方程
已经有27人回复
[求助]求解极座标上的偏微分方程(Laplace’s Equation)!!!!
已经有6人回复
求随机微分方程的相关课件或资料
已经有4人回复
求助非线性常微分方程和常系数双曲偏微分方程求解
已经有7人回复
搞传热的虫子求助:遇到有变量相乘的偏微分方程组如何离散?
已经有16人回复
matlab解偏微分方程求助
已经有12人回复
求助 一阶线性偏微分方程 拉格朗日法求解
已经有6人回复
脉冲微分方程内涵
已经有3人回复
【求助】用pdepe求解偏微分方程
已经有10人回复
【求助】求推荐偏微分方程书籍
已经有9人回复
【求助】MATLAB 有限差分法(FDM)求解偏微分方程
已经有22人回复
【求助】求助PDEPE函数求解高阶偏微分方程 :D
已经有5人回复
【求助】急请微分方程高手看下这个方程组!
已经有14人回复
【求助】matlab怎么求解偏微分方程组啊,先谢谢了
已经有13人回复
【求助】有限元法求解二阶偏微分方程组
已经有6人回复
【求助】求助用matlab解偏微分方程
已经有15人回复
【讨论】复变函数的最大模原理
已经有6人回复
【求助】学好偏微分方程的基础
已经有30人回复
【求助】关于欧拉-拉格朗日方程(Euler-Lagrange equation)【已解决】
已经有11人回复
【求助】偏微分方程的基本解
已经有5人回复
【求助】偏微分方程解法
已经有19人回复
1楼
2015-06-27 18:54:50
已阅
回复此楼
关注TA
给TA发消息
送TA红花
TA的回帖
终之太刀—晓
铁杆木虫
(著名写手)
数学爱好者
数学EPI: 7
应助: 282
(大学生)
贵宾: 0.018
金币: 2934.2
散金: 5589
红花: 53
帖子: 1809
在线: 401.6小时
虫号: 3469007
注册: 2014-10-12
性别:
MM
专业: 偏微分方程
个人想法:(1<=i<=n) {(u_xi)^2}应该在Ω上有一致的界,并记为M, M>0(排除u≡C的情形,若u是常数,证明是平凡的).
从而0<=原方程<=Δu+M*(u_x1+u_x2+…+u_xn),将方程线性化,再利用线性的弱极大值原理,即可推出要证的结论。
赞
一下
回复此楼
PreferenceforMathematics
2楼
2015-06-27 20:34:42
已阅
回复此楼
关注TA
给TA发消息
送TA红花
TA的回帖
终之太刀—晓
铁杆木虫
(著名写手)
数学爱好者
数学EPI: 7
应助: 282
(大学生)
贵宾: 0.018
金币: 2934.2
散金: 5589
红花: 53
帖子: 1809
在线: 401.6小时
虫号: 3469007
注册: 2014-10-12
性别:
MM
专业: 偏微分方程
【答案】应助回帖
★ ★ ★ ★ ★
感谢参与,应助指数 +1
bressnon: 金币+5,
★★★
很有帮助
2015-06-28 18:34:07
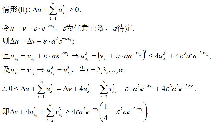
RT:
3.png
4.png
5.png
赞
一下
(1人)
回复此楼
PreferenceforMathematics
3楼
2015-06-28 13:51:51
已阅
回复此楼
关注TA
给TA发消息
送TA红花
TA的回帖
相关版块跳转
数理科学综合
机械
物理
数学
农林
食品
地学
能源
信息科学
土木建筑
航空航天
转基因
我要订阅楼主
bressnon
的主题更新
3
1/1
返回列表
如果回帖内容含有宣传信息,请如实选中。否则帐号将被全论坛禁言
普通表情
龙
兔
虎
猫
百度网盘
|
360云盘
|
千易网盘
|
华为网盘
在新窗口页面中打开自己喜欢的网盘网站,将文件上传后,然后将下载链接复制到帖子内容中就可以了。
信息提示
关闭
请填处理意见
关闭
确定