| 查看: 1222 | 回复: 5 | |||
[求助]
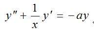
求助一道二阶非常系数微分方程的解,求大神帮忙,送金币! 已有2人参与
|
|||
![]() |
|||
|
|
|||
feixiaolin荣誉版主 (文坛精英)
|
|||
|
2楼2014-12-02 14:08:31
|
|
||
![]() |
|||
|
3楼2014-12-02 14:12:36
|
|
||
pippi6铁杆木虫 (著名写手)
工程和科学数值计算咨询
|
|||
|
4楼2014-12-02 14:13:48
|
|
||
![]() |
|||
|
5楼2014-12-02 15:01:49
|
|
||
终之太刀—晓铁杆木虫 (著名写手)
数学爱好者
|
【答案】应助回帖
★ ★ ★ ★ ★ ★ ★ ★ ★ ★ ★ ★ ★ ★ ★ ★ ★ ★ ★ ★ ★ ★ ★ ★ ★ ★ ★ ★ ★ ★ ★ ★ ★ ★ ★ ★ ★ ★ ★ ★ ★ ★ ★ ★ ★ ★ ★ ★ ★ ★ ★ ★ ...
感谢参与,应助指数 +1 漫步云端-锦: 金币+100, ★★★很有帮助 2014-12-02 15:48:49 |
||
![]() |
|||
|
6楼2014-12-02 15:06:49
|
|













回复此楼
