| 查看: 2406 | 回复: 7 | ||||
[求助]
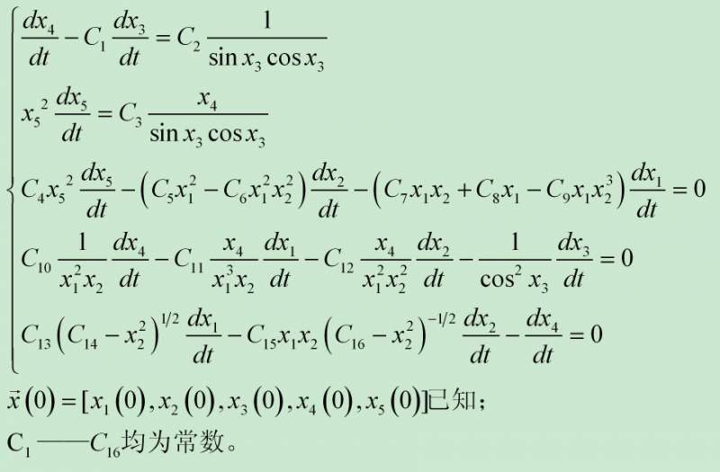
利用matlab求一阶变系数微分方程组的数值解。
|
|
matlab扔的时间长了,自己编程序总是出现各种各样的问题,还是觉得这种东西matlab高手解决比较容易一些,其中C1-C16都是常数(通过前面的程序计算得到的),方程的初始状态给定,求微分方程组的数值解,希望能有高手帮我写下程序,用 .M 文件,谢谢啦! 一阶变系数微分方程组.jpg |
» 猜你喜欢
酰胺脱乙酰基
已经有13人回复
有院领导为了换新车,用横向课题经费买了俩车
已经有8人回复
博士延得我,科研能力直往上蹿
已经有8人回复
同年申请2项不同项目,第1个项目里不写第2个项目的信息,可以吗
已经有4人回复
有时候真觉得大城市人没有县城人甚至个体户幸福
已经有10人回复
天津大学招2026.09的博士生,欢迎大家推荐交流(博导是本人)
已经有5人回复
CSC & MSCA 博洛尼亚大学能源材料课题组博士/博士后招生|MSCA经费充足、排名优
已经有6人回复
面上项目申报
已经有3人回复
遇见不省心的家人很难过
已经有22人回复
» 本主题相关价值贴推荐,对您同样有帮助:
偏微分方程Matlab求解
已经有7人回复
变系数偏微分方程matlab求解
已经有6人回复
Matlab求解微分方程(组)及偏微分方程(组)
已经有224人回复
matlab 非线性微分方程求解
已经有3人回复
求助非线性常微分方程和常系数双曲偏微分方程求解
已经有7人回复
偏微分方程求解!
已经有4人回复
matlab如何求解一个非线性微分方程组
已经有8人回复
求助,用matlab解微分方程组,希望高手能给予指点
已经有17人回复
如何用Matlab求时变微分方程的解?
已经有5人回复
matlab解偏微分方程求助
已经有12人回复
求解一个二阶偏微分方程~~有结果,但是不知道中间过程(完美解决者答谢100¥)~
已经有4人回复
matlab求解常微分方程
已经有6人回复
matlab处理常微分方程作图问题
已经有7人回复
求高手解答Matlab求解微分方程的初始值和边界值问题
已经有5人回复
Matlab求解二阶偏微分方程组,希望能给出相应的求解代码
已经有10人回复
分数阶微分方程的求解(用差分法,matlab编程求解)
已经有9人回复
如何用matlab求解矩阵系数的二阶微分方程
已经有13人回复
求助:如何用MATLAB的偏微分方程工具箱画出不同区域内的温度分布图?
已经有5人回复
matlab二阶微分方程求解程序
已经有5人回复
Matlab求解偏微分方程组
已经有22人回复
如何理解变系数微分方程
已经有6人回复
matlab数值求解边界条件微分方程组
已经有7人回复
高金求助matlab解微分方程组
已经有12人回复
【求助】积分微分方程matlab求解
已经有6人回复
【求助】matlab怎么求解偏微分方程组啊,先谢谢了
已经有13人回复
feixiaolin
荣誉版主 (文坛精英)
-

专家经验: +518 - 应助: 942 (博后)
- 贵宾: 1.275
- 金币: 3430
- 散金: 58785
- 红花: 532
- 沙发: 11
- 帖子: 24215
- 在线: 2601.8小时
- 虫号: 2139575
- 注册: 2012-11-21
- 专业: 光学信息获取与处理
- 管辖: 数学
| matlab用dsolv求解常微分方程 |
» 本帖附件资源列表
-
欢迎监督和反馈:小木虫仅提供交流平台,不对该内容负责。
本内容由用户自主发布,如果其内容涉及到知识产权问题,其责任在于用户本人,如对版权有异议,请联系邮箱:xiaomuchong@tal.com - 附件 1 : matlab用dsolv求解常微分方程.doc
2014-03-01 17:07:59, 124.86 K
» 本帖已获得的红花(最新10朵)
2楼2014-03-01 17:08:23
3楼2014-03-04 14:52:13
feixiaolin
荣誉版主 (文坛精英)
-

专家经验: +518 - 应助: 942 (博后)
- 贵宾: 1.275
- 金币: 3430
- 散金: 58785
- 红花: 532
- 沙发: 11
- 帖子: 24215
- 在线: 2601.8小时
- 虫号: 2139575
- 注册: 2012-11-21
- 专业: 光学信息获取与处理
- 管辖: 数学
4楼2014-03-04 15:15:40
|
5楼2014-03-06 14:35:00
6楼2014-03-13 16:57:25
feixiaolin
荣誉版主 (文坛精英)
-

专家经验: +518 - 应助: 942 (博后)
- 贵宾: 1.275
- 金币: 3430
- 散金: 58785
- 红花: 532
- 沙发: 11
- 帖子: 24215
- 在线: 2601.8小时
- 虫号: 2139575
- 注册: 2012-11-21
- 专业: 光学信息获取与处理
- 管辖: 数学
7楼2014-03-13 17:09:37
feixiaolin
荣誉版主 (文坛精英)
-

专家经验: +518 - 应助: 942 (博后)
- 贵宾: 1.275
- 金币: 3430
- 散金: 58785
- 红花: 532
- 沙发: 11
- 帖子: 24215
- 在线: 2601.8小时
- 虫号: 2139575
- 注册: 2012-11-21
- 专业: 光学信息获取与处理
- 管辖: 数学
8楼2014-03-13 17:10:41













回复此楼
yihu_55