| 查看: 2780 | 回复: 3 | |
wangshitong银虫 (小有名气)
|
[求助]
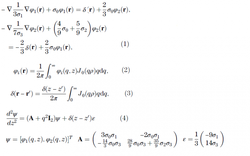
二阶偏微分方程Hankel变换后的结果
|
|
|
|
![]() |
|
|
2楼2012-07-19 10:38:32
|
|
wangshitong银虫 (小有名气)
|
|
|
3楼2012-07-19 10:54:45
|
|
![]() |
|
|
4楼2012-07-19 11:27:45
|
|












回复此楼
