| ²é¿´: 2693 | »Ø¸´: 15 | |||
qiaoyueгæ (³õÈëÎÄ̳)
|
[ÇóÖú]
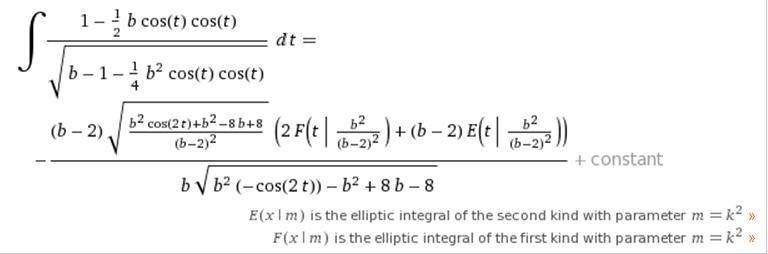
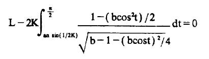
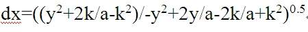
¸ß˹·½³Ì»ý·Ö±à³Ìmatlab»òCÓïÑÔ ÒÑÓÐ1È˲ÎÓë
|
||
|
|
|||
| »ØÌûÖ§³Ö ( ÏÔʾ֧³Ö¶È×î¸ßµÄǰ 50 Ãû ) | |||
feixiaolinÈÙÓþ°æÖ÷ (ÎÄ̳¾«Ó¢)
|
|
||
|
3Â¥2013-12-31 20:01:17
|
|
||
| ÆÕͨ»ØÌû | |||
qiaoyueгæ (³õÈëÎÄ̳)
|
|||
|
2Â¥2013-12-31 16:48:30
|
|
||
qiaoyueгæ (³õÈëÎÄ̳)
|
|||
|
4Â¥2014-01-02 13:55:17
|
|
||
feixiaolinÈÙÓþ°æÖ÷ (ÎÄ̳¾«Ó¢)
|
|||
|
5Â¥2014-01-02 14:16:37
|
|
||
qiaoyueгæ (³õÈëÎÄ̳)
|
|||
|
6Â¥2014-01-02 21:42:00
|
|
||
feixiaolinÈÙÓþ°æÖ÷ (ÎÄ̳¾«Ó¢)
|
|||
|
7Â¥2014-01-02 21:44:26
|
|
||
qiaoyueгæ (³õÈëÎÄ̳)
|
|||
|
8Â¥2014-01-02 22:04:48
|
|
||
feixiaolinÈÙÓþ°æÖ÷ (ÎÄ̳¾«Ó¢)
|
|||
|
9Â¥2014-01-02 22:05:41
|
|
||
qiaoyueгæ (³õÈëÎÄ̳)
|
|||
|
10Â¥2014-01-03 14:56:59
|
|
||














»Ø¸´´ËÂ¥
Ï£Íû¶®µÄ¸ßÊÖ¾¡¿ì»Ø¸´£¬ºÜ¼±