| ²é¿´: 2342 | »Ø¸´: 5 | |||
»ÃÒíLeoÒø³æ (СÓÐÃûÆø)
|
[ÇóÖú]
²ËÄñÇóÖúfortran±àд¶þ½×΢·Ö·½³Ì
|
|
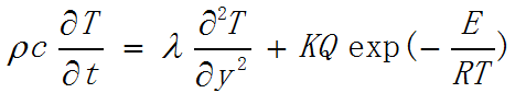
²ËÄñһö¸Õ¿ªÊ¼Ñ§Fortran±à³Ì£¬ÇóÖú¸÷λÔõôÑùÇó½â¸½¼þÖеĶþ½×΢·Ö·½³Ì£¬·½·¨»òÕߺËÐÄ´úÂ룬²»Ê¤¸Ð¼¤°¡¡«¡«¡« 2.png [ Last edited by »ÃÒíLeo on 2013-10-28 at 16:46 ] |
» ²ÂÄãϲ»¶
288Çóµ÷¼Á
ÒѾÓÐ14È˻ظ´
Ò»Ö¾Ô¸ÏôóÉúÎïѧ332Çóµ÷¼Á
ÒѾÓÐ7È˻ظ´
085600£¬321·ÖÇóµ÷¼Á
ÒѾÓÐ17È˻ظ´
һ־Ը³¶«´óѧ071000ÉúÎïѧѧ˶³õÊÔ·ÖÊý276Çóµ÷¼Á
ÒѾÓÐ16È˻ظ´
²ÄÁÏ»¯¹¤×Ü·Ö334Çóµ÷¼Á
ÒѾÓÐ11È˻ظ´
288Çóµ÷¼Á£¬Ò»Ö¾Ô¸»ªÄÏÀí¹¤´óѧ071005
ÒѾÓÐ13È˻ظ´
¸´ÊÔµ÷¼Á£¬Ò»Ö¾Ô¸Ö£ÖÝ´óѧ²ÄÁÏÓ뻯¹¤289·Ö
ÒѾÓÐ20È˻ظ´
Ò»Ö¾Ô¸Öпƴó070300»¯Ñ§£¬314·ÖÇóµ÷¼Á
ÒѾÓÐ4È˻ظ´
285Çóµ÷¼Á
ÒѾÓÐ9È˻ظ´
²ÄÁϵ÷¼Á
ÒѾÓÐ7È˻ظ´
» ±¾Ö÷ÌâÏà¹Ø¼ÛÖµÌùÍÆ¼ö£¬¶ÔÄúͬÑùÓаïÖú:
¶þ½×ÑÓ³Ù΢·Ö·½³ÌÇó½â
ÒѾÓÐ6È˻ظ´
<¶þ½×ÏßÐÔÆ«Î¢·Ö·½³Ì>¿Î³Ì
ÒѾÓÐ5È˻ظ´
Ò»¸ö¶þ½×³£Î¢·Ö·½³ÌµÄÇó½â·½·¨£¿
ÒѾÓÐ5È˻ظ´
matlabÇóÄæ¾ØÕóÊDz»ÊÇÓÐÎÊÌ⣿
ÒѾÓÐ13È˻ظ´
΢·Ö·½³Ì×é²ÎÊýÄâºÏµÄÎÊÌ⣨¶à²ÎÊý¶¯Á¦ÏµÍ³²ÎÊý¹À¼Æ£©
ÒѾÓÐ11È˻ظ´
ƫ΢·Ö·½³ÌÊýÖµ¼ÆËãÊé¼®ÍÆ¼ö
ÒѾÓÐ10È˻ظ´
¶þ½×·ÇÏßÐÔ΢·Ö·½³ÌÇó½â
ÒѾÓÐ14È˻ظ´
Çó½Ì£ºÏßÐÔϵͳÓëÏßÐÔ΢·Ö·½³ÌµÄ¹ØÏµ¡£·ÇÏßÐÔϵͳÄÜÓô«µÝº¯ÊýÀ´ÃèÊöÂð£¿
ÒѾÓÐ7È˻ظ´
ÇóÖúÒ»½×·ÇÏßÐÔ΢·Ö·½³ÌµÄ½â
ÒѾÓÐ7È˻ظ´
¶þ½×ƫ΢·Ö·½³ÌHankel±ä»»ºóµÄ½á¹û
ÒѾÓÐ3È˻ظ´
ÈçºÎÇó½âÃèÊöÕñ¶¯µÄ¶þ½×΢·Ö·½³Ì
ÒѾÓÐ21È˻ظ´
ÇëÎÊÈçºÎÇó½â¶þÔªÒ»½×΢·Ö·½³Ì×é
ÒѾÓÐ24È˻ظ´
ÇóÖúÈýÔªº¯Êý¶þ½×ƫ΢·ÖCÓïÑÔд·¨
ÒѾÓÐ10È˻ظ´
¡¾ÇóÖú¡¿·ÇÏßÐÔ·½³Ì×é µÄ±íʾÎÊÌâ
ÒѾÓÐ6È˻ظ´
LABVIEWËĽ×Áú¸ñ¿âËþ·¨Çó½âÒ»½×΢·Ö·½³Ì×é
ÒѾÓÐ12È˻ظ´
¡¾ÌÖÂÛ¡¿·ÖÊý½×΢·Ö·½³Ì
ÒѾÓÐ28È˻ظ´
¡¾ÇóÖú¡¿Çë½Ì·ÇÆë´Î³£Î¢·Ö·½³Ì×éµÄ½âÎö½â·¨
ÒѾÓÐ4È˻ظ´
¡¾ÇóÖú¡¿Python ÖÐ Çó½â΢·Ö·½³Ì odeint µÄÓ÷¨
ÒѾÓÐ11È˻ظ´
¡¾ÇóÖú¡¿Çë½Ì¶þ½×΢·Ö·½³ÌµÄÌØ½â£¨º¬³õʼÌõ¼þ£©
ÒѾÓÐ8È˻ظ´
¡¾ÇóÖú¡¿ÓÐÏÞÔª·¨Çó½â¶þ½×ƫ΢·Ö·½³Ì×é
ÒѾÓÐ6È˻ظ´
¡¾ÇóÖú¡¿30½ð±ÒÇóÖúƫ΢·Ö·½³Ì×é½âÎö½â
ÒѾÓÐ12È˻ظ´
jerkwin
ר¼Ò¹ËÎÊ (ÕýʽдÊÖ)
-

ר¼Ò¾Ñé: +14 - Ó¦Öú: 454 (˶ʿ)
- ½ð±Ò: 20699.1
- É¢½ð: 148
- ºì»¨: 81
- Ìû×Ó: 813
- ÔÚÏß: 2648.3Сʱ
- ³æºÅ: 1023452
- ×¢²á: 2010-05-19
- רҵ: ÀíÂۺͼÆË㻯ѧ
- ¹ÜϽ: ·Ö×ÓÄ£Äâ
2Â¥2013-10-28 21:40:31
ϺÈÊÀÃæ
½ð³æ (³õÈëÎÄ̳)
- Ó¦Öú: 9 (Ó×¶ùÔ°)
- ½ð±Ò: 860.2
- ºì»¨: 1
- Ìû×Ó: 29
- ÔÚÏß: 61.6Сʱ
- ³æºÅ: 1974304
- ×¢²á: 2012-09-04
- ÐÔ±ð: GG
- רҵ: ¼ÆËãÊýѧÓë¿ÆÑ§¹¤³Ì¼ÆËã
¡¾´ð°¸¡¿Ó¦Öú»ØÌû
¡ï ¡ï ¡ï ¡ï ¡ï ¡ï ¡ï ¡ï ¡ï ¡ï
¸Ðл²ÎÓ룬ӦÖúÖ¸Êý +1
»ÃÒíLeo: ½ð±Ò+10, ¡ï¡ï¡ïºÜÓаïÖú 2013-10-29 13:47:03
¸Ðл²ÎÓ룬ӦÖúÖ¸Êý +1
»ÃÒíLeo: ½ð±Ò+10, ¡ï¡ï¡ïºÜÓаïÖú 2013-10-29 13:47:03
|
Èç¹û¾«¶ÈÒªÇó²»¸ß ¿ÉÒÔÓÃÆÕͨµÄÓÐÏÞ²î·Ö·¨Ö±½ÓÀëÉ¢ ×ó±ß¶Ôʱ¼äÒ»½×µ¼ÊýµÄÀëÉ¢ ¿ÉÒÔÓÃÅ·À·¨ Crank-Nicolson·½·¨ Óұ߶ÔyµÄ¶þ½×µ¼ÊýµÄÀëÉ¢ ¿ÉÒÔÓÃÖÐÐIJîÉÌ Ò»°ãµÄƫ΢·Ö·½³ÌÊýÖµ½â·¨µÄ½Ì²Ä¶¼Óн² Â¥Ö÷¿ÉÒÔÈ¥²éһϠ|
3Â¥2013-10-29 00:22:38
»ÃÒíLeo
Òø³æ (СÓÐÃûÆø)
- Ó¦Öú: 0 (Ó×¶ùÔ°)
- ½ð±Ò: 596.8
- É¢½ð: 45
- Ìû×Ó: 212
- ÔÚÏß: 15.2Сʱ
- ³æºÅ: 1682816
- ×¢²á: 2012-03-11
- ÐÔ±ð: GG
- רҵ: µç¹¤²ÄÁÏÌØÐÔ¼°ÆäÓ¦ÓÃ
4Â¥2013-10-29 13:48:03
àËÍõandÄÈÄÈ
ľ³æ (ÕýʽдÊÖ)
²©Ê¿
- Ó¦Öú: 110 (¸ßÖÐÉú)
- ½ð±Ò: 5888.3
- ºì»¨: 11
- Ìû×Ó: 786
- ÔÚÏß: 185.7Сʱ
- ³æºÅ: 2742524
- ×¢²á: 2013-10-21
- ÐÔ±ð: GG
- רҵ: Äý¾Û̬ÎïÐÔ II £ºµç×ӽṹ

5Â¥2013-11-02 21:58:32
AiFA¾ø
гæ (СÓÐÃûÆø)
- Ó¦Öú: 0 (Ó×¶ùÔ°)
- ½ð±Ò: 202.1
- Ìû×Ó: 92
- ÔÚÏß: 9.9Сʱ
- ³æºÅ: 3892737
- ×¢²á: 2015-05-26
- רҵ: ±¬Õ¨Óë³å»÷¶¯Á¦Ñ§
6Â¥2018-05-28 19:27:16













»Ø¸´´ËÂ¥