| ²é¿´: 1200 | »Ø¸´: 4 | ||
evanbossccpľ³æ (ÕýʽдÊÖ)
|
[ÇóÖú]
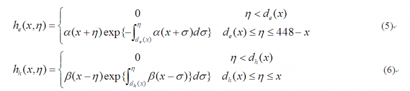
Çë½Ì´óϺ£¬Ò»¸ö·Ö¶Îº¯ÊýµÄ matlab ³ÌÐòʵÏÖ
|
matlab |
» ²ÂÄãϲ»¶
±±¾©ÄÉÃ×ÄÜÔ´ÓëϵͳÑо¿ËùÍõÖÐÁÖԺʿ/²ÜÄÏÓ±Ñо¿Ô±¿ÎÌâ×éÕÐÊÕ2026˶ʿÑо¿Éú1Ãû
ÒѾÓÐ0È˻ظ´
ɽÎ÷´óͬ´óѧÎïÀíѧ˶ʿÑо¿ÉúÕÐÊÕµ÷¼ÁÉú
ÒѾÓÐ0È˻ظ´
ÎïÀíѧIÂÛÎÄÈóÉ«/·ÒëÔõôÊÕ·Ñ?
ÒѾÓÐ217È˻ظ´
[µ÷¼ÁÐÅÏ¢]211ÖÇÄÜÈ˹¤¸ÐÖª·½Ïò¹ú¼ÒÇàÄêÌØÆ¸×¨¼Ò¿ÎÌâ×éÕÐÊÕµ÷¼ÁÑо¿Éú
ÒѾÓÐ0È˻ظ´
£Ûµ÷¼ÁÐÅÏ¢£Ý211ÖÇÄÜÈ˹¤¸ÐÖª·½Ïò¹ú¼ÒÇàÄêÌØÆ¸×¨¼Ò¿ÎÌâ×éÕÐÊÕµ÷¼ÁÑо¿Éú
ÒѾÓÐ0È˻ظ´
[µ÷¼ÁÐÅÏ¢]211ÖÇÄÜÈ˹¤¸ÐÖª·½Ïò¹ú¼ÒÇàÄêÌØÆ¸×¨¼Ò¿ÎÌâ×éÕÐÊÕµ÷¼ÁÑо¿Éú
ÒѾÓÐ0È˻ظ´
Ò»Ö¾Ô¸ÎïÀíËùÄý¾Û̬ÎïÀí352Çóµ÷¼Á
ÒѾÓÐ0È˻ظ´
0702Ò»Ö¾Ô¸¼ª´óBÇøÇóµ÷¼Á ±¾¿ÆÆÚ¼ä·¢±íһƪSci
ÒѾÓÐ2È˻ظ´
0702Ò»Ö¾Ô¸¼ª´óBÇøÇóµ÷¼Á ±¾¿ÆÆÚ¼ä·¢±íһƪSci
ÒѾÓÐ0È˻ظ´
070200Çóµ÷¼Á£¬Ò»Ö¾Ô¸Ä³211£¬288·Ö
ÒѾÓÐ18È˻ظ´
·¨¹ú²©Ê¿ºóְλ
ÒѾÓÐ0È˻ظ´
» ±¾Ö÷ÌâÏà¹Ø¼ÛÖµÌùÍÆ¼ö£¬¶ÔÄúͬÑùÓаïÖú:
ÏÖÔÚ×öµ½¸ß˹º¯ÊýµÄÎó²îº¯ÊýÒ»²½£¬ÓÖÊÇÒ»¸ö·½³Ì²»ÖªµÀÓÃmatlabÔõôд
ÒѾÓÐ14È˻ظ´
Çë½ÌÏòÁ¿QÂú×ã¸ß˹·Ö²¼£¬ÓÃmatlabÈçºÎ±íʾ£¿
ÒѾÓÐ11È˻ظ´
matlabµÄº¯Êýµ÷ÓÃÎÊÌâ
ÒѾÓÐ3È˻ظ´
Çë½Ì¸ömatlabÖеÄrandº¯Êý
ÒѾÓÐ3È˻ظ´
¡¾ÇóÖú¡¿¿´ÎÄÏ×ÖÐÓöµ½Ò»¸öÎÊÌ⣬Çë½Ì¸÷λ´óϺ!
ÒѾÓÐ10È˻ظ´
matlab×öº¯ÊýͼÏóµÄÎÊÌâ
ÒѾÓÐ6È˻ظ´
¡¾ÇóÖú¡¿Çë½ÌÒ»¸ömatlab³ÌÐò£¬Ð»Ð»°ï棡£¡
ÒѾÓÐ15È˻ظ´
¡¾ÇóÖú¡¿²ËÄñÇë½Ì´óϺ¹ØÓÚDSCµÄ¼¸¸öÎÊÌâ
ÒѾÓÐ12È˻ظ´

ll20100996
½û³æ (ÖªÃû×÷¼Ò)
¡ï ¡ï ¡ï ¡ï ¡ï ¡ï ¡ï ¡ï ¡ï ¡ï ¡ï ¡ï ¡ï ¡ï ¡ï
¸Ðл²ÎÓ룬ӦÖúÖ¸Êý +1
cenwanglai: ½ð±Ò+5, ·Ç³£¸Ðл~ 2012-05-11 22:11:42
evanbossccp: ½ð±Ò+10, ¡ï¡ï¡ïºÜÓаïÖú, ºÜÓаïÖú£¬Ï£ÍûÂ¥Ö÷°ïÎÒ½âÊÍһϳÌÐò£¬ËæºóÔÙ²¹ÉÏÓàϽð±Ò 2012-05-12 09:36:04
¸Ðл²ÎÓ룬ӦÖúÖ¸Êý +1
cenwanglai: ½ð±Ò+5, ·Ç³£¸Ðл~ 2012-05-11 22:11:42
evanbossccp: ½ð±Ò+10, ¡ï¡ï¡ïºÜÓаïÖú, ºÜÓаïÖú£¬Ï£ÍûÂ¥Ö÷°ïÎÒ½âÊÍһϳÌÐò£¬ËæºóÔÙ²¹ÉÏÓàϽð±Ò 2012-05-12 09:36:04
|
±¾ÌûÄÚÈݱ»ÆÁ±Î |
2Â¥2012-05-11 21:48:52
evanbossccp
ľ³æ (ÕýʽдÊÖ)
- Ó¦Öú: 15 (СѧÉú)
- ½ð±Ò: 2073.4
- É¢½ð: 74
- ºì»¨: 5
- Ìû×Ó: 959
- ÔÚÏß: 72.8Сʱ
- ³æºÅ: 1569144
- ×¢²á: 2012-01-08
- ÐÔ±ð: GG
- רҵ: °ëµ¼Ìå²ÄÁÏ
|
·Ç³£¸ÐлÄãµÄ°ïÖú£¬µ«ÊÇÎÒÊdzõѧÕߣ¬³ÌÐòÓе㿴²»Ã÷°×£¬Ï£ÍûÄã¿ÉÒÔ°ïÎÒ¸½ÉϽâÊÍÓï¾ä£¬ºÃÂ𣿠»¹Óм¸¸ö²¹³äÎÊÌâÇë½Ì£º 1¡¢plot(x,he)ºÍplot(x,hh)ʱ£¬ÏÔʾÏòÁ¿³¤¶È²»Ò»ÖµĴíÎó£¬ÎªÊ²Ã´£¿ 2¡¢x=0:328£¬ÎªÊ²Ã´Òª¶¨Òåx=1:327£¿ 3¡¢ÎÒÏëÈ¡x=0:0.01:328£¬x=31:0.01:448£¬³ÌÐòÓ¦¸ÃÊÇÒ»ÑùµÄ°É 4¡¢ºÃÏñÊǷֶκ¯Êý£¬ita »¹µÃ·³ÇëÄã°ïÎÒÅÅÓǽâÄÑ£¬¶àл |

3Â¥2012-05-12 09:33:10
ll20100996
½û³æ (ÖªÃû×÷¼Ò)
¡ï ¡ï ¡ï ¡ï ¡ï
zhangguangping: ½ð±Ò+5, лл²¹³ä£¡ 2012-05-14 18:18:43
zhangguangping: ½ð±Ò+5, лл²¹³ä£¡ 2012-05-14 18:18:43
|
±¾ÌûÄÚÈݱ»ÆÁ±Î |
4Â¥2012-05-13 10:16:32
evanbossccp
ľ³æ (ÕýʽдÊÖ)
- Ó¦Öú: 15 (СѧÉú)
- ½ð±Ò: 2073.4
- É¢½ð: 74
- ºì»¨: 5
- Ìû×Ó: 959
- ÔÚÏß: 72.8Сʱ
- ³æºÅ: 1569144
- ×¢²á: 2012-01-08
- ÐÔ±ð: GG
- רҵ: °ëµ¼Ìå²ÄÁÏ

5Â¥2012-05-13 15:04:50














»Ø¸´´ËÂ¥