| ²é¿´: 1011 | »Ø¸´: 7 | |||
ÎÒÒª·ÉÌú³æ (ÕýʽдÊÖ)
|
[ÇóÖú]
²»µÈʽµÄÖ¤Ã÷ ÒÑÓÐ1È˲ÎÓë
|
|
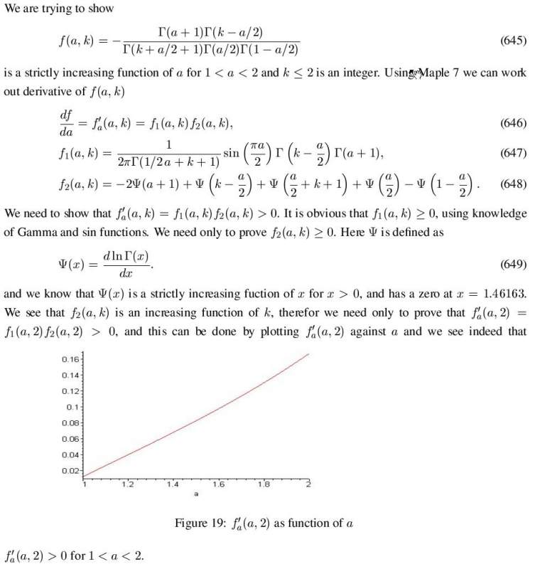
µ±k=2,1<a<2ÇÒt>0ʱ£¬ÈçºÎµÃµ½ |
» ÊÕ¼±¾ÌûµÄÌÔÌûר¼ÍƼö
ÊýѧÎÊÌ⼯½õ |
» ²ÂÄãϲ»¶
271Çóµ÷¼Á
ÒѾÓÐ30È˻ظ´
²ÄÁÏÀà284µ÷¼Á
ÒѾÓÐ50È˻ظ´
291·Öµ÷¼Á
ÒѾÓÐ9È˻ظ´
µ÷¼ÁÇóÊÕÁô
ÒѾÓÐ34È˻ظ´
291 Çóµ÷¼Á
ÒѾÓÐ38È˻ظ´
22408 312Çóµ÷¼Á
ÒѾÓÐ17È˻ظ´
Ò»Ö¾Ô¸»ªÖÐũҵ071010£¬320Çóµ÷¼Á
ÒѾÓÐ6È˻ظ´
290µ÷¼ÁÉúÎï0860
ÒѾÓÐ41È˻ظ´
291Çóµ÷¼Á
ÒѾÓÐ3È˻ظ´
211±¾¿Æ²ÄÁÏ»¯¹¤Çóµ÷¼Á
ÒѾÓÐ23È˻ظ´
» ±¾Ö÷ÌâÏà¹Ø¼ÛÖµÌùÍÆ¼ö£¬¶ÔÄúͬÑùÓаïÖú:
Ò»¸öÊýѧ²»µÈʽµÄÖ¤Ã÷Ì⣬Çó½»Á÷
ÒѾÓÐ4È˻ظ´
Ö¤Ã÷¶àÏîʽÔÚÓÐÀíÊýÓòÉϲ»¿ÉÔ¼
ÒѾÓÐ6È˻ظ´
´óÉñÃÇÀ´¿´ÏÂÕâÑùµÄÒ»¸öµÈʽµÄÖ¤Ã÷¡£ÇóÖ¸½Ì£¬Ð»Ð»ÁË£¡£¡£¡
ÒѾÓÐ4È˻ظ´
´óÉñ£¡Õâ¸öÇ󶨻ý·Ö²»µÈʽµÄÖ¤Ã÷Ôõô×öÄØ£¿
ÒѾÓÐ3È˻ظ´
·¢ÏÖgammaº¯ÊýÒ»¸öƯÁÁµÄ²»µÈʽÐÔÖÊ
ÒѾÓÐ5È˻ظ´
ÇóÖú£ºÔõô֤Ã÷Õâ¸öÊýѧʽ×Ó£¿£¿
ÒѾÓÐ6È˻ظ´
²»Í¬Î¬ÊýÏòÁ¿¼Ð½ÇµÄ¼ÆËã
ÒѾÓÐ8È˻ظ´
Banach ¿Õ¼äµÄÒ»¸öÎÊÌâ
ÒѾÓÐ4È˻ظ´
ÔÙ´ÎÇóÖúÏòÁ¿¿Õ¼äάÊýµÄÒ»¸ö²»µÈʽ֤Ã÷ Ö¤ÁËÒ»¸öÊî¼ÙÁË
ÒѾÓÐ13È˻ظ´
¸ßµÈÊýѧ²»µÈʽ֤Ã÷
ÒѾÓÐ6È˻ظ´
Êýѧ¶þµÄÖ¤Ã÷ÌâÔõô¸´Ï°°¡£¬ÏÖÔںþÀ½á
ÒѾÓÐ7È˻ظ´
Hermite¾ØÕóµÄÌØÕ÷Öµ¼ÆËãÎÊÌâ
ÒѾÓÐ6È˻ظ´
ÈÎÒ»n½×¸´¾ØÕó×Ü¿ÉΨһ±íʾΪһ¸öhermite¾ØÕóºÍÒ»¸ö·´hermite¾ØÕóÖ®ºÍ¡£
ÒѾÓÐ5È˻ظ´
Á½µÀÏßÐÔ´úÊýµÄÖ¤Ã÷Ìâ
ÒѾÓÐ21È˻ظ´
Ò»¸ö¼òµ¥µÄÊýѧ֤Ã÷Ìâ
ÒѾÓÐ8È˻ظ´
Çóµ¼Êý²»µÈʽºÍ»ý·Ö²»µÈʽµÄÖ¤Ã÷·½·¨
ÒѾÓÐ8È˻ظ´
±ÏÉ裬ÊýѧÏà¹Ø×¨Òµ£¬ÇóÖ¸µ¼£¡
ÒѾÓÐ18È˻ظ´
Ò»¸ö¸´¾ØÕó²»µÈʽµÄÖ¤Ã÷
ÒѾÓÐ6È˻ظ´
ÇóÖúÒ»µÀ²»µÈʽµÄÖ¤Ã÷-----Ö¤Õæ»ò֤α
ÒѾÓÐ4È˻ظ´
Çë½ÌÈçºÎÖ¤Ã÷Õâ¸ö²»µÈʽ£¿
ÒѾÓÐ5È˻ظ´
ǰ±²¸ßÊÖ¸æËßÄ㿼ÑÐÊýѧ±Ê¼Ç¸ÃÔõô×ö²ÅºÃ£¿
ÒѾÓÐ14È˻ظ´
ÈçºÎÖ¤Ã÷Al£¨OH£©3´æÔÚ
ÒѾÓÐ8È˻ظ´
¡¾ÇóÖú¡¿Ò»¸ö²»µÈʽµÄÖ¤Ã÷
ÒѾÓÐ4È˻ظ´
feixiaolin
ÈÙÓþ°æÖ÷ (ÎÄ̳¾«Ó¢)
-

ר¼Ò¾Ñé: +518 - Ó¦Öú: 942 (²©ºó)
- ¹ó±ö: 1.275
- ½ð±Ò: 3880
- É¢½ð: 58785
- ºì»¨: 532
- ɳ·¢: 11
- Ìû×Ó: 24215
- ÔÚÏß: 2601.8Сʱ
- ³æºÅ: 2139575
- ×¢²á: 2012-11-21
- רҵ: ¹âѧÐÅÏ¢»ñÈ¡Óë´¦Àí
- ¹ÜϽ: Êýѧ
2Â¥2014-12-11 20:50:13
pippi6
Ìú¸Ëľ³æ (ÖøÃûдÊÖ)
¹¤³ÌºÍ¿ÆÑ§ÊýÖµ¼ÆËã×Éѯ
- ÊýѧEPI: 6
- Ó¦Öú: 413 (˶ʿ)
- ¹ó±ö: 0.002
- ½ð±Ò: 7116.5
- É¢½ð: 15
- ºì»¨: 63
- Ìû×Ó: 1639
- ÔÚÏß: 798.9Сʱ
- ³æºÅ: 2469437
- ×¢²á: 2013-05-14
- רҵ: ¼ÆËãÊýѧÓë¿ÆÑ§¹¤³Ì¼ÆËã
3Â¥2014-12-11 20:54:17
ÎÒÒª·É
Ìú³æ (ÕýʽдÊÖ)
- Ó¦Öú: 0 (Ó×¶ùÔ°)
- ½ð±Ò: 1515.3
- É¢½ð: 144
- ºì»¨: 5
- Ìû×Ó: 458
- ÔÚÏß: 591.2Сʱ
- ³æºÅ: 671362
- ×¢²á: 2008-12-09
- רҵ: ¼ÆËãÊýѧÓë¿ÆÑ§¹¤³Ì¼ÆËã
4Â¥2014-12-11 21:21:25
pippi6
Ìú¸Ëľ³æ (ÖøÃûдÊÖ)
¹¤³ÌºÍ¿ÆÑ§ÊýÖµ¼ÆËã×Éѯ
- ÊýѧEPI: 6
- Ó¦Öú: 413 (˶ʿ)
- ¹ó±ö: 0.002
- ½ð±Ò: 7116.5
- É¢½ð: 15
- ºì»¨: 63
- Ìû×Ó: 1639
- ÔÚÏß: 798.9Сʱ
- ³æºÅ: 2469437
- ×¢²á: 2013-05-14
- רҵ: ¼ÆËãÊýѧÓë¿ÆÑ§¹¤³Ì¼ÆËã
5Â¥2014-12-11 23:04:10
ÎÒÒª·É
Ìú³æ (ÕýʽдÊÖ)
- Ó¦Öú: 0 (Ó×¶ùÔ°)
- ½ð±Ò: 1515.3
- É¢½ð: 144
- ºì»¨: 5
- Ìû×Ó: 458
- ÔÚÏß: 591.2Сʱ
- ³æºÅ: 671362
- ×¢²á: 2008-12-09
- רҵ: ¼ÆËãÊýѧÓë¿ÆÑ§¹¤³Ì¼ÆËã
6Â¥2014-12-11 23:30:01
hank612
ÖÁ×ðľ³æ (ÖøÃûдÊÖ)
- ÊýѧEPI: 14
- Ó¦Öú: 225 (´óѧÉú)
- ½ð±Ò: 14270.6
- É¢½ð: 1055
- ºì»¨: 95
- Ìû×Ó: 1526
- ÔÚÏß: 1375.8Сʱ
- ³æºÅ: 2530333
- ×¢²á: 2013-07-03
- ÐÔ±ð: GG
- רҵ: ÀíÂۺͼÆË㻯ѧ
¡ï ¡ï ¡ï
ÎÒÒª·É(feixiaolin´ú·¢): ½ð±Ò+3 2014-12-13 15:37:11
ÎÒÒª·É(feixiaolin´ú·¢): ½ð±Ò+3 2014-12-13 15:37:11
|
ÎÒÃÇ¿ÉÒÔ³¢ÊÔ×ÅÁãÇÃţƤÌÇ, À´µÃµ½ÏëÒªµÄ. (Èç¹ûÒªÖ¤Ã÷µÄ»°, ¾Í´ÓºóÍùǰд). Ϊ·½±ãÆð¼û, Áîa=2A, ÓÚÊÇ ¹ØÓÚGammaº¯Êý http://en.wikipedia.org/wiki/Gamma_function 1. ÏÈ¿´¿´kÆðµÄ×÷ÓÃ. µ±kÔö¼Ó1ʱ, µ± 2.µ±k =2ʱ, ×î¿ìµÄ·½·¨ÊÇ¿´Í¼¿É¼ûµ¥µ÷Ͻµ, ¼Ó¾äÆÀÂÛ"ÏÔÈ»". ±¿Ò»µãµÄ°ì·¨ÊÇ: ÀûÓà ֪µÀ ÓÚÊÇ´úÈëÉÏÃæÊ½×Ó, È¡¶ÔÊýLog (ÒòΪLog(f(x))ºÍf(x)ÓÐÏàͬµÄµ¥µ÷ÐÔÖÊ), ¿´µ¼º¯ÊýÊÇ·ñÔÚ[1/2, 1]ÉÏСÓÚÁã. µ¼º¯Êýд³öÀ´ÊÇ(°ÑAд³Éx, ¿´ÆðÀ´Êæ·þЩ): ÈËÁ¦ÓÐʱ¶øÇî. ÀûÓÃÈí¼þ, ÖªµÀ ËùÒÔµ¼Êý<0, ËùÒÔº¯ÊýµÝ¼õ. |

7Â¥2014-12-12 08:19:36
pippi6
Ìú¸Ëľ³æ (ÖøÃûдÊÖ)
¹¤³ÌºÍ¿ÆÑ§ÊýÖµ¼ÆËã×Éѯ
- ÊýѧEPI: 6
- Ó¦Öú: 413 (˶ʿ)
- ¹ó±ö: 0.002
- ½ð±Ò: 7116.5
- É¢½ð: 15
- ºì»¨: 63
- Ìû×Ó: 1639
- ÔÚÏß: 798.9Сʱ
- ³æºÅ: 2469437
- ×¢²á: 2013-05-14
- רҵ: ¼ÆËãÊýѧÓë¿ÆÑ§¹¤³Ì¼ÆËã
¡¾´ð°¸¡¿Ó¦Öú»ØÌû
¡ï ¡ï ¡ï ¡ï ¡ï ¡ï
ÎÒÒª·É(feixiaolin´ú·¢): ½ð±Ò+6 2014-12-13 07:08:32
ÎÒÒª·É(feixiaolin´ú·¢): ½ð±Ò+6 2014-12-13 07:08:32
8Â¥2014-12-12 09:46:24














»Ø¸´´ËÂ¥
5