| ²é¿´: 1159 | »Ø¸´: 10 | |||
carl_yyͳæ (³õÈëÎÄ̳)
|
[ÇóÖú]
¹ØÓÚ¸ÅÂÊÂÛµÄÎÊÌâ ÒÑÓÐ2È˲ÎÓë
|
||
|
ÓÐÈý¸öËæ»ú±äÁ¿X,Y,Z£¬ÆäÖÐZ=X+Y£¬ÒÑÖªYµÄ·Ö²¼ºÍZµÄ·Ö²¼£¬ÈçºÎÇóµÃXµÄ·Ö²¼¡£ Ò²ÐíÊÇÒ»¸öºÜ¼òµ¥µÄÎÊÌ⣬µ«ÊǶàÄê²»Åö¸ÅÂÊÂÛ£¬ËùÒԺܶàÀíÂÛ¶¼ÉúÊèÁË¡£ Ï£Íû´óÉñ¿ÉÒÔ¸ø³öÒ»ÖֱȽÏͨÓõķ½·¨£¬ÇÒ¶ÔÈÎÒâ·Ö²¼¶¼ÄÜÊÊÓõġ£Ð»Ð»¡£ |
» ²ÂÄãϲ»¶
ÊÛSCIÒ»ÇøÎÄÕ£¬ÎÒ:8 O5 51O 54,¿ÆÄ¿ÆëÈ«,¿É+¼±
ÒѾÓÐ5È˻ظ´
ÊÛSCIÒ»ÇøÎÄÕ£¬ÎÒ:8 O5 51O 54,¿ÆÄ¿ÆëÈ«,¿É+¼±
ÒѾÓÐ6È˻ظ´
ÊÛSCIÒ»ÇøÎÄÕ£¬ÎÒ:8 O5 51O 54,¿ÆÄ¿ÆëÈ«,¿É+¼±
ÒѾÓÐ7È˻ظ´
ÊÛSCIÒ»ÇøÎÄÕ£¬ÎÒ:8 O5 51O 54,¿ÆÄ¿ÆëÈ«,¿É+¼±
ÒѾÓÐ7È˻ظ´
ÊÛSCIÒ»ÇøÎÄÕ£¬ÎÒ:8 O5 51O 54,¿ÆÄ¿ÆëÈ«,¿É+¼±
ÒѾÓÐ9È˻ظ´
ÊÛSCIÒ»ÇøÎÄÕ£¬ÎÒ:8 O5 51O 54,¿ÆÄ¿ÆëÈ«,¿É+¼±
ÒѾÓÐ4È˻ظ´
ÊÛSCIÒ»ÇøÎÄÕ£¬ÎÒ:8 O5 51O 54,¿ÆÄ¿ÆëÈ«,¿É+¼±
ÒѾÓÐ6È˻ظ´
ÊÛSCIÒ»ÇøÎÄÕ£¬ÎÒ:8 O5 51O 54,¿ÆÄ¿ÆëÈ«,¿É+¼±
ÒѾÓÐ5È˻ظ´
ÊÛSCIÒ»ÇøÎÄÕ£¬ÎÒ:8 O5 51O 54,¿ÆÄ¿ÆëÈ«,¿É+¼±
ÒѾÓÐ8È˻ظ´
ÊÛSCIÒ»ÇøÎÄÕ£¬ÎÒ:8 O5 51O 54,¿ÆÄ¿ÆëÈ«,¿É+¼±
ÒѾÓÐ10È˻ظ´
» ±¾Ö÷ÌâÏà¹Ø¼ÛÖµÌùÍÆ¼ö£¬¶ÔÄúͬÑùÓаïÖú:
ÇóÖú£¬¹ØÓÚ¸ÅÂÊÎÊÌâµÄÁ½¸öÖ¤Ã÷Ìâ
ÒѾÓÐ5È˻ظ´
¸Ð¸ÅÓйØÓÚÊÇ·ñ¾Ù±¨±ðÈËѧÊõÔì¼ÙÕâһ̬¶ÈÎÊÌâ
ÒѾÓÐ10È˻ظ´
¾ùÔÈ·Ö²¼µÄÎÊÌâ
ÒѾÓÐ8È˻ظ´
ÄÄλ¸ç¸ç½ã½ã¸ÅÂÊͳ¼ÆÑ§µÄ±È½ÏºÃ°ïÎÒ×öÏÂÕâ¸öÌ⣬лл
ÒѾÓÐ18È˻ظ´
ÅÅÁÐ×éºÏÇó¸ÅÂʵÄÎÊÌ⣬ÄÄλ¸ßÈË¿ÉÒÔ°ïÒ»ÏÂæ£¬·Ç³£¸Ðл
ÒѾÓÐ9È˻ظ´
ÇóÖú¼òµ¥¸ÅÂÊÂÛÎÊÌâ
ÒѾÓÐ3È˻ظ´
¹ØÓÚÊýÀíͳ¼ÆÖÐR^2 ºÍ PÖµµÄÎÊÌâ
ÒѾÓÐ8È˻ظ´
ÇëÎÊÏÂÃæÕâ¸ö¸ÅÂÊÌâÔõô×öµÄ
ÒѾÓÐ7È˻ظ´
ÇóÖúÒ»¸öLMIÎÊÌâ
ÒѾÓÐ10È˻ظ´
ÇóÖúÒ»µÀÏßÐÔ´úÊýÎÊÌ⣡
ÒѾÓÐ5È˻ظ´
Ò»¸öÊýѧÉϺܴ«ÆæµÄ½üËÆµÄÎÊÌâ
ÒѾÓÐ16È˻ظ´
¹òÇó¸ÅÂÊÂÛ´ïÈËÎÊÌâÓйØversionµÄÎÊÌ⣡£¡£¡
ÒѾÓÐ4È˻ظ´
ÓÐÒâ˼µÄÒ»¸öСÎÊÌâ
ÒѾÓÐ3È˻ظ´
Çë½ÌÒ»¸ö¸ÅÂʼÆËãÎÊÌâ£¨ÖØÐÂÕûÀíºó£©
ÒѾÓÐ10È˻ظ´
Ò»µÀ¸ÅÂÊÌâÇóÖú£¡
ÒѾÓÐ13È˻ظ´
ÑÒʯѧµÄÓйØÎÊÌâ
ÒѾÓÐ11È˻ظ´
Ò»µÀ¸ÅÂÊÌ⣬Çó½â~~~
ÒѾÓÐ27È˻ظ´
¸ÅÂÊÂÛÖйØÓÚ¡¾¶ÀÁ¢Ê¼þ¡¿µÄһЩÒÉÎÊ
ÒѾÓÐ3È˻ظ´
Ò»¸ö¹ØÓÚ·½²îµÄÌâÄ¿£¬ÇóÖ¸½Ì£¡
ÒѾÓÐ3È˻ظ´
È¡ÇòµÄ¸ÅÂÊÎÊÌâ
ÒѾÓÐ8È˻ظ´
¡¾ÇóÖú¡¿ÇóÖúÒ»¸öСÇòÓëÏä×ÓµÄÎÊÌ⣬´ó¼Ò°ïæËãһϸÅÂÊ[½áÊø]
ÒѾÓÐ9È˻ظ´
¡¾ÌÖÂÛ¡¿¸ÅÂÊÂÛÉÏÒ»¸öÓÐȤµÄÎÊÌâ
ÒѾÓÐ14È˻ظ´
¡¾½»Á÷¡¿Á¿×ÓÃÉÌØ¿¨ÂÞÖеĸº¸ÅÂÊÎÊÌâ Ö®ÎÒ¼û
ÒѾÓÐ8È˻ظ´
carl_yy
ͳæ (³õÈëÎÄ̳)
- Ó¦Öú: 0 (Ó×¶ùÔ°)
- ½ð±Ò: 238.1
- ºì»¨: 1
- Ìû×Ó: 44
- ÔÚÏß: 9.1Сʱ
- ³æºÅ: 1579330
- ×¢²á: 2012-01-16
- רҵ: ÐźÅÀíÂÛÓëÐźŴ¦Àí
|
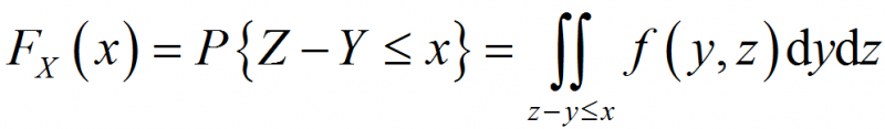
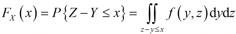
лл¡£ ÎÒÐèÒªÇóµÃÊÇXµÄ·Ö²¼£¬¶ø²»ÊÇZµÄ·Ö²¼¡£ »òÕßÔÙ˵Ã÷ȷЩ£¬X,YÊǶÀÁ¢µÄ£¬Z=X+Y£¬ÒÑÖªZºÍY£¬ÐèÒªÇó½âX=Z-YµÄ·Ö²¼¡£ |
4Â¥2014-11-20 15:27:32
feixiaolin
ÈÙÓþ°æÖ÷ (ÎÄ̳¾«Ó¢)
-

ר¼Ò¾Ñé: +518 - Ó¦Öú: 942 (²©ºó)
- ¹ó±ö: 1.275
- ½ð±Ò: 3430
- É¢½ð: 58785
- ºì»¨: 532
- ɳ·¢: 11
- Ìû×Ó: 24215
- ÔÚÏß: 2601.8Сʱ
- ³æºÅ: 2139575
- ×¢²á: 2012-11-21
- רҵ: ¹âѧÐÅÏ¢»ñÈ¡Óë´¦Àí
- ¹ÜϽ: Êýѧ
2Â¥2014-11-20 13:42:37
ayismas
ľ³æ (ÕýʽдÊÖ)
- Ó¦Öú: 34 (СѧÉú)
- ½ð±Ò: 2776.3
- É¢½ð: 960
- ºì»¨: 8
- Ìû×Ó: 641
- ÔÚÏß: 355.3Сʱ
- ³æºÅ: 2564908
- ×¢²á: 2013-07-25
- ÐÔ±ð: GG
- רҵ: ÊýÀíͳ¼Æ
¡¾´ð°¸¡¿Ó¦Öú»ØÌû
¸Ðл²ÎÓ룬ӦÖúÖ¸Êý +1
|
˼·ÊÇ£º µÚÒ»²½È·¶¨ZµÄÈ¡ÖµÇø¼ä£¨¸ù¾ÝXºÍYµÄÈ¡ÖµÇø¼äÀ´È·¶¨£©£¬È»ºó²»ÔÙÕâ¸öÇø¼äÉϵĸÅÂÊÃܶȶ¼Îª0 µÚ¶þ²½£º¹¹Ôì´óÖµķֲ¼º¯Êý µÚÈý²¿£ºP£¨Z<=z£©=P(X+Y<=z)£¬Ñ¡È¡XºÍYÖ®Ò»£¬¼ÆËãzÔÚZµÄÈ¡ÖµÇø¼äµÄÖµ£¨¼ÆËã¹ý³ÌÖпÉÄÜÒªÓõ½»ý·ÖµÄ֪ʶ£© È»ºó¾ÍÈÝÒ×ÖªµÀ¸ÅÂÊ·Ö²¼ÁË |
3Â¥2014-11-20 14:19:01
ayismas
ľ³æ (ÕýʽдÊÖ)
- Ó¦Öú: 34 (СѧÉú)
- ½ð±Ò: 2776.3
- É¢½ð: 960
- ºì»¨: 8
- Ìû×Ó: 641
- ÔÚÏß: 355.3Сʱ
- ³æºÅ: 2564908
- ×¢²á: 2013-07-25
- ÐÔ±ð: GG
- רҵ: ÊýÀíͳ¼Æ
5Â¥2014-11-20 16:57:39
carl_yy
ͳæ (³õÈëÎÄ̳)
- Ó¦Öú: 0 (Ó×¶ùÔ°)
- ½ð±Ò: 238.1
- ºì»¨: 1
- Ìû×Ó: 44
- ÔÚÏß: 9.1Сʱ
- ³æºÅ: 1579330
- ×¢²á: 2012-01-16
- רҵ: ÐźÅÀíÂÛÓëÐźŴ¦Àí
6Â¥2014-11-20 17:31:06
carl_yy
ͳæ (³õÈëÎÄ̳)
- Ó¦Öú: 0 (Ó×¶ùÔ°)
- ½ð±Ò: 238.1
- ºì»¨: 1
- Ìû×Ó: 44
- ÔÚÏß: 9.1Сʱ
- ³æºÅ: 1579330
- ×¢²á: 2012-01-16
- רҵ: ÐźÅÀíÂÛÓëÐźŴ¦Àí
7Â¥2014-11-20 17:34:02
carl_yy
ͳæ (³õÈëÎÄ̳)
- Ó¦Öú: 0 (Ó×¶ùÔ°)
- ½ð±Ò: 238.1
- ºì»¨: 1
- Ìû×Ó: 44
- ÔÚÏß: 9.1Сʱ
- ³æºÅ: 1579330
- ×¢²á: 2012-01-16
- רҵ: ÐźÅÀíÂÛÓëÐźŴ¦Àí
8Â¥2014-11-20 17:35:32
feixiaolin
ÈÙÓþ°æÖ÷ (ÎÄ̳¾«Ó¢)
-

ר¼Ò¾Ñé: +518 - Ó¦Öú: 942 (²©ºó)
- ¹ó±ö: 1.275
- ½ð±Ò: 3430
- É¢½ð: 58785
- ºì»¨: 532
- ɳ·¢: 11
- Ìû×Ó: 24215
- ÔÚÏß: 2601.8Сʱ
- ³æºÅ: 2139575
- ×¢²á: 2012-11-21
- רҵ: ¹âѧÐÅÏ¢»ñÈ¡Óë´¦Àí
- ¹ÜϽ: Êýѧ
9Â¥2014-11-20 17:49:44
carl_yy
ͳæ (³õÈëÎÄ̳)
- Ó¦Öú: 0 (Ó×¶ùÔ°)
- ½ð±Ò: 238.1
- ºì»¨: 1
- Ìû×Ó: 44
- ÔÚÏß: 9.1Сʱ
- ³æºÅ: 1579330
- ×¢²á: 2012-01-16
- רҵ: ÐźÅÀíÂÛÓëÐźŴ¦Àí
10Â¥2014-11-20 21:34:31













»Ø¸´´ËÂ¥