| 查看: 1243 | 回复: 5 | ||||
[求助]
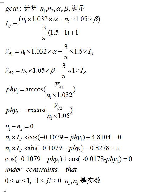
带限制的多变量非线性方程组求解
|
||||
|
|
||||
feixiaolin荣誉版主 (文坛精英)
|
|
|||
|
2楼2015-06-08 10:07:30
|
|
|||
|
3楼2015-06-08 11:11:10
|
|
|||
feixiaolin荣誉版主 (文坛精英)
|
||||
|
4楼2015-06-08 11:53:00
|
|
|||
|
5楼2015-06-08 13:39:22
|
|
|||
![]() |
||||
|
6楼2015-06-14 20:49:11
|
|














回复此楼
