| ²é¿´: 2258 | »Ø¸´: 6 | ||
chugezhuangÌú³æ (³õÈëÎÄ̳)
|
[ÇóÖú]
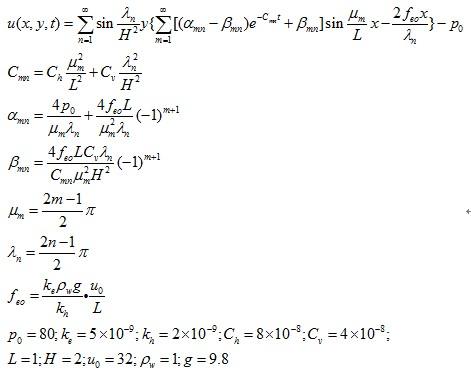
·½³ÌµÄ½âÎö½â£¬Ïëͨ¹ýmatlab»³öÇúÏߣ¬
|
|
![]() |
||
|
|
||
rockhulkÌú³æ (СÓÐÃûÆø)
|
||
|
2Â¥2012-12-10 17:42:58
|
|
|
chugezhuangÌú³æ (³õÈëÎÄ̳)
|
||
![]() |
||
|
3Â¥2012-12-11 09:36:51
|
|
|
eezyzyzzzeeľ³æ (ÖøÃûдÊÖ)
|
¡¾´ð°¸¡¿Ó¦Öú»ØÌû
¡ï ¡ï
¸Ðл²ÎÓ룬ӦÖúÖ¸Êý +1 xiegangmai: ½ð±Ò+2, лл²ÎÓë 2012-12-11 20:40:17
|
|
|
4Â¥2012-12-11 09:57:25
|
|
|
chugezhuangÌú³æ (³õÈëÎÄ̳)
|
||
![]() |
||
|
5Â¥2012-12-11 16:46:20
|
|
|
sichanglongÌú³æ (СÓÐÃûÆø)
|
||
![]() |
||
|
6Â¥2012-12-11 21:57:25
|
|
|
tod2006ľ³æ (ÕýʽдÊÖ)
|
||
|
7Â¥2012-12-13 19:17:12
|
|














»Ø¸´´ËÂ¥