| ²é¿´: 1959 | »Ø¸´: 5 | ||
yr05238ͳæ (СÓÐÃûÆø)
|
[ÇóÖú]
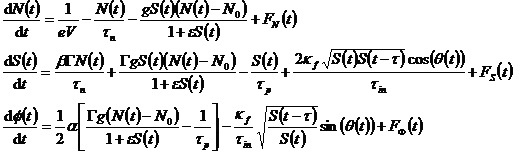
Çómatlab ½â·½³ÌµÄÎÊÌâ
|
|
|
|
||
lurencyjľ³æ (ÖøÃûдÊÖ)
|
¡¾´ð°¸¡¿Ó¦Öú»ØÌû
¡ï ¡ï ¡ï ¡ï ¡ï ¡ï ¡ï ¡ï ¡ï ¡ï ¡ï ¡ï ¡ï ¡ï ¡ï ¡ï ¡ï ¡ï
¸Ðл²ÎÓ룬ӦÖúÖ¸Êý +1 yr05238: ½ð±Ò+5 2012-03-27 14:58:48 yr05238: ½ð±Ò+5 2012-03-28 09:05:02 yr05238: ½ð±Ò+1 2012-03-28 17:16:24 yr05238: ½ð±Ò+7 2012-03-31 11:21:29
|
|
![]() |
||
|
2Â¥2012-03-03 18:27:38
|
|
|
shanshan1212½ð³æ (ÕýʽдÊÖ)
|
¡¾´ð°¸¡¿Ó¦Öú»ØÌû
¡ï ¡ï ¡ï ¡ï ¡ï ¡ï ¡ï ¡ï ¡ï ¡ï ¡ï ¡ï ¡ï ¡ï ¡ï ¡ï ¡ï
¸Ðл²ÎÓ룬ӦÖúÖ¸Êý +1 dbb627(½ð±Ò+1): »¶Ó½»Á÷ 2012-03-05 17:24:50 yr05238: ½ð±Ò+5 2012-03-27 14:58:41 yr05238: ½ð±Ò+1 2012-03-28 09:05:16 yr05238: ½ð±Ò+1 2012-03-28 13:44:41 yr05238: ½ð±Ò+1 2012-03-28 17:16:29 yr05238: ½ð±Ò+1 2012-03-28 17:16:40 yr05238: ½ð±Ò+7 2012-03-31 11:21:44
|
|
|
3Â¥2012-03-03 20:43:56
|
|
|
yr05238ͳæ (СÓÐÃûÆø)
|
||
|
4Â¥2012-03-04 09:11:55
|
|
|
elopt½ð³æ (СÓÐÃûÆø)
|
||
|
5Â¥2012-03-06 12:58:24
|
|
|
vidgay½ð³æ (СÓÐÃûÆø)
|
¡¾´ð°¸¡¿Ó¦Öú»ØÌû
¡ï ¡ï ¡ï ¡ï ¡ï ¡ï ¡ï ¡ï ¡ï ¡ï ¡ï ¡ï ¡ï ¡ï ¡ï ¡ï ¡ï
¸Ðл²ÎÓ룬ӦÖúÖ¸Êý +1 dbb627: ½ð±Ò+1, »¶Ó½»Á÷ 2012-03-19 20:01:43 yr05238: ½ð±Ò+10 2012-03-27 14:58:32 yr05238: ½ð±Ò+5 2012-03-28 09:05:25 yr05238: ½ð±Ò+1 2012-03-28 17:16:50
|
|
![]() |
||
|
6Â¥2012-03-19 19:47:16
|
|














»Ø¸´´ËÂ¥
