| 查看: 1899 | 回复: 4 | ||
564416185铜虫 (初入文坛)
|
[求助]
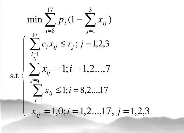
关于matlab线性规划 背包问题的 解法 求救呀~~方程知道 但不知道如何解答····
|
|
![]() |
||
|
|
||
564416185铜虫 (初入文坛)
|
||
![]() |
||
|
2楼2012-05-31 15:00:10
|
|
|
|
★
xiegangmai: 金币-1, 专业版交流贴,请勿灌水! 2012-06-01 00:13:04
|
||
|
3楼2012-05-31 15:07:10
|
|
|
|
4楼2012-05-31 15:47:27
|
|
|
564416185铜虫 (初入文坛)
|
||
![]() |
||
|
5楼2012-05-31 15:56:49
|
|















回复此楼