| 查看: 1705 | 回复: 7 | |
twqylsf木虫 (正式写手)
|
[求助]
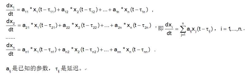
求助延迟微分方程求解,其中延迟是矩阵形式!!!! 已有2人参与
|
![]() |
|
|
|
|
twoflm木虫 (著名写手)
|
|
|
2楼2014-02-26 11:46:49
|
|
twqylsf木虫 (正式写手)
|
|
![]() |
|
|
3楼2014-02-26 12:32:52
|
|
|
4楼2014-02-27 00:13:22
|
|
twqylsf木虫 (正式写手)
|
|
![]() |
|
|
5楼2014-02-27 08:33:52
|
|
|
6楼2014-02-28 19:38:00
|
|
hppdyx木虫 (知名作家)
|
|
![]() |
|
|
7楼2014-02-28 22:38:07
|
|
twqylsf木虫 (正式写手)
|
|
![]() |
|
|
8楼2014-03-01 08:54:33
|
|













回复此楼
twqylsf
5