| ²é¿´: 1517 | »Ø¸´: 2 | ||
| ±¾Ìû²úÉú 1 ¸ö ÊýѧEPI £¬µã»÷ÕâÀï½øÐв鿴 | ||
claymore88ľ³æ (ÕýʽдÊÖ)
|
[ÇóÖú]
ÍÖÔ²ÐÍ΢·Ö·½³ÌµÄ½âÎö½â ÒÑÓÐ1È˲ÎÓë
|
|
|
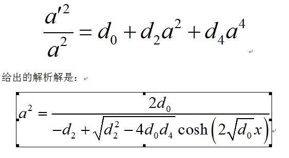
·½³ÌºÍÊéÖиø³öµÄ½âÎö½âÈçͼ£¬ µ«ÊÇÎÒÏÖÔڵķ½³ÌÅöµ½ÁËd2^2-4d0d4<0µÄÇé¿ö£¬ÇëÎÊÏÂÔÚÕâÖÖÇé¿öϽâÎö½âµÄÐÎʽ»á·¢Éúʲô±ä»¯£¿ лл¸÷λ´óÉñ£¡ ÇóÖú.jpg |
» ²ÂÄãϲ»¶
Çóµ÷¼ÁÒ»Ö¾Ô¸Î人Àí¹¤´óѧ²ÄÁϹ¤³Ì£¨085601£©
ÒѾÓÐ7È˻ظ´
Ò»Ö¾Ô¸C9²ÄÁÏÓ뻯¹¤×¨Òµ×Ü·Ö300Çóµ÷¼Á
ÒѾÓÐ4È˻ظ´
321Çóµ÷¼Á
ÒѾÓÐ4È˻ظ´
307Çóµ÷¼Á
ÒѾÓÐ4È˻ظ´
293Çóµ÷¼Á
ÒѾÓÐ6È˻ظ´
085602 289·ÖÇóµ÷¼Á
ÒѾÓÐ3È˻ظ´
Ò»Ö¾Ô¸±±¾©»¯¹¤´óѧ²ÄÁÏÓ뻯¹¤ 264·Ö¸÷¿Æ¹ýAÇø¹ú¼ÒÏß
ÒѾÓÐ3È˻ظ´
277·ÖÇóµ÷¼Á£¬¿çµ÷²ÄÁÏ
ÒѾÓÐ3È˻ظ´
²ÄÁÏ292µ÷¼Á
ÒѾÓÐ6È˻ظ´
²ÄÁÏÓ뻯¹¤¿¼Ñе÷¼Á
ÒѾÓÐ6È˻ظ´
» ±¾Ö÷ÌâÏà¹Ø¼ÛÖµÌùÍÆ¼ö£¬¶ÔÄúͬÑùÓаïÖú:
¹ØÓÚ¸ù¾ÝÒ»¸öϵͳģÐͽ¨Á¢¸´ÔÓ΢·Ö·½³Ì½âµÄÎÊÌ⣬һ°ã¶¼ÊÇÉèÆä½âΪijÖÖÐÎʽ¡£
ÒѾÓÐ3È˻ظ´
ʦÐÖʦ½ãÃÇ£¬°ïСµÜ¿´¿´Õâ¸ö Laplace±ä»»ºóµÄ¶þ½×³£Î¢·Ö·½³ÌÔõô½â°¡
ÒѾÓÐ23È˻ظ´
¹ØÓÚ΢·Ö·½³ÌµÄ
ÒѾÓÐ17È˻ظ´
Çó½âÒ»¸ö΢·Ö·½³Ì£¬ÁíÇë½Ì΢·Ö·½³ÌÈçºÎÈ·¶¨ÆäÓÐÎ޽⣿
ÒѾÓÐ7È˻ظ´
ÈçºÎ°ÑÒ»¸ö·½³ÌµÄʱÓòÊýÖµ½â±ä»»µ½ÆµÓòÊýÖµ½â£¿
ÒѾÓÐ5È˻ظ´
³£Î¢·Ö·½³Ì½âÎö½â
ÒѾÓÐ5È˻ظ´
΢·Ö·½³ÌÇó½â£¨Í¨½âÖк¬hypergeomº¯Êý£©
ÒѾÓÐ17È˻ظ´
2½×ƫ΢·Ö·½³ÌµÄ½â·¨
ÒѾÓÐ11È˻ظ´
ÇóÈý½×³£ÏµÊýƫ΢·Ö·½³ÌµÄ½âÎö½â¹«Ê½£¬¼±
ÒѾÓÐ8È˻ظ´
Ò»¸öÍÖÔ²ÐÍÆ«Î¢·Ö·½³ÌµÄÊýÖµ½â
ÒѾÓÐ19È˻ظ´
Å×ÎïÐÍÆ«Î¢·Ö·½³ÌµÄÊýÖµ½âÇó½âÎÊÌ⣬лл£¡
ÒѾÓÐ14È˻ظ´
·½³ÌµÄ½âÎö½â£¬Ïëͨ¹ýmatlab»³öÇúÏߣ¬
ÒѾÓÐ6È˻ظ´
¶þά²¨¶¯·½³ÌÕýÑÝÄ£Äâ£¬Æ½Ãæ²¨½âÎö½â£¿
ÒѾÓÐ5È˻ظ´
ÕâÑùÒ»¸öƫ΢·Ö·½³ÌÓÐûÓнâÎö½â£¿
ÒѾÓÐ4È˻ظ´
ÍÖÔ²ÐÎÆ«Î¢·Ö·½³Ì±ê×¼»¯ºó¸ÃÈçºÎ½â£¿
ÒѾÓÐ6È˻ظ´
MatlabÇó½âƫ΢·Ö·½³Ì×é
ÒѾÓÐ22È˻ظ´
¹ØÓÚ΢·Ö·½³Ì£¬ÇëÎÊʲô½Ð×ÔÖÎϵͳ£¿Ê²Ã´½Ð·Ç×ÔÖÎϵͳ£¿¶þÕßÊÇÔõô¶¨ÒåµÄ£¿£¿
ÒѾÓÐ15È˻ظ´
Ò»¸ö΢·Ö·½³ÌµÄ½â
ÒѾÓÐ11È˻ظ´
¡¾ÇóÖú¡¿Çë½Ì·ÇÆë´Î³£Î¢·Ö·½³Ì×éµÄ½âÎö½â·¨
ÒѾÓÐ4È˻ظ´
¡¾ÇóÖú¡¿¼±Çë΢·Ö·½³Ì¸ßÊÖ¿´ÏÂÕâ¸ö·½³Ì×飡
ÒѾÓÐ14È˻ظ´
¡¾ÇóÖú¡¿Çó½ÌÕâÖÖ΢·Ö·½³ÌµÄÏêϸÇó½â¹ý³Ì
ÒѾÓÐ14È˻ظ´
¡¾ÇóÖú¡¿³£Î¢·Ö·½³Ì×éµÄ½âÎö½â
ÒѾÓÐ3È˻ظ´

pippi6
Ìú¸Ëľ³æ (ÖøÃûдÊÖ)
¹¤³ÌºÍ¿ÆÑ§ÊýÖµ¼ÆËã×Éѯ
- ÊýѧEPI: 6
- Ó¦Öú: 413 (˶ʿ)
- ¹ó±ö: 0.002
- ½ð±Ò: 7116.5
- É¢½ð: 15
- ºì»¨: 63
- Ìû×Ó: 1639
- ÔÚÏß: 798.9Сʱ
- ³æºÅ: 2469437
- ×¢²á: 2013-05-14
- רҵ: ¼ÆËãÊýѧÓë¿ÆÑ§¹¤³Ì¼ÆËã
¡¾´ð°¸¡¿Ó¦Öú»ØÌû
¡ï ¡ï ¡ï ¡ï ¡ï ¡ï ¡ï ¡ï ¡ï ¡ï ¡ï ¡ï ¡ï ¡ï ¡ï ¡ï ¡ï ¡ï ¡ï ¡ï
¸Ðл²ÎÓ룬ӦÖúÖ¸Êý +1
claymore88: ½ð±Ò+20, ¡ï¡ï¡ïºÜÓаïÖú, ·Ç³£¸Ðл£¡ÑéÖ¤ÁË£¬²»¹ý²»·ûºÏ±ðµÄÒªÇ󣬹ֲ»µÃÎÄÏ×ÉÏûÓнéÉÜÕâ¸ö½â¡£Ì«¸ÐлÄúÁË 2014-11-07 13:30:10
feixiaolin: ÊýѧEPI+1, ½±ÀøÓ¦Öú 2014-11-15 21:39:23
¸Ðл²ÎÓ룬ӦÖúÖ¸Êý +1
claymore88: ½ð±Ò+20, ¡ï¡ï¡ïºÜÓаïÖú, ·Ç³£¸Ðл£¡ÑéÖ¤ÁË£¬²»¹ý²»·ûºÏ±ðµÄÒªÇ󣬹ֲ»µÃÎÄÏ×ÉÏûÓнéÉÜÕâ¸ö½â¡£Ì«¸ÐлÄúÁË 2014-11-07 13:30:10
feixiaolin: ÊýѧEPI+1, ½±ÀøÓ¦Öú 2014-11-15 21:39:23
|
¶ÔÓÚ |
2Â¥2014-11-07 11:50:39
pippi6
Ìú¸Ëľ³æ (ÖøÃûдÊÖ)
¹¤³ÌºÍ¿ÆÑ§ÊýÖµ¼ÆËã×Éѯ
- ÊýѧEPI: 6
- Ó¦Öú: 413 (˶ʿ)
- ¹ó±ö: 0.002
- ½ð±Ò: 7116.5
- É¢½ð: 15
- ºì»¨: 63
- Ìû×Ó: 1639
- ÔÚÏß: 798.9Сʱ
- ³æºÅ: 2469437
- ×¢²á: 2013-05-14
- רҵ: ¼ÆËãÊýѧÓë¿ÆÑ§¹¤³Ì¼ÆËã
¡¾´ð°¸¡¿Ó¦Öú»ØÌû
¡ï ¡ï ¡ï ¡ï ¡ï ¡ï ¡ï ¡ï ¡ï ¡ï ¡ï ¡ï ¡ï ¡ï ¡ï ¡ï ¡ï ¡ï ¡ï ¡ï
claymore88: ½ð±Ò+20, ¡ï¡ï¡ï¡ï¡ï×î¼Ñ´ð°¸, ·Ç³£¸ÐлÄãµÄÈÈÐİïÖú¡£ËäÈ»d2,d4=0²»ÔÚÎҵĿ¼ÂÇ·¶Î§ÄÚ£¬²»¹ýÕâ¸öÌØÀýºÜ¹Ø¼ü£¬Ì«Ð»Ð»ÄúÁË£¡ 2014-11-07 16:42:54
claymore88: ½ð±Ò+20, ¡ï¡ï¡ï¡ï¡ï×î¼Ñ´ð°¸, ·Ç³£¸ÐлÄãµÄÈÈÐİïÖú¡£ËäÈ»d2,d4=0²»ÔÚÎҵĿ¼ÂÇ·¶Î§ÄÚ£¬²»¹ýÕâ¸öÌØÀýºÜ¹Ø¼ü£¬Ì«Ð»Ð»ÄúÁË£¡ 2014-11-07 16:42:54
|
Æäʵ£¬Õâ¸ö½âÎö½â²»ÊÇΨһµÄ¡£±ÈÈ磬d2=d4=0 Çé¿ö£¬½âΪ ²»ÔÚÕâ¸ö½âÎö½â·¶Î§ÄÚ¡£ |
3Â¥2014-11-07 15:04:50













»Ø¸´´ËÂ¥