| 查看: 1753 | 回复: 3 | |
jiasen1980金虫 (正式写手)
|
[求助]
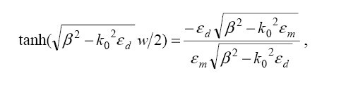
MATLAB解方程出现??? Subscripted assignment dimension mismatch.
|
|
|
|
梦在潇湘铁杆木虫 (著名写手)
|
|
|
2楼2011-06-26 20:17:11
|
|
信彼南山木虫 (著名写手)
|
|
|
3楼2011-06-27 00:03:26
|
|
wangyuewu08木虫 (著名写手)
|
|
![]() |
|
|
4楼2011-06-28 21:40:19
|
|














回复此楼
