| 查看: 606 | 回复: 2 | ||
napxy木虫 (著名写手)
|
[求助]
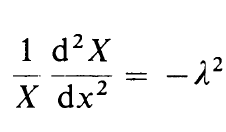
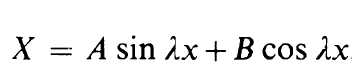
求解二阶线性常微分方程的通解,请赐教,谢谢! 已有2人参与
|
|
|
|
||
终之太刀—晓铁杆木虫 (著名写手)
数学爱好者
|
【答案】应助回帖
★ ★ ★ ★ ★ ★ ★ ★ ★ ★
感谢参与,应助指数 +1 napxy: 金币+10 2015-03-30 17:45:16 |
|
![]() |
||
|
2楼2015-03-30 17:29:09
|
|
|
peterflyer
|
【答案】应助回帖
★ ★ ★ ★ ★ ★ ★ ★ ★ ★
感谢参与,应助指数 +1 napxy: 金币+10 2015-03-30 21:38:54
|
|
|
3楼2015-03-30 18:52:50
|
|













回复此楼

