Znn3bq.jpeg
²é¿´: 1573  |  »Ø¸´: 4

flame_1985

Ìú³æ (³õÈëÎÄ̳)

[½»Á÷] ¶¯Á¿·½³ÌÔö¼Ó΢·ÖÐÎʽµÄÔ´ÏîÎÊÌâ ÒÑÓÐ3È˲ÎÓë

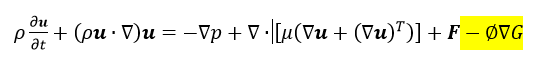
ÎÒÏëÔÚFLUET  VOFÄ£ÐÍÖе͝Á¿·½³ÌÖÐÔö¼Ó΢·ÖÐÎʽµÄÔ´Ïî¡£¶àÏîʽÐÎʽµÄÔ´ÏîHELP°ïÖúÎĵµÀï¾ÍÓÐÀý×Ó£¬µ«ÊÇ΢·ÖÐÎʽµÄզô¸ã£¬ÇóÖú£¡¶¯Á¿·½³ÌÔö¼Ó΢·ÖÐÎʽµÄÔ´ÏîÎÊÌâ
360Èí¼þСÖúÊÖ½ØÍ¼20140813111021.png
»Ø¸´´ËÂ¥

» ±¾Ìû¸½¼þ×ÊÔ´Áбí

  • »¶Ó­¼à¶½ºÍ·´À¡£ºÐ¡Ä¾³æ½öÌṩ½»Á÷ƽ̨£¬²»¶Ô¸ÃÄÚÈݸºÔð¡£
    ±¾ÄÚÈÝÓÉÓû§×ÔÖ÷·¢²¼£¬Èç¹ûÆäÄÚÈÝÉæ¼°µ½ÖªÊ¶²úȨÎÊÌ⣬ÆäÔðÈÎÔÚÓÚÓû§±¾ÈË£¬Èç¶Ô°æÈ¨ÓÐÒìÒ飬ÇëÁªÏµÓÊÏ䣺xiaomuchong@tal.com
  • ¸½¼þ 1 : ¿ØÖÆ·½³Ì1.docx
  • 2014-08-13 11:16:17, 12.26 K

» ²ÂÄãϲ»¶

» ±¾Ö÷ÌâÏà¹Ø¼ÛÖµÌùÍÆ¼ö£¬¶ÔÄúͬÑùÓаïÖú:

ÒÑÔÄ   »Ø¸´´ËÂ¥   ¹Ø×¢TA ¸øTA·¢ÏûÏ¢ ËÍTAºì»¨ TAµÄ»ØÌû

СÆß¹¤×÷ÊÒ1

гæ (ÖøÃûдÊÖ)

¡ï
Сľ³æ: ½ð±Ò+0.5, ¸ø¸öºì°ü£¬Ð»Ð»»ØÌû
¿´¿´udfÀïÃæÔ´Ïî·½³Ì
2Â¥2014-08-13 12:37:06
ÒÑÔÄ   »Ø¸´´ËÂ¥   ¹Ø×¢TA ¸øTA·¢ÏûÏ¢ ËÍTAºì»¨ TAµÄ»ØÌû

ÌìÌÃÓã520

Òø³æ (СÓÐÃûÆø)

¡ï
Сľ³æ: ½ð±Ò+0.5, ¸ø¸öºì°ü£¬Ð»Ð»»ØÌû
Õâ¸ö£¬udfÊÖ²áÉÏÓйØÓÚ¶¯Á¿Ô´ÏîµÄÀý×Ó£¬Ä£·ÂϾÍÐÐѽ
¹ÃÄûÈËÌæÄã¼áÇ¿£¡
3Â¥2014-08-14 09:23:29
ÒÑÔÄ   »Ø¸´´ËÂ¥   ¹Ø×¢TA ¸øTA·¢ÏûÏ¢ ËÍTAºì»¨ TAµÄ»ØÌû

flame_1985

Ìú³æ (³õÈëÎÄ̳)

ÒýÓûØÌû:
3Â¥: Originally posted by ÌìÌÃÓã520 at 2014-08-14 09:23:29
Õâ¸ö£¬udfÊÖ²áÉÏÓйØÓÚ¶¯Á¿Ô´ÏîµÄÀý×Ó£¬Ä£·ÂϾÍÐÐѽ

Àý×ÓÈ«ÊǶàÏîʽÐÎʽµÄ¼òµ¥Ô´ÏôÓÐ΢·ÖÐÎʽµÄ°¡
4Â¥2014-08-14 09:34:25
ÒÑÔÄ   »Ø¸´´ËÂ¥   ¹Ø×¢TA ¸øTA·¢ÏûÏ¢ ËÍTAºì»¨ TAµÄ»ØÌû

ben199007

гæ (СÓÐÃûÆø)

¡ï
Сľ³æ: ½ð±Ò+0.5, ¸ø¸öºì°ü£¬Ð»Ð»»ØÌû
ÓÃdiv¡¢gradµÈ±àд£¬UDFÀïÃæÓеģ¬¿ÉÄÜÊÇÄãû¿´È«Ãæ
5Â¥2014-08-15 10:41:20
ÒÑÔÄ   »Ø¸´´ËÂ¥   ¹Ø×¢TA ¸øTA·¢ÏûÏ¢ ËÍTAºì»¨ TAµÄ»ØÌû
Ïà¹Ø°æ¿éÌø×ª ÎÒÒª¶©ÔÄÂ¥Ö÷ flame_1985 µÄÖ÷Ìâ¸üÐÂ
×î¾ßÈËÆøÈÈÌûÍÆ¼ö [²é¿´È«²¿] ×÷Õß »Ø/¿´ ×îºó·¢±í
[¿¼²©] 26Äêµç³Ø·½Ïò²©Ê¿ÉêÇë 10+4 15615939259 2026-04-09 5/250 2026-04-16 12:37 by Ä«ºÉ֮¶
[¿¼ÑÐ] 294Çóµ÷¼Á +11 µ­È»654321 2026-04-15 11/550 2026-04-16 10:23 by beilsong20
[¿¼ÑÐ] ÉúÎïѧµ÷¼Á +9 Ö½ÉÈzhishan 2026-04-13 9/450 2026-04-15 18:28 by ANÁ÷800
[¿¼ÑÐ] ҩѧ305Çóµ÷¼Á +10 Â꿨°Í¿¨boom 2026-04-10 10/500 2026-04-14 15:55 by zs92450
[¿¼ÑÐ] 366Çóµ÷¼Á +11 ²»ÖªÃûµÄСئ 2026-04-11 11/550 2026-04-14 15:50 by zs92450
[¿¼ÑÐ] Çóµ÷¼Á +3 ÎÒ°®¸ßÊý¸ßÊý°®Î 2026-04-12 3/150 2026-04-14 01:00 by Íõ¬Bè±
[¿¼ÑÐ] ¿¼ÑÐÓ¢Ò»ÊýÒ»338·Ö +9 ³¤½­´óѧ¶«Ð£Çø 2026-04-13 10/500 2026-04-14 00:41 by Íõ¬Bè±
[¿¼ÑÐ] Ò»Ö¾Ô¸»ªÄÏÀí¹¤´óѧ331·Ö²ÄÁÏÇóµ÷¼Á +10 ÌìÏÂww 2026-04-09 11/550 2026-04-13 23:25 by pies112
[¿¼ÑÐ] 332Çóµ÷¼Á +15 ½¶½¶123 2026-04-10 15/750 2026-04-13 23:12 by pies112
[¿¼ÑÐ] 302Çóµ÷¼Á +10 Ò×£¡? 2026-04-13 10/500 2026-04-13 19:04 by lbsjt
[¿¼ÑÐ] 0831Ò»ÂÖµ÷¼Áʧ°ÜÇóÖú +10 СÐÜî£î£_s 2026-04-11 10/500 2026-04-12 22:43 by ³¤¹­°Á
[¿¼ÑÐ] Çóµ÷¼Á£¬Ò»Ö¾Ô¸²ÄÁÏ¿ÆÑ§Ó빤³Ì985£¬365·Ö£¬ +8 ²Ä»¯Àî¿É 2026-04-11 10/500 2026-04-12 08:42 by 852137818
[¿¼ÑÐ] 311Çóµ÷¼Á +13 xypÏë¶ÁÊé 2026-04-10 14/700 2026-04-11 09:41 by Öí»á·É
[¿¼ÑÐ] ÖÐҩѧµ÷¼Á ³õÊÔ324 +4 Ñó¸Ê¾Õ¡¢ 2026-04-10 6/300 2026-04-11 09:41 by gong120082
[¿¼ÑÐ] Ò»Ö¾Ô¸¶«±±´óѧ¿ØÖƹ¤³Ì085406Êý¶þÓ¢¶þ385£¬Çóµ÷¼Á +8 Ezra_Zhang 2026-04-09 8/400 2026-04-11 09:15 by Öí»á·É
[¿¼ÑÐ] µ÷¼Á +19 СÕÅZA 2026-04-10 20/1000 2026-04-10 22:08 by Öí»á·É
[¿¼ÑÐ] 083200 305·Ö Çó¶þÂÖµ÷¼Á ²»½ÓÊÜ¿çרҵ +9 Claireyyyy 2026-04-09 10/500 2026-04-10 21:21 by Claireyyyy
[¿¼ÑÐ] 22408 366·Ö£¬±¾¿Æ211£¬Ò»Ö¾Ô¸Î÷¹¤´ó +4 Rubt 2026-04-09 4/200 2026-04-10 19:51 by chemisry
[¿¼ÑÐ] Ò»Ö¾Ô¸¾©Çø985£¬085401µç×ÓÐÅÏ¢£¬±¾¿Æµç×ÓÐÅÏ¢ +3 Ñô¹â¿ªÀʵÄÄк¢ 2026-04-10 3/150 2026-04-10 16:29 by sophia_93
[¿¼ÑÐ] 282£¬µçÆø¹¤³Ìרҵ£¬Çóµ÷¼Á£¬²»Ìôרҵ +9 jggshjkkm 2026-04-10 9/450 2026-04-10 14:55 by ÄæË®³Ë·ç
ÐÅÏ¢Ìáʾ
ÇëÌî´¦ÀíÒâ¼û