| ²é¿´: 1892 | »Ø¸´: 11 | ||
Ë®»·¾³Í³æ (³õÈëÎÄ̳)
|
[ÇóÖú]
¸¶³öÎÒËùÓеĽð±ÒÇóÒ»¸ö΢·Ö·½³Ì£¬³É¹¦ºó·¢½ð±Ò
|
| yy''+(y')^2=a+byy'+cy£¬µ±x=0ʱ£¬y=y'=0.Çó½âÒÔÉÏ΢·Ö·½³Ì£¬Ð´³ÉyÓëxµÄÒþº¯ÊýÒ²¿ÉÒÔ£¬Çëд³öÏêϸ¹ý³Ì¡£ |
» ²ÂÄãϲ»¶
22408µ÷¼Á315·Ö
ÒѾÓÐ3È˻ظ´
²ÄÁÏ¿¼Ñе÷¼Á
ÒѾÓÐ26È˻ظ´
»¯¹¤µ÷¼ÁÇóµ¼Ê¦ÊÕÁô£¡Ò»Ö¾Ô¸Ê§Àû£¬Ì¤Êµ¿Ï¸É£¬ÓÐÖ²ÎïÌáÈ¡¿ÆÑоÀú
ÒѾÓÐ21È˻ظ´
290Çóµ÷¼Á
ÒѾÓÐ4È˻ظ´
ҩѧ305Çóµ÷¼Á
ÒѾÓÐ8È˻ظ´
¸´ÊÔµ÷¼Á
ÒѾÓÐ6È˻ظ´
0831Ò»ÂÖµ÷¼Áʧ°ÜÇóÖú
ÒѾÓÐ6È˻ظ´
ÇóÖúµ÷¼Á£¬¿çµ÷
ÒѾÓÐ11È˻ظ´
291Çóµ÷¼Á
ÒѾÓÐ7È˻ظ´
272·Ö²ÄÁÏ×ÓÇóµ÷¼Á
ÒѾÓÐ45È˻ظ´
» ±¾Ö÷ÌâÏà¹Ø¼ÛÖµÌùÍÆ¼ö£¬¶ÔÄúͬÑùÓаïÖú:
Çó¸ßÊÖ½â´ðMatlabÇó½â΢·Ö·½³ÌµÄ³õʼֵºÍ±ß½çÖµÎÊÌâ
ÒѾÓÐ5È˻ظ´
Å×ÎïÐÍÆ«Î¢·Ö·½³ÌµÄÊýÖµ½âÇó½âÎÊÌ⣬лл£¡
ÒѾÓÐ14È˻ظ´
·ÖÊý½×΢·Ö·½³ÌµÄÇó½â£¨Óòî·Ö·¨£¬matlab±à³ÌÇó½â£©
ÒѾÓÐ9È˻ظ´
Çó½Ì£ºÏßÐÔϵͳÓëÏßÐÔ΢·Ö·½³ÌµÄ¹ØÏµ¡£·ÇÏßÐÔϵͳÄÜÓô«µÝº¯ÊýÀ´ÃèÊöÂð£¿
ÒѾÓÐ7È˻ظ´
ÇóÖúÒ»½×·ÇÏßÐÔ΢·Ö·½³ÌµÄ½â
ÒѾÓÐ7È˻ظ´
Ò»½×΢·Ö·½³ÌÇó½â£¬²¢ÓÅ»¯²ÎÊýÖµ
ÒѾÓÐ14È˻ظ´
ÕâÑùÒ»¸öƫ΢·Ö·½³ÌÓÐûÓнâÎö½â£¿
ÒѾÓÐ4È˻ظ´
ÈçºÎÇó½âÃèÊöÕñ¶¯µÄ¶þ½×΢·Ö·½³Ì
ÒѾÓÐ21È˻ظ´
ÒþʽŷÀ·¨Çó½âÒ»½×³£Î¢·Ö·½³Ì
ÒѾÓÐ7È˻ظ´
ÇëÎÊÈçºÎÇó½â¶þÔªÒ»½×΢·Ö·½³Ì×é
ÒѾÓÐ24È˻ظ´
°ïæÇó½âÒ»µÀ΢·Ö·½³ÌµÄÌâÄ¿
ÒѾÓÐ7È˻ظ´
LABVIEWËĽ×Áú¸ñ¿âËþ·¨Çó½âÒ»½×΢·Ö·½³Ì×é
ÒѾÓÐ12È˻ظ´
¡¾ÇóÖú¡¿Ïò¸÷λ´óÏÀÇóÖúmatlabÇó½â΢·Ö·½³Ì×éÓöµ½µÄÒ»¸öÎÊÌâ
ÒѾÓÐ21È˻ظ´
¡¾ÇóÖú¡¿Çë½Ì·ÇÆë´Î³£Î¢·Ö·½³Ì×éµÄ½âÎö½â·¨
ÒѾÓÐ4È˻ظ´
¡¾ÇóÖú¡¿ÇóÍÆ¼öƫ΢·Ö·½³ÌÊé¼®
ÒѾÓÐ9È˻ظ´
¡¾ÇóÖú¡¿ÇóÖúÒ»¸öÒ»½×³£Î¢·Ö·½³ÌµÄ³õÖµÎÊÌâ
ÒѾÓÐ16È˻ظ´
¡¾ÇóÖú¡¿Python ÖÐ Çó½â΢·Ö·½³Ì odeint µÄÓ÷¨
ÒѾÓÐ11È˻ظ´
¡¾ÇóÖú¡¿Çó½ÌÕâÖÖ΢·Ö·½³ÌµÄÏêϸÇó½â¹ý³Ì
ÒѾÓÐ14È˻ظ´
¡¾ÇóÖú¡¿Ò»¸ö¶þ½×³£Î¢·Ö·½³ÌµÄ½â·¨£¨Öؽ±½ð±Ò£¡£©
ÒѾÓÐ16È˻ظ´
¡¾ÇóÖú¡¿Æ«Î¢·Ö·½³ÌµÄ»ù±¾½â
ÒѾÓÐ5È˻ظ´
¡¾ÇóÖú¡¿Ò»¸ö³£Î¢·Ö·½³ÌµÄͨ½â
ÒѾÓÐ6È˻ظ´
¡¾ÇóÖú¡¿Æ«Î¢·Ö·½³Ì½â·¨
ÒѾÓÐ19È˻ظ´
hank612
ÖÁ×ðľ³æ (ÖøÃûдÊÖ)
- ÊýѧEPI: 14
- Ó¦Öú: 225 (´óѧÉú)
- ½ð±Ò: 14270.6
- É¢½ð: 1055
- ºì»¨: 95
- Ìû×Ó: 1526
- ÔÚÏß: 1375.8Сʱ
- ³æºÅ: 2530333
- ×¢²á: 2013-07-03
- ÐÔ±ð: GG
- רҵ: ÀíÂۺͼÆË㻯ѧ
¡¾´ð°¸¡¿Ó¦Öú»ØÌû
¡ï
¸Ðл²ÎÓ룬ӦÖúÖ¸Êý +1
Ë®»·¾³: ½ð±Ò+1, ¡ïÓаïÖú, ·Ç³£¸Ðл£¡ 2013-08-16 08:06:07
¸Ðл²ÎÓ룬ӦÖúÖ¸Êý +1
Ë®»·¾³: ½ð±Ò+1, ¡ïÓаïÖú, ·Ç³£¸Ðл£¡ 2013-08-16 08:06:07
|
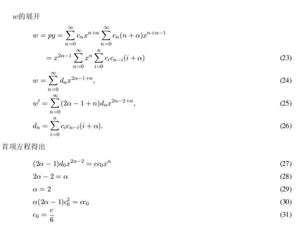
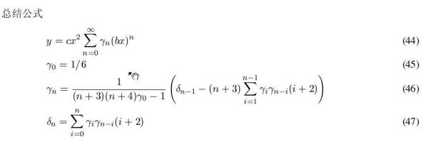
Õâ²»ÊÇ´ð°¸. ÒòΪ·½³Ì²»ÏÔº¬x, ËùÒÔÓñê×¼Ìæ»» p=y', ¼´ p/dy =1/dx. ÓÚÊÇÔ·½³Ìд³É: d(yp)/dx = a + byp +cy, »òÕß˵ d(yp)/dy * p = a +b(yp) +cy. Áîw=yp, Òª½â dw/dy = (a+cy)/w +by. ¿ÉϧÎÒÎÞ·¨½â¸Ã·½³Ì, Áô´ý¸ßÊÖ³öÂí. |

2Â¥2013-08-16 07:20:48
pippi6
Ìú¸Ëľ³æ (ÖøÃûдÊÖ)
¹¤³ÌºÍ¿ÆÑ§ÊýÖµ¼ÆËã×Éѯ
- ÊýѧEPI: 6
- Ó¦Öú: 413 (˶ʿ)
- ¹ó±ö: 0.002
- ½ð±Ò: 7116.5
- É¢½ð: 15
- ºì»¨: 63
- Ìû×Ó: 1639
- ÔÚÏß: 798.9Сʱ
- ³æºÅ: 2469437
- ×¢²á: 2013-05-14
- רҵ: ¼ÆËãÊýѧÓë¿ÆÑ§¹¤³Ì¼ÆËã
3Â¥2013-08-16 18:59:13
»ªÀöµÄÆ®¹ý
°æÖ÷ (ÖøÃûдÊÖ)
- Ó¦Öú: 41 (СѧÉú)
- ¹ó±ö: 0.116
- ½ð±Ò: 7633.4
- É¢½ð: 8
- ºì»¨: 48
- ɳ·¢: 1
- Ìû×Ó: 1264
- ÔÚÏß: 892.6Сʱ
- ³æºÅ: 1404465
- ×¢²á: 2011-09-16
- ÐÔ±ð: GG
- רҵ: ¸ßµÈ½ÌÓýѧ
- ¹ÜϽ: ÎïÀí
4Â¥2013-08-16 23:59:34
Ë®»·¾³
ͳæ (³õÈëÎÄ̳)
- Ó¦Öú: 2 (Ó×¶ùÔ°)
- ½ð±Ò: 161.3
- É¢½ð: 50
- Ìû×Ó: 50
- ÔÚÏß: 154.5Сʱ
- ³æºÅ: 1113688
- ×¢²á: 2010-10-04
- רҵ: »·¾³¹¤³Ì
5Â¥2013-08-17 11:13:51
Ë®»·¾³
ͳæ (³õÈëÎÄ̳)
- Ó¦Öú: 2 (Ó×¶ùÔ°)
- ½ð±Ò: 161.3
- É¢½ð: 50
- Ìû×Ó: 50
- ÔÚÏß: 154.5Сʱ
- ³æºÅ: 1113688
- ×¢²á: 2010-10-04
- רҵ: »·¾³¹¤³Ì
6Â¥2013-08-17 11:37:31
Ë®»·¾³
ͳæ (³õÈëÎÄ̳)
- Ó¦Öú: 2 (Ó×¶ùÔ°)
- ½ð±Ò: 161.3
- É¢½ð: 50
- Ìû×Ó: 50
- ÔÚÏß: 154.5Сʱ
- ³æºÅ: 1113688
- ×¢²á: 2010-10-04
- רҵ: »·¾³¹¤³Ì
7Â¥2013-08-17 11:39:44
pippi6
Ìú¸Ëľ³æ (ÖøÃûдÊÖ)
¹¤³ÌºÍ¿ÆÑ§ÊýÖµ¼ÆËã×Éѯ
- ÊýѧEPI: 6
- Ó¦Öú: 413 (˶ʿ)
- ¹ó±ö: 0.002
- ½ð±Ò: 7116.5
- É¢½ð: 15
- ºì»¨: 63
- Ìû×Ó: 1639
- ÔÚÏß: 798.9Сʱ
- ³æºÅ: 2469437
- ×¢²á: 2013-05-14
- רҵ: ¼ÆËãÊýѧÓë¿ÆÑ§¹¤³Ì¼ÆËã
8Â¥2013-08-17 12:35:25
Ë®»·¾³
ͳæ (³õÈëÎÄ̳)
- Ó¦Öú: 2 (Ó×¶ùÔ°)
- ½ð±Ò: 161.3
- É¢½ð: 50
- Ìû×Ó: 50
- ÔÚÏß: 154.5Сʱ
- ³æºÅ: 1113688
- ×¢²á: 2010-10-04
- רҵ: »·¾³¹¤³Ì
9Â¥2013-08-17 16:44:22
defa2001
ͳæ (СÓÐÃûÆø)
- Ó¦Öú: 1 (Ó×¶ùÔ°)
- ½ð±Ò: 766
- Ìû×Ó: 193
- ÔÚÏß: 21.7Сʱ
- ³æºÅ: 1512618
- ×¢²á: 2011-11-27
- ÐÔ±ð: GG
- רҵ: ƫ΢·Ö·½³Ì

10Â¥2013-08-17 18:28:03













»Ø¸´´ËÂ¥
Ë®»·¾³